Номер 391, страница 217 - гдз по алгебре 11 класс учебник Арефьева, Пирютко

Алгебра, 11 класс Учебник, авторы: Арефьева Ирина Глебовна, Пирютко Ольга Николаевна, издательство Народная асвета, Минск, 2020, бирюзового цвета

Авторы: Арефьева И. Г., Пирютко О. Н.

Тип: Учебник

Издательство: Народная асвета

Год издания: 2020 - 2026

Цвет обложки: бирюзовый, зелёный с графиком

ISBN: 978-985-03-3165-6

Популярные ГДЗ в 11 классе

Упражнения для итогового повторения. Функции и их свойства - номер 391, страница 217.

№391 (с. 217)
Условие. №391 (с. 217)
скриншот условия
Алгебра, 11 класс Учебник, авторы: Арефьева Ирина Глебовна, Пирютко Ольга Николаевна, издательство Народная асвета, Минск, 2020, бирюзового цвета, страница 217, номер 391, Условие

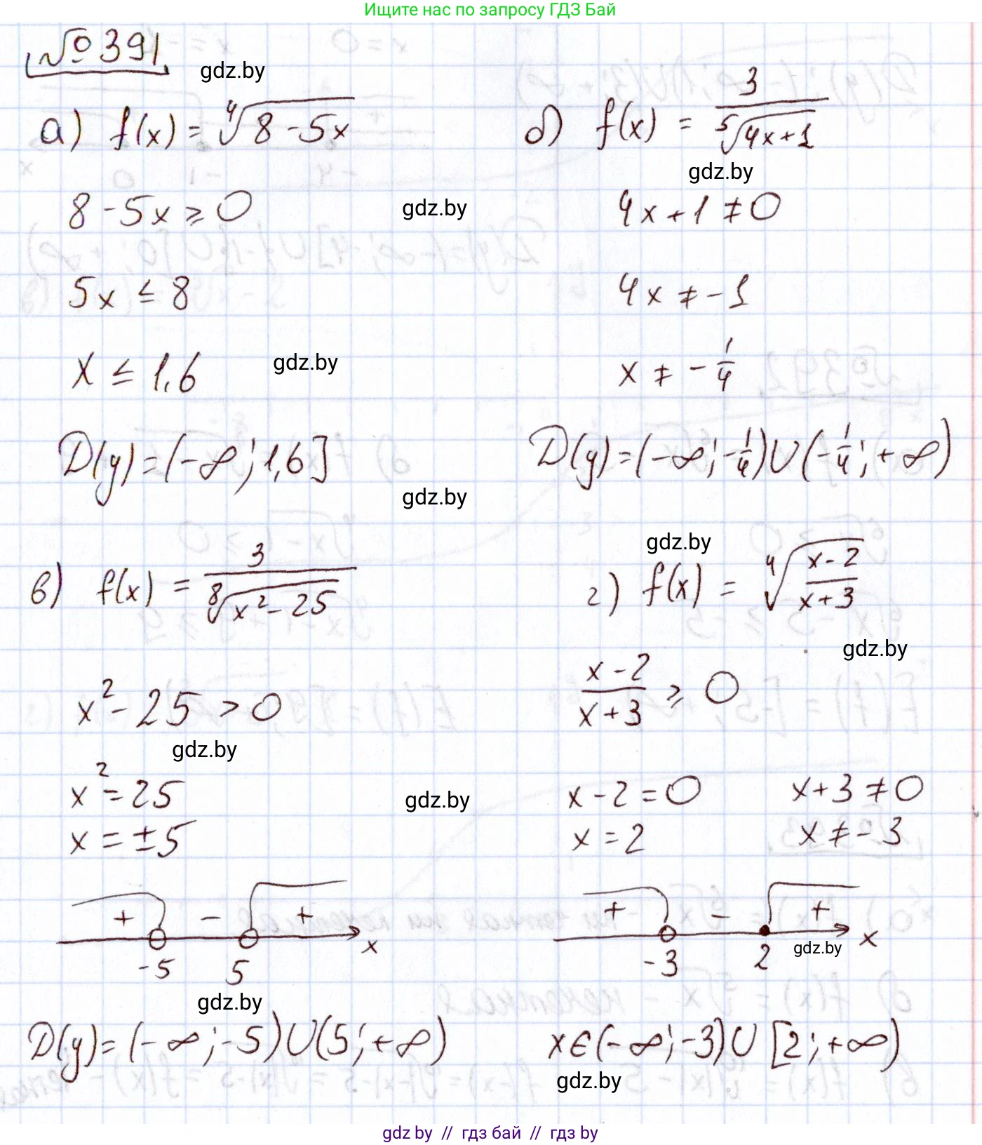
391. Найдите область определения функции:

а) $f(x) = \sqrt[4]{8 - 5x};$

б) $f(x) = \frac{3}{\sqrt[5]{4x + 1}};$

В) $f(x) = \frac{3}{\sqrt[8]{x^2 - 25}};$

Г) $f(x) = \sqrt[4]{\frac{x - 2}{x + 3}};$

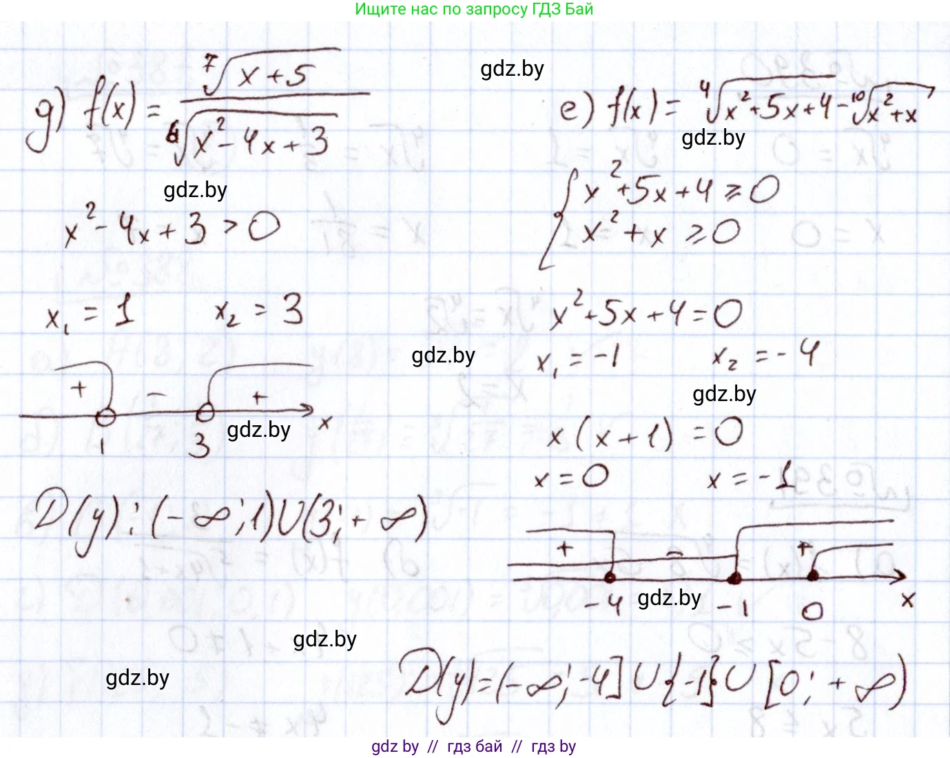
Д) $f(x) = \frac{\sqrt[7]{x + 5}}{\sqrt[6]{x^2 - 4x + 3}};$

е) $f(x) = \sqrt[4]{x^2 + 5x + 4} - \sqrt[10]{x^2 + x}.$

Решение. №391 (с. 217)
Алгебра, 11 класс Учебник, авторы: Арефьева Ирина Глебовна, Пирютко Ольга Николаевна, издательство Народная асвета, Минск, 2020, бирюзового цвета, страница 217, номер 391, Решение Алгебра, 11 класс Учебник, авторы: Арефьева Ирина Глебовна, Пирютко Ольга Николаевна, издательство Народная асвета, Минск, 2020, бирюзового цвета, страница 217, номер 391, Решение (продолжение 2)
Решение 2. №391 (с. 217)

а) Область определения функции $f(x) = \sqrt[4]{8-5x}$ задается условием неотрицательности подкоренного выражения, так как корень имеет четный показатель (4). Это означает, что выражение под корнем должно быть больше или равно нулю.

Решим неравенство:

$8 - 5x \ge 0$

$-5x \ge -8$

При делении или умножении на отрицательное число знак неравенства меняется на противоположный:

$5x \le 8$

$x \le \frac{8}{5}$

$x \le 1,6$

Таким образом, область определения функции — это все числа, меньшие или равные 1,6.

Ответ: $x \in (-\infty; 1,6]$.

б) Функция $f(x) = \frac{3}{\sqrt[5]{4x+1}}$ определена, если знаменатель не равен нулю. Корень пятой степени (нечетной) определен для любого действительного значения подкоренного выражения. Следовательно, единственное ограничение накладывается на знаменатель, который не может быть равен нулю.

Решим уравнение:

$\sqrt[5]{4x+1} \ne 0$

Возведем обе части в пятую степень:

$4x+1 \ne 0$

$4x \ne -1$

$x \ne -\frac{1}{4}$

Таким образом, функция определена для всех действительных чисел, кроме $x = -0,25$.

Ответ: $x \in (-\infty; -0,25) \cup (-0,25; +\infty)$.

в) Область определения функции $f(x) = \frac{3}{\sqrt[8]{x^2-25}}$ задается условием, что подкоренное выражение в знаменателе должно быть строго больше нуля. Это связано с двумя условиями: во-первых, выражение под корнем четной степени (8) должно быть неотрицательным ($x^2-25 \ge 0$), а во-вторых, знаменатель не может быть равен нулю ($\sqrt[8]{x^2-25} \ne 0$), что равносильно $x^2-25 \ne 0$. Объединяя эти два условия, получаем строгое неравенство.

Решим неравенство:

$x^2 - 25 > 0$

Разложим левую часть на множители по формуле разности квадратов:

$(x-5)(x+5) > 0$

Решим это неравенство методом интервалов. Корни уравнения $(x-5)(x+5) = 0$ равны $x_1 = -5$ и $x_2 = 5$. Эти точки делят числовую прямую на три интервала: $(-\infty; -5)$, $(-5; 5)$, $(5; +\infty)$. Так как это парабола с ветвями вверх, она принимает положительные значения вне интервала между корнями.

Следовательно, решение неравенства: $x < -5$ или $x > 5$.

Ответ: $x \in (-\infty; -5) \cup (5; +\infty)$.

г) Область определения функции $f(x) = \sqrt[4]{\frac{x-2}{x+3}}$ задается условием неотрицательности подкоренного выражения, так как корень имеет четный показатель (4).

Решим неравенство:

$\frac{x-2}{x+3} \ge 0$

Используем метод интервалов. Найдем нули числителя и знаменателя.
Нуль числителя: $x-2 = 0 \implies x = 2$. Точка включается в решение, так как неравенство нестрогое.
Нуль знаменателя: $x+3 = 0 \implies x = -3$. Точка исключается из решения, так как на ноль делить нельзя.

Наносим точки -3 и 2 на числовую ось и определяем знаки дроби в полученных интервалах:
При $x > 2$: $(+)/(+) = +$
При $-3 < x < 2$: $(-)/(+) = -$
При $x < -3$: $(-)/(-) = +$

Нас интересуют интервалы, где выражение больше или равно нулю.

Ответ: $x \in (-\infty; -3) \cup [2; +\infty)$.

д) В функции $f(x) = \frac{\sqrt[7]{x+5}}{\sqrt[6]{x^2-4x+3}}$ числитель содержит корень нечетной степени (7), который определен для любого действительного $x$. Ограничение накладывает знаменатель, который содержит корень четной степени (6). Подкоренное выражение в знаменателе должно быть строго больше нуля (неотрицательным из-за корня и не равным нулю из-за нахождения в знаменателе).

Решим неравенство:

$x^2 - 4x + 3 > 0$

Найдем корни квадратного трехчлена $x^2 - 4x + 3 = 0$. По теореме Виета, сумма корней равна 4, а произведение равно 3. Следовательно, корни $x_1 = 1$ и $x_2 = 3$.
Так как это парабола с ветвями, направленными вверх, она положительна на интервалах вне корней.

Решением неравенства является объединение интервалов $x < 1$ и $x > 3$.

Ответ: $x \in (-\infty; 1) \cup (3; +\infty)$.

е) Область определения функции $f(x) = \sqrt[4]{x^2+5x+4} - \sqrt[10]{x^2+x}$ является пересечением областей определения каждого из слагаемых. Так как оба корня имеют четные показатели (4 и 10), оба подкоренных выражения должны быть неотрицательными.

Это приводит к системе неравенств:

$\begin{cases} x^2+5x+4 \ge 0 \\ x^2+x \ge 0 \end{cases}$

1. Решим первое неравенство: $x^2+5x+4 \ge 0$.
Корни уравнения $x^2+5x+4=0$ по теореме Виета: $x_1 = -4$, $x_2 = -1$.
Это парабола с ветвями вверх, поэтому решение неравенства: $x \in (-\infty; -4] \cup [-1; +\infty)$.

2. Решим второе неравенство: $x^2+x \ge 0$, или $x(x+1) \ge 0$.
Корни уравнения $x(x+1)=0$: $x_1 = -1$, $x_2 = 0$.
Это парабола с ветвями вверх, поэтому решение неравенства: $x \in (-\infty; -1] \cup [0; +\infty)$.

3. Найдем пересечение полученных решений: $((-\infty; -4] \cup [-1; +\infty)) \cap ((-\infty; -1] \cup [0; +\infty))$.
Пересечение этих множеств дает нам интервал $(-\infty; -4]$, изолированную точку $\{-1\}$ (так как -1 входит в оба множества) и интервал $[0; +\infty)$.

Ответ: $x \in (-\infty; -4] \cup \{-1\} \cup [0; +\infty)$.

Помогло решение? Оставьте отзыв в комментариях ниже.

Присоединяйтесь к Телеграм-группе @gdz_by_belarus

Присоединиться

Мы подготовили для вас ответ c подробным объяснением домашего задания по алгебре за 11 класс, для упражнения номер 391 расположенного на странице 217 к учебнику 2020 года издания для учащихся школ и гимназий.

Теперь на нашем сайте ГДЗ.ТОП вы всегда легко и бесплатно найдёте условие с правильным ответом на вопрос «Как решить ДЗ» и «Как сделать» задание по алгебре к упражнению №391 (с. 217), авторов: Арефьева (Ирина Глебовна), Пирютко (Ольга Николаевна), учебного пособия издательства Народная асвета.