Номер 468, страница 229 - гдз по алгебре 11 класс учебник Арефьева, Пирютко

Алгебра, 11 класс Учебник, авторы: Арефьева Ирина Глебовна, Пирютко Ольга Николаевна, издательство Народная асвета, Минск, 2020, бирюзового цвета

Авторы: Арефьева И. Г., Пирютко О. Н.

Тип: Учебник

Издательство: Народная асвета

Год издания: 2020 - 2026

Цвет обложки: бирюзовый, зелёный с графиком

ISBN: 978-985-03-3165-6

Популярные ГДЗ в 11 классе

Упражнения для итогового повторения. Функции и их свойства - номер 468, страница 229.

№468 (с. 229)
Условие. №468 (с. 229)
скриншот условия
Алгебра, 11 класс Учебник, авторы: Арефьева Ирина Глебовна, Пирютко Ольга Николаевна, издательство Народная асвета, Минск, 2020, бирюзового цвета, страница 229, номер 468, Условие Алгебра, 11 класс Учебник, авторы: Арефьева Ирина Глебовна, Пирютко Ольга Николаевна, издательство Народная асвета, Минск, 2020, бирюзового цвета, страница 229, номер 468, Условие (продолжение 2)

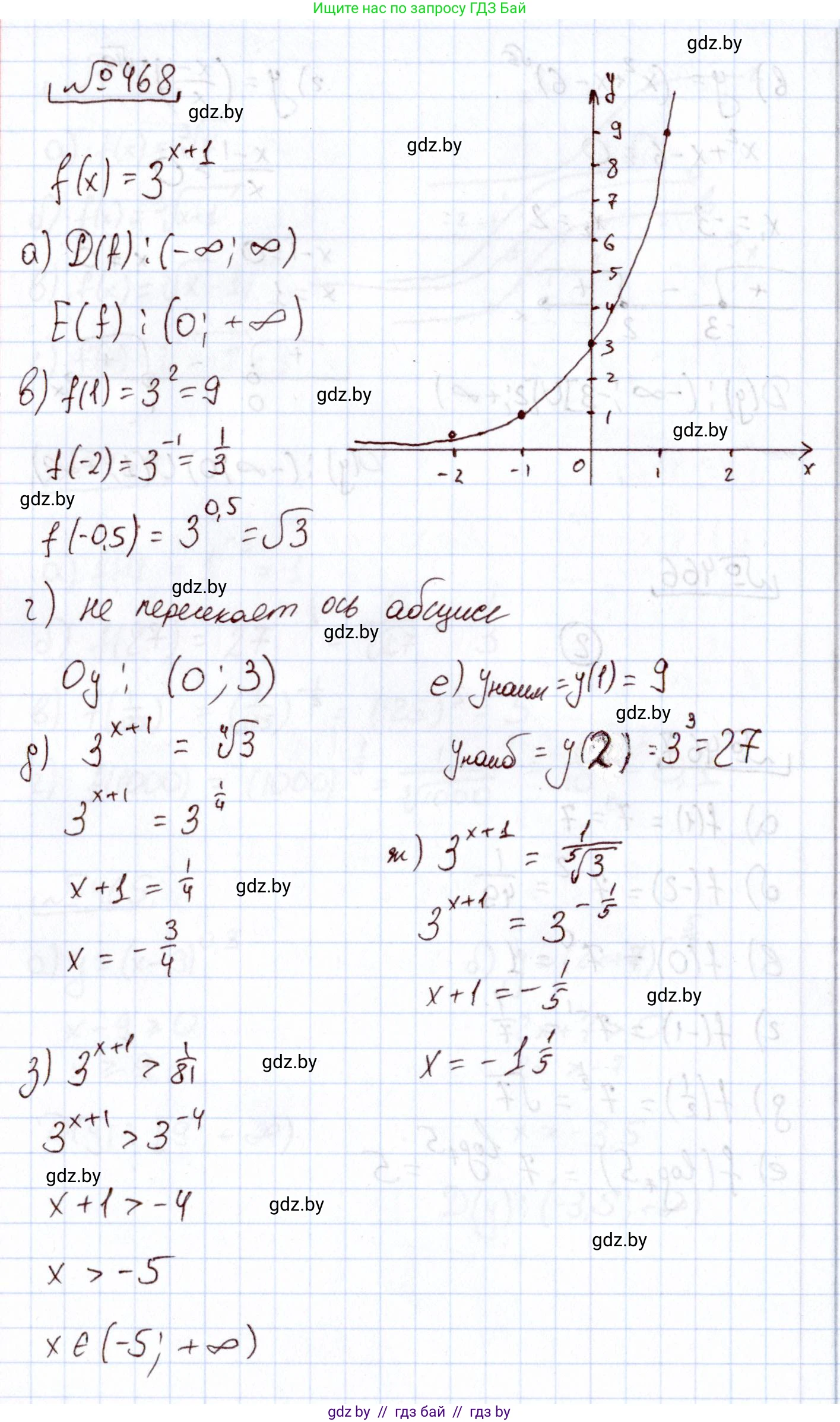
468. Функция задана формулой $f(x) = 3^{x+1}$.

a) Найдите область определения и множество значений функции.

б) Постройте график данной функции.

в) Найдите $f(1)$; $f(-2)$; $f(-0,5)$.

г) Определите, в каких точках график функции $y = f(x)$ пересекает ось абсцисс; ось ординат.

д) Найдите абсциссу точки пересечения графика данной функции и прямой $y = \sqrt[4]{3}$.

е) Найдите наименьшее и наибольшее значения данной функции на отрезке $[1; 2]$.

ж) Найдите корень уравнения $f(x) = \frac{1}{5\sqrt{3}}$.

з) Решите неравенство $f(x) > \frac{1}{81}$.

Решение. №468 (с. 229)
Алгебра, 11 класс Учебник, авторы: Арефьева Ирина Глебовна, Пирютко Ольга Николаевна, издательство Народная асвета, Минск, 2020, бирюзового цвета, страница 229, номер 468, Решение
Решение 2. №468 (с. 229)

а) Найдите область определения и множество значений функции.

Область определения $D(f)$: выражение в показателе степени $x+1$ определено для всех действительных чисел $x$. Таким образом, область определения функции — это множество всех действительных чисел, $D(f) = (-\infty; +\infty)$.

Множество значений $E(f)$: поскольку основание степени $3 > 0$, показательная функция $3^{x+1}$ принимает только положительные значения. Таким образом, множество значений функции — это множество всех положительных действительных чисел, $E(f) = (0; +\infty)$.

Ответ: Область определения: $(-\infty; +\infty)$. Множество значений: $(0; +\infty)$.

б) Постройте график данной функции.

График функции $y = 3^{x+1}$ является графиком показательной функции $y = 3^x$, смещенным на 1 единицу влево по оси Ox. Для построения найдем несколько ключевых точек:
при $x=-2, y = 3^{-2+1} = 3^{-1} = \frac{1}{3}$;
при $x=-1, y = 3^{-1+1} = 3^0 = 1$;
при $x=0, y = 3^{0+1} = 3^1 = 3$;
при $x=1, y = 3^{1+1} = 3^2 = 9$.
График проходит через точки $(-2, \frac{1}{3}), (-1, 1), (0, 3), (1, 9)$. Ось Ox ($y=0$) является горизонтальной асимптотой. Функция возрастает на всей области определения.

Ответ: График функции $y=3^{x+1}$ — это экспонента $y=3^x$, сдвинутая на 1 единицу влево, проходящая, например, через точки $(-1, 1)$ и $(0, 3)$.

в) Найдите $f(1)$; $f(-2)$; $f(-0,5)$.

Для нахождения значений функции подставляем соответствующие значения аргумента $x$ в формулу $f(x) = 3^{x+1}$.
$f(1) = 3^{1+1} = 3^2 = 9$.
$f(-2) = 3^{-2+1} = 3^{-1} = \frac{1}{3}$.
$f(-0,5) = 3^{-0,5+1} = 3^{0,5} = 3^{1/2} = \sqrt{3}$.

Ответ: $f(1) = 9$; $f(-2) = \frac{1}{3}$; $f(-0,5) = \sqrt{3}$.

г) Определите, в каких точках график функции $y = f(x)$ пересекает ось абсцисс; ось ординат.

Пересечение с осью абсцисс (осью Ox) происходит при $y = 0$. Решаем уравнение $f(x) = 0$, то есть $3^{x+1} = 0$. Данное уравнение не имеет решений, так как $3^{x+1} > 0$ для любого $x$. Следовательно, график не пересекает ось абсцисс.

Пересечение с осью ординат (осью Oy) происходит при $x = 0$. Находим $f(0) = 3^{0+1} = 3^1 = 3$. Следовательно, точка пересечения с осью ординат — $(0, 3)$.

Ответ: С осью абсцисс пересечений нет. С осью ординат пересекается в точке $(0, 3)$.

д) Найдите абсциссу точки пересечения графика данной функции и прямой $y = \sqrt[4]{3}$.

Для нахождения абсциссы точки пересечения необходимо решить уравнение $f(x) = y$, то есть $3^{x+1} = \sqrt[4]{3}$. Представим правую часть уравнения в виде степени с основанием 3: $\sqrt[4]{3} = 3^{1/4}$. Получаем уравнение $3^{x+1} = 3^{1/4}$. Так как основания степеней равны, приравниваем их показатели: $x+1 = \frac{1}{4}$. Отсюда $x = \frac{1}{4} - 1 = -\frac{3}{4}$.

Ответ: $-\frac{3}{4}$.

е) Найдите наименьшее и наибольшее значения данной функции на отрезке $[1; 2]$.

Функция $f(x) = 3^{x+1}$ является возрастающей (так как основание $3 > 1$). Следовательно, на отрезке $[1; 2]$ наименьшее значение достигается в левой границе, а наибольшее — в правой.
Наименьшее значение: $f_{наим} = f(1) = 3^{1+1} = 3^2 = 9$.
Наибольшее значение: $f_{наиб} = f(2) = 3^{2+1} = 3^3 = 27$.

Ответ: Наименьшее значение 9, наибольшее значение 27.

ж) Найдите корень уравнения $f(x) = \frac{1}{\sqrt[5]{3}}$.

Решаем уравнение $3^{x+1} = \frac{1}{\sqrt[5]{3}}$. Представим правую часть в виде степени с основанием 3: $\frac{1}{\sqrt[5]{3}} = \frac{1}{3^{1/5}} = 3^{-1/5}$. Уравнение принимает вид $3^{x+1} = 3^{-1/5}$. Приравниваем показатели степеней: $x+1 = -\frac{1}{5}$. Отсюда $x = -\frac{1}{5} - 1 = -\frac{1}{5} - \frac{5}{5} = -\frac{6}{5}$.

Ответ: $-\frac{6}{5}$.

з) Решите неравенство $f(x) > \frac{1}{81}$.

Подставляем в неравенство формулу функции: $3^{x+1} > \frac{1}{81}$. Представим правую часть в виде степени с основанием 3: $\frac{1}{81} = \frac{1}{3^4} = 3^{-4}$. Неравенство принимает вид $3^{x+1} > 3^{-4}$. Так как основание степени $3 > 1$, функция является возрастающей, и при переходе к неравенству для показателей знак неравенства сохраняется: $x+1 > -4$. Решая это линейное неравенство, получаем $x > -5$.

Ответ: $x \in (-5; +\infty)$.

Помогло решение? Оставьте отзыв в комментариях ниже.

Присоединяйтесь к Телеграм-группе @gdz_by_belarus

Присоединиться

Мы подготовили для вас ответ c подробным объяснением домашего задания по алгебре за 11 класс, для упражнения номер 468 расположенного на странице 229 к учебнику 2020 года издания для учащихся школ и гимназий.

Теперь на нашем сайте ГДЗ.ТОП вы всегда легко и бесплатно найдёте условие с правильным ответом на вопрос «Как решить ДЗ» и «Как сделать» задание по алгебре к упражнению №468 (с. 229), авторов: Арефьева (Ирина Глебовна), Пирютко (Ольга Николаевна), учебного пособия издательства Народная асвета.