Номер 51, страница 172 - гдз по алгебре 11 класс учебник Арефьева, Пирютко

Алгебра, 11 класс Учебник, авторы: Арефьева Ирина Глебовна, Пирютко Ольга Николаевна, издательство Народная асвета, Минск, 2020, бирюзового цвета

Авторы: Арефьева И. Г., Пирютко О. Н.

Тип: Учебник

Издательство: Народная асвета

Год издания: 2020 - 2026

Цвет обложки: бирюзовый, зелёный с графиком

ISBN: 978-985-03-3165-6

Популярные ГДЗ в 11 классе

Упражнения для итогового повторения. Числа и вычисления - номер 51, страница 172.

№51 (с. 172)
Условие. №51 (с. 172)
скриншот условия
Алгебра, 11 класс Учебник, авторы: Арефьева Ирина Глебовна, Пирютко Ольга Николаевна, издательство Народная асвета, Минск, 2020, бирюзового цвета, страница 172, номер 51, Условие

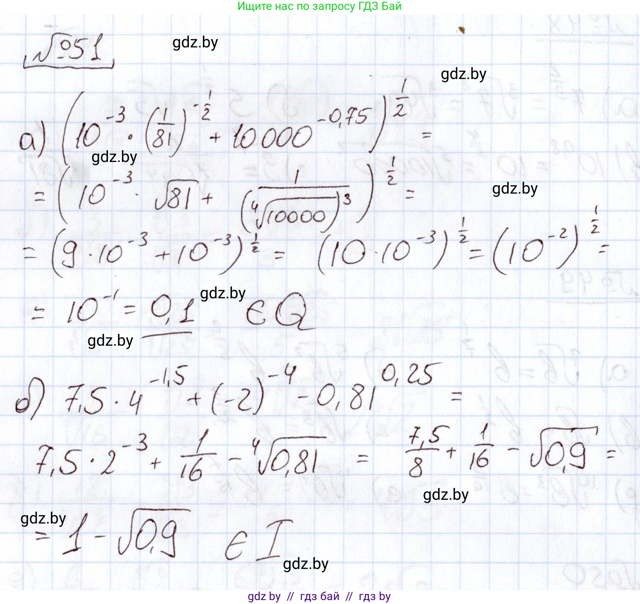
51. Определите, рациональным или иррациональным числом является значение выражения:

а) $ (10^{-3} \cdot \left(\frac{1}{81}\right)^{-\frac{1}{2}} + 10000^{-0,75})^{\frac{1}{2}} $;

б) $ 7,5 \cdot 4^{-1,5} + (-2)^{-4} - 0,81^{0,25} $.

Решение. №51 (с. 172)
Алгебра, 11 класс Учебник, авторы: Арефьева Ирина Глебовна, Пирютко Ольга Николаевна, издательство Народная асвета, Минск, 2020, бирюзового цвета, страница 172, номер 51, Решение
Решение 2. №51 (с. 172)

а) $ \left(10^{-3} \cdot \left(\frac{1}{81}\right)^{-\frac{1}{2}} + 10000^{-0,75}\right)^{\frac{1}{2}} $

Для решения вычислим поочередно значение каждого слагаемого в скобках, а затем найдем корень из полученной суммы.

1. Упростим первое слагаемое в скобках: $ 10^{-3} \cdot \left(\frac{1}{81}\right)^{-\frac{1}{2}} $.

Используем свойства степеней $ a^{-n} = \frac{1}{a^n} $ и $ \left(\frac{a}{b}\right)^{-n} = \left(\frac{b}{a}\right)^n $:

$ 10^{-3} = \frac{1}{10^3} = \frac{1}{1000} $

$ \left(\frac{1}{81}\right)^{-\frac{1}{2}} = 81^{\frac{1}{2}} = \sqrt{81} = 9 $

Перемножим полученные значения:

$ \frac{1}{1000} \cdot 9 = \frac{9}{1000} = 0,009 $

2. Упростим второе слагаемое: $ 10000^{-0,75} $.

Представим десятичный показатель степени в виде обыкновенной дроби: $ -0,75 = -\frac{3}{4} $. А число $ 10000 $ как $ 10^4 $.

$ 10000^{-0,75} = (10^4)^{-\frac{3}{4}} = 10^{4 \cdot (-\frac{3}{4})} = 10^{-3} = \frac{1}{1000} = 0,001 $

3. Сложим значения в скобках:

$ 0,009 + 0,001 = 0,01 $

4. Вычислим значение всего выражения, возведя результат в степень $ \frac{1}{2} $, что эквивалентно извлечению квадратного корня:

$ (0,01)^{\frac{1}{2}} = \sqrt{0,01} = 0,1 $

Полученное число $ 0,1 $ можно представить в виде дроби $ \frac{1}{10} $. Рациональное число — это число, которое можно представить в виде обыкновенной дроби $ \frac{m}{n} $, где $m$ — целое число, а $n$ — натуральное. Так как $ 0,1 $ представимо в таком виде, оно является рациональным.

Ответ: значение выражения равно $ 0,1 $, что является рациональным числом.

б) $ 7,5 \cdot 4^{-1,5} + (-2)^{-4} - 0,81^{0,25} $

Вычислим значение каждого члена выражения по отдельности.

1. Упростим первый член: $ 7,5 \cdot 4^{-1,5} $.

Представим десятичные числа в виде обыкновенных дробей: $ 7,5 = \frac{15}{2} $, $ -1,5 = -\frac{3}{2} $.

$ 4^{-1,5} = 4^{-\frac{3}{2}} = (2^2)^{-\frac{3}{2}} = 2^{2 \cdot (-\frac{3}{2})} = 2^{-3} = \frac{1}{8} $

Тогда первый член равен:

$ \frac{15}{2} \cdot \frac{1}{8} = \frac{15}{16} $

2. Упростим второй член: $ (-2)^{-4} $.

$ (-2)^{-4} = \frac{1}{(-2)^4} = \frac{1}{16} $ (так как степень четная, результат положителен).

3. Упростим третий член: $ 0,81^{0,25} $.

Представим десятичные числа в виде обыкновенных дробей: $ 0,81 = \frac{81}{100} $, $ 0,25 = \frac{1}{4} $.

$ 0,81^{0,25} = \left(\frac{81}{100}\right)^{\frac{1}{4}} = \frac{\sqrt[4]{81}}{\sqrt[4]{100}} = \frac{3}{\sqrt{\sqrt{100}}} = \frac{3}{\sqrt{10}} $

4. Сложим и вычтем полученные значения:

$ \frac{15}{16} + \frac{1}{16} - \frac{3}{\sqrt{10}} = \frac{15+1}{16} - \frac{3}{\sqrt{10}} = \frac{16}{16} - \frac{3}{\sqrt{10}} = 1 - \frac{3}{\sqrt{10}} $

Число $ 1 $ является рациональным. Число $ \sqrt{10} $ является иррациональным, так как 10 не является полным квадратом целого числа. Следовательно, дробь $ \frac{3}{\sqrt{10}} $ также иррациональна. Разность рационального и иррационального чисел всегда является иррациональным числом.

Ответ: значение выражения равно $ 1 - \frac{3}{\sqrt{10}} $, что является иррациональным числом.

Помогло решение? Оставьте отзыв в комментариях ниже.

Присоединяйтесь к Телеграм-группе @gdz_by_belarus

Присоединиться

Мы подготовили для вас ответ c подробным объяснением домашего задания по алгебре за 11 класс, для упражнения номер 51 расположенного на странице 172 к учебнику 2020 года издания для учащихся школ и гимназий.

Теперь на нашем сайте ГДЗ.ТОП вы всегда легко и бесплатно найдёте условие с правильным ответом на вопрос «Как решить ДЗ» и «Как сделать» задание по алгебре к упражнению №51 (с. 172), авторов: Арефьева (Ирина Глебовна), Пирютко (Ольга Николаевна), учебного пособия издательства Народная асвета.