Номер 6, страница 165 - гдз по алгебре 11 класс учебник Арефьева, Пирютко

Алгебра, 11 класс Учебник, авторы: Арефьева Ирина Глебовна, Пирютко Ольга Николаевна, издательство Народная асвета, Минск, 2020, бирюзового цвета

Авторы: Арефьева И. Г., Пирютко О. Н.

Тип: Учебник

Издательство: Народная асвета

Год издания: 2020 - 2026

Цвет обложки: бирюзовый, зелёный с графиком

ISBN: 978-985-03-3165-6

Популярные ГДЗ в 11 классе

Упражнения для итогового повторения. Числа и вычисления - номер 6, страница 165.

№6 (с. 165)
Условие. №6 (с. 165)
скриншот условия
Алгебра, 11 класс Учебник, авторы: Арефьева Ирина Глебовна, Пирютко Ольга Николаевна, издательство Народная асвета, Минск, 2020, бирюзового цвета, страница 165, номер 6, Условие

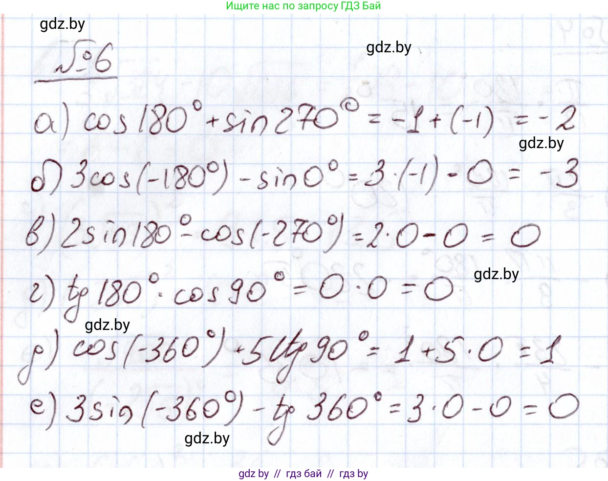
6. Найдите значение выражения:

а) $ \cos180^\circ + \sin270^\circ; $

б) $ 3\cos(-180^\circ) - \sin0^\circ; $

в) $ 2\sin180^\circ - \cos(-270^\circ); $

г) $ \operatorname{tg}180^\circ \cdot \cos90^\circ; $

д) $ \cos(-360^\circ) + 5\operatorname{ctg}90^\circ; $

е) $ 3\sin(-360^\circ) - \operatorname{tg}360^\circ. $

Решение. №6 (с. 165)
Алгебра, 11 класс Учебник, авторы: Арефьева Ирина Глебовна, Пирютко Ольга Николаевна, издательство Народная асвета, Минск, 2020, бирюзового цвета, страница 165, номер 6, Решение
Решение 2. №6 (с. 165)

а) Чтобы найти значение выражения $cos180^\circ + sin270^\circ$, воспользуемся значениями тригонометрических функций для углов, соответствующих точкам на осях координат единичной окружности.
Значение $cos180^\circ$ равно абсциссе точки, полученной поворотом начальной точки $(1; 0)$ на 180°, то есть $-1$.
Значение $sin270^\circ$ равно ординате точки, полученной поворотом начальной точки на 270°, то есть $-1$.
Подставляем значения в выражение:
$cos180^\circ + sin270^\circ = -1 + (-1) = -2$.
Ответ: -2

б) Для вычисления выражения $3cos(-180^\circ) - sin0^\circ$ используем свойство четности функции косинус и значение синуса для угла 0°.
Косинус — четная функция, поэтому $cos(-\alpha) = cos(\alpha)$. Следовательно, $cos(-180^\circ) = cos(180^\circ) = -1$.
Значение $sin0^\circ$ равно 0.
Подставляем значения в выражение:
$3 \cdot cos(-180^\circ) - sin0^\circ = 3 \cdot (-1) - 0 = -3$.
Ответ: -3

в) Чтобы найти значение выражения $2sin180^\circ - cos(-270^\circ)$, определим значения синуса и косинуса.
Значение $sin180^\circ$ равно 0.
Используем свойство четности косинуса: $cos(-270^\circ) = cos(270^\circ)$. Значение $cos270^\circ$ равно 0.
Подставляем значения в выражение:
$2sin180^\circ - cos(-270^\circ) = 2 \cdot 0 - 0 = 0$.
Ответ: 0

г) Для вычисления выражения $tg180^\circ \cdot cos90^\circ$ найдем значения сомножителей.
Значение $tg180^\circ$ можно найти по формуле $tg\alpha = \frac{sin\alpha}{cos\alpha}$.
$tg180^\circ = \frac{sin180^\circ}{cos180^\circ} = \frac{0}{-1} = 0$.
Значение $cos90^\circ$ равно 0.
Вычисляем произведение:
$tg180^\circ \cdot cos90^\circ = 0 \cdot 0 = 0$.
Ответ: 0

д) Чтобы найти значение выражения $cos(-360^\circ) + 5ctg90^\circ$, воспользуемся свойствами периодичности и четности тригонометрических функций.
Функция косинус является четной и имеет период 360°, поэтому $cos(-360^\circ) = cos(360^\circ) = cos(0^\circ) = 1$.
Значение $ctg90^\circ$ можно найти по формуле $ctg\alpha = \frac{cos\alpha}{sin\alpha}$.
$ctg90^\circ = \frac{cos90^\circ}{sin90^\circ} = \frac{0}{1} = 0$.
Подставляем значения в выражение:
$cos(-360^\circ) + 5ctg90^\circ = 1 + 5 \cdot 0 = 1$.
Ответ: 1

е) Для вычисления выражения $3sin(-360^\circ) - tg360^\circ$ используем свойства нечетности и периодичности.
Синус — нечетная функция, поэтому $sin(-\alpha) = -sin(\alpha)$.
$sin(-360^\circ) = -sin(360^\circ)$. Период синуса 360°, значит $sin(360^\circ) = sin(0^\circ) = 0$.
Следовательно, $3sin(-360^\circ) = 3 \cdot 0 = 0$.
Период тангенса 180°, поэтому $tg(360^\circ) = tg(2 \cdot 180^\circ) = tg(0^\circ) = 0$.
Подставляем значения в выражение:
$3sin(-360^\circ) - tg360^\circ = 0 - 0 = 0$.
Ответ: 0

Помогло решение? Оставьте отзыв в комментариях ниже.

Присоединяйтесь к Телеграм-группе @gdz_by_belarus

Присоединиться

Мы подготовили для вас ответ c подробным объяснением домашего задания по алгебре за 11 класс, для упражнения номер 6 расположенного на странице 165 к учебнику 2020 года издания для учащихся школ и гимназий.

Теперь на нашем сайте ГДЗ.ТОП вы всегда легко и бесплатно найдёте условие с правильным ответом на вопрос «Как решить ДЗ» и «Как сделать» задание по алгебре к упражнению №6 (с. 165), авторов: Арефьева (Ирина Глебовна), Пирютко (Ольга Николаевна), учебного пособия издательства Народная асвета.