Номер 12, страница 233 - гдз по алгебре 11 класс учебник Арефьева, Пирютко

Алгебра, 11 класс Учебник, авторы: Арефьева Ирина Глебовна, Пирютко Ольга Николаевна, издательство Народная асвета, Минск, 2020, бирюзового цвета

Авторы: Арефьева И. Г., Пирютко О. Н.

Тип: Учебник

Издательство: Народная асвета

Год издания: 2020 - 2026

Цвет обложки: бирюзовый, зелёный с графиком

ISBN: 978-985-03-3165-6

Популярные ГДЗ в 11 классе

Тематические тесты. Тест 1. Применение свойств степени и корня для преобразования выражений - номер 12, страница 233.

№12 (с. 233)
Условие. №12 (с. 233)
скриншот условия
Алгебра, 11 класс Учебник, авторы: Арефьева Ирина Глебовна, Пирютко Ольга Николаевна, издательство Народная асвета, Минск, 2020, бирюзового цвета, страница 233, номер 12, Условие

12. Упростите выражение

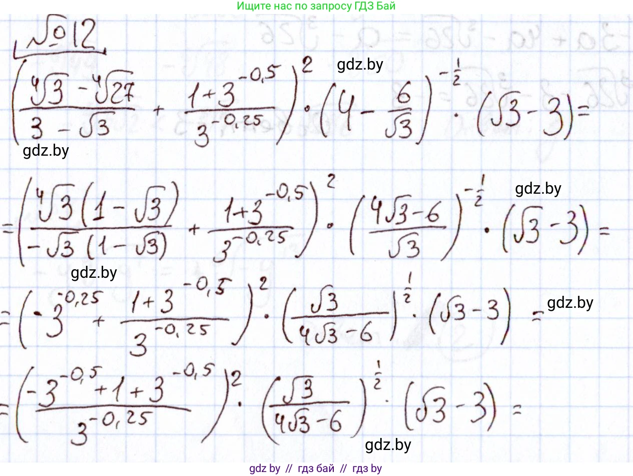
$(\frac{\sqrt[4]{3}-\sqrt[4]{27}}{3-\sqrt{3}} + \frac{1+3^{-0.5}}{3^{-0.25}})^2 \cdot (4-\frac{6}{\sqrt{3}})^{-\frac{1}{2}} \cdot (\sqrt{3}-3).$

Решение. №12 (с. 233)
Алгебра, 11 класс Учебник, авторы: Арефьева Ирина Глебовна, Пирютко Ольга Николаевна, издательство Народная асвета, Минск, 2020, бирюзового цвета, страница 233, номер 12, Решение Алгебра, 11 класс Учебник, авторы: Арефьева Ирина Глебовна, Пирютко Ольга Николаевна, издательство Народная асвета, Минск, 2020, бирюзового цвета, страница 233, номер 12, Решение (продолжение 2)
Решение 2. №12 (с. 233)

Для упрощения выражения решим его по действиям.

1. Упростим выражение в больших скобках и возведем в квадрат: $ (\frac{\sqrt[4]{3}-\sqrt[4]{27}}{3-\sqrt{3}} + \frac{1+3^{-0.5}}{3^{-0.25}})^2 $

Сначала найдем значение выражения в скобках. Для этого упростим каждую из дробей.

Первая дробь: $ \frac{\sqrt[4]{3}-\sqrt[4]{27}}{3-\sqrt{3}} $. Представим корни и числа через степень 3:$ \sqrt[4]{3} = 3^{\frac{1}{4}} $, $ \sqrt[4]{27} = \sqrt[4]{3^3} = 3^{\frac{3}{4}} $, $ \sqrt{3} = 3^{\frac{1}{2}} $. Подставляем в дробь:

$ \frac{3^{\frac{1}{4}} - 3^{\frac{3}{4}}}{3 - 3^{\frac{1}{2}}} $

В числителе вынесем за скобки $ 3^{\frac{1}{4}} $, а в знаменателе $ \sqrt{3} $:

$ \frac{3^{\frac{1}{4}}(1 - 3^{\frac{1}{2}})}{\sqrt{3}(\sqrt{3}-1)} = \frac{3^{\frac{1}{4}}(1-\sqrt{3})}{-\sqrt{3}(1-\sqrt{3})} = -\frac{3^{\frac{1}{4}}}{\sqrt{3}} = -\frac{3^{\frac{1}{4}}}{3^{\frac{1}{2}}} = -3^{\frac{1}{4}-\frac{1}{2}} = -3^{-\frac{1}{4}} $

Вторая дробь: $ \frac{1+3^{-0.5}}{3^{-0.25}} $. Переведем десятичные степени в обыкновенные $ -0.5 = -\frac{1}{2} $ и $ -0.25 = -\frac{1}{4} $:

$ \frac{1+3^{-\frac{1}{2}}}{3^{-\frac{1}{4}}} = \frac{1}{3^{-\frac{1}{4}}} + \frac{3^{-\frac{1}{2}}}{3^{-\frac{1}{4}}} = 3^{\frac{1}{4}} + 3^{-\frac{1}{2} - (-\frac{1}{4})} = 3^{\frac{1}{4}} + 3^{-\frac{1}{4}} $

Теперь сложим результаты упрощения двух дробей:

$ -3^{-\frac{1}{4}} + (3^{\frac{1}{4}} + 3^{-\frac{1}{4}}) = 3^{\frac{1}{4}} $

Возведем полученный результат в квадрат:

$ (3^{\frac{1}{4}})^2 = 3^{\frac{1}{4} \cdot 2} = 3^{\frac{1}{2}} = \sqrt{3} $

2. Упростим второй множитель: $ (4-\frac{6}{\sqrt{3}})^{-\frac{1}{2}} $

Сначала упростим выражение в скобках. Избавимся от иррациональности в знаменателе:

$ 4-\frac{6}{\sqrt{3}} = 4 - \frac{6\sqrt{3}}{\sqrt{3}\sqrt{3}} = 4 - \frac{6\sqrt{3}}{3} = 4 - 2\sqrt{3} $

Представим $ 4 - 2\sqrt{3} $ в виде полного квадрата, используя формулу $ (a-b)^2 = a^2-2ab+b^2 $:

$ 4 - 2\sqrt{3} = 3 - 2\sqrt{3} + 1 = (\sqrt{3})^2 - 2\cdot\sqrt{3}\cdot 1 + 1^2 = (\sqrt{3}-1)^2 $

Теперь вычислим значение всего множителя:

$ ((\sqrt{3}-1)^2)^{-\frac{1}{2}} = (\sqrt{3}-1)^{2 \cdot (-\frac{1}{2})} = (\sqrt{3}-1)^{-1} = \frac{1}{\sqrt{3}-1} $

3. Упростим третий множитель: $ (\sqrt{3}-3) $

Вынесем $ \sqrt{3} $ за скобку:

$ \sqrt{3}-3 = \sqrt{3} - (\sqrt{3})^2 = \sqrt{3}(1-\sqrt{3}) = -\sqrt{3}(\sqrt{3}-1) $

4. Перемножим все упрощенные части.

Объединим результаты, полученные в шагах 1, 2 и 3:

$ \sqrt{3} \cdot \frac{1}{\sqrt{3}-1} \cdot (-\sqrt{3}(\sqrt{3}-1)) $

Сократим выражение на $ (\sqrt{3}-1) $:

$ \sqrt{3} \cdot (-\sqrt{3}) = -(\sqrt{3})^2 = -3 $

Ответ: -3

Помогло решение? Оставьте отзыв в комментариях ниже.

Присоединяйтесь к Телеграм-группе @gdz_by_belarus

Присоединиться

Мы подготовили для вас ответ c подробным объяснением домашего задания по алгебре за 11 класс, для упражнения номер 12 расположенного на странице 233 к учебнику 2020 года издания для учащихся школ и гимназий.

Теперь на нашем сайте ГДЗ.ТОП вы всегда легко и бесплатно найдёте условие с правильным ответом на вопрос «Как решить ДЗ» и «Как сделать» задание по алгебре к упражнению №12 (с. 233), авторов: Арефьева (Ирина Глебовна), Пирютко (Ольга Николаевна), учебного пособия издательства Народная асвета.