Номер 11, страница 249 - гдз по алгебре 11 класс учебник Арефьева, Пирютко

Алгебра, 11 класс Учебник, авторы: Арефьева Ирина Глебовна, Пирютко Ольга Николаевна, издательство Народная асвета, Минск, 2020, бирюзового цвета

Авторы: Арефьева И. Г., Пирютко О. Н.

Тип: Учебник

Издательство: Народная асвета

Год издания: 2020 - 2026

Цвет обложки: бирюзовый, зелёный с графиком

ISBN: 978-985-03-3165-6

Популярные ГДЗ в 11 классе

Тематические тесты. Тест 7. Применение свойств показательной функции. Показательные уравнения - номер 11, страница 249.

№11 (с. 249)
Условие. №11 (с. 249)
скриншот условия
Алгебра, 11 класс Учебник, авторы: Арефьева Ирина Глебовна, Пирютко Ольга Николаевна, издательство Народная асвета, Минск, 2020, бирюзового цвета, страница 249, номер 11, Условие

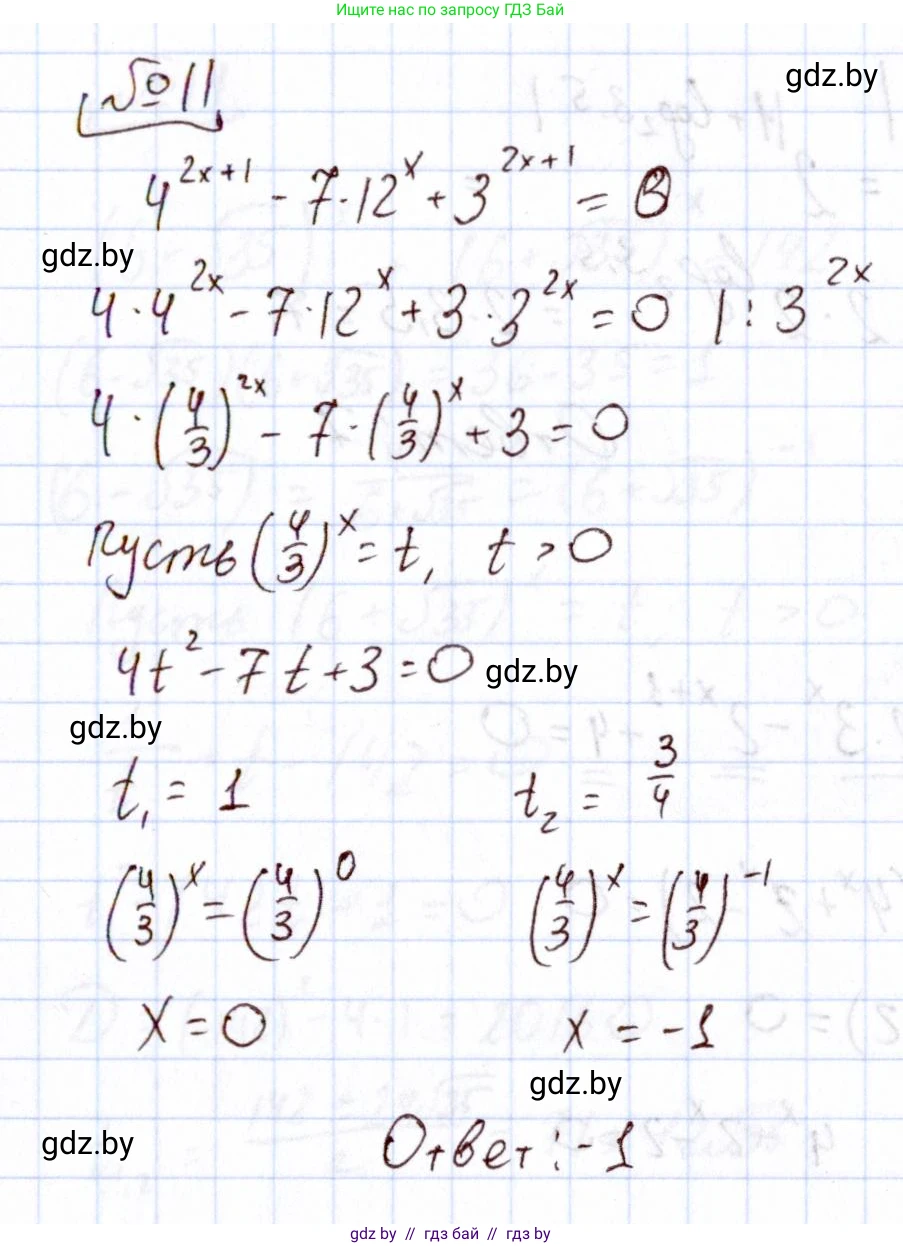
11. Найдите наименьший корень уравнения $4^{2x+1} - 7 \cdot 12^x + 3^{2x+1} = 0.$

Решение. №11 (с. 249)
Алгебра, 11 класс Учебник, авторы: Арефьева Ирина Глебовна, Пирютко Ольга Николаевна, издательство Народная асвета, Минск, 2020, бирюзового цвета, страница 249, номер 11, Решение
Решение 2. №11 (с. 249)

Для решения показательного уравнения $4^{2x+1} - 7 \cdot 12^x + 3^{2x+1} = 0$ преобразуем его, используя свойства степеней.

Представим члены уравнения в виде степеней с основаниями 4 и 3:

$4^{2x+1} = 4 \cdot 4^{2x}$

$12^x = (4 \cdot 3)^x = 4^x \cdot 3^x$

$3^{2x+1} = 3 \cdot 3^{2x}$

Подставим эти выражения в исходное уравнение:

$4 \cdot 4^{2x} - 7 \cdot 4^x \cdot 3^x + 3 \cdot 3^{2x} = 0$

Это однородное показательное уравнение. Чтобы его решить, разделим обе части уравнения на $3^{2x}$. Так как $3^{2x}$ всегда больше нуля, это преобразование является равносильным:

$\frac{4 \cdot 4^{2x}}{3^{2x}} - \frac{7 \cdot 4^x \cdot 3^x}{3^{2x}} + \frac{3 \cdot 3^{2x}}{3^{2x}} = 0$

Используя свойство $\frac{a^n}{b^n} = (\frac{a}{b})^n$, упростим уравнение:

$4 \cdot (\frac{4}{3})^{2x} - 7 \cdot (\frac{4}{3})^x + 3 = 0$

Сделаем замену переменной. Пусть $t = (\frac{4}{3})^x$. Так как показательная функция всегда положительна, то $t > 0$. Уравнение примет вид квадратного:

$4t^2 - 7t + 3 = 0$

Найдем корни этого квадратного уравнения. Вычислим дискриминант:

$D = b^2 - 4ac = (-7)^2 - 4 \cdot 4 \cdot 3 = 49 - 48 = 1$

Корни для $t$ равны:

$t_1 = \frac{-b - \sqrt{D}}{2a} = \frac{7 - 1}{2 \cdot 4} = \frac{6}{8} = \frac{3}{4}$

$t_2 = \frac{-b + \sqrt{D}}{2a} = \frac{7 + 1}{2 \cdot 4} = \frac{8}{8} = 1$

Оба корня ($1$ и $\frac{3}{4}$) положительны, поэтому оба являются допустимыми значениями для $t$.

Теперь выполним обратную замену, чтобы найти $x$.

1. Если $t = 1$:

$(\frac{4}{3})^x = 1$

Так как любое число (кроме нуля) в степени 0 равно 1, то:

$(\frac{4}{3})^x = (\frac{4}{3})^0$

$x_1 = 0$

2. Если $t = \frac{3}{4}$:

$(\frac{4}{3})^x = \frac{3}{4}$

Так как $\frac{3}{4} = (\frac{4}{3})^{-1}$, то:

$(\frac{4}{3})^x = (\frac{4}{3})^{-1}$

$x_2 = -1$

Мы получили два корня уравнения: $0$ и $-1$. В задаче требуется найти наименьший корень. Сравнивая два значения, получаем, что $-1$ является наименьшим корнем.

Ответ: -1

Помогло решение? Оставьте отзыв в комментариях ниже.

Присоединяйтесь к Телеграм-группе @gdz_by_belarus

Присоединиться

Мы подготовили для вас ответ c подробным объяснением домашего задания по алгебре за 11 класс, для упражнения номер 11 расположенного на странице 249 к учебнику 2020 года издания для учащихся школ и гимназий.

Теперь на нашем сайте ГДЗ.ТОП вы всегда легко и бесплатно найдёте условие с правильным ответом на вопрос «Как решить ДЗ» и «Как сделать» задание по алгебре к упражнению №11 (с. 249), авторов: Арефьева (Ирина Глебовна), Пирютко (Ольга Николаевна), учебного пособия издательства Народная асвета.