Номер 12, страница 254 - гдз по алгебре 11 класс учебник Арефьева, Пирютко

Алгебра, 11 класс Учебник, авторы: Арефьева Ирина Глебовна, Пирютко Ольга Николаевна, издательство Народная асвета, Минск, 2020, бирюзового цвета

Авторы: Арефьева И. Г., Пирютко О. Н.

Тип: Учебник

Издательство: Народная асвета

Год издания: 2020 - 2026

Цвет обложки: бирюзовый, зелёный с графиком

ISBN: 978-985-03-3165-6

Популярные ГДЗ в 11 классе

Тематические тесты. Тест 9. Логарифмическая функция. Свойства логарифмов - номер 12, страница 254.

№12 (с. 254)
Условие. №12 (с. 254)
скриншот условия
Алгебра, 11 класс Учебник, авторы: Арефьева Ирина Глебовна, Пирютко Ольга Николаевна, издательство Народная асвета, Минск, 2020, бирюзового цвета, страница 254, номер 12, Условие

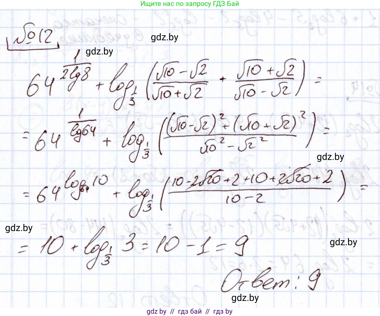
12. Найдите значение выражения $64^{\frac{1}{2\lg8}} + \log_{\frac{1}{3}}\left(\frac{\sqrt{10}-\sqrt{2}}{\sqrt{10}+\sqrt{2}} + \frac{\sqrt{10}+\sqrt{2}}{\sqrt{10}-\sqrt{2}}\right).$

Решение. №12 (с. 254)
Алгебра, 11 класс Учебник, авторы: Арефьева Ирина Глебовна, Пирютко Ольга Николаевна, издательство Народная асвета, Минск, 2020, бирюзового цвета, страница 254, номер 12, Решение
Решение 2. №12 (с. 254)

Для нахождения значения данного выражения, вычислим значение каждого слагаемого по отдельности.

Вычисление первого слагаемого: $64^{\frac{1}{2\lg 8}}$

Сначала упростим показатель степени. Запись $\lg 8$ означает десятичный логарифм числа 8, то есть $\log_{10} 8$.

Используя свойство логарифма $n \cdot \log_a b = \log_a (b^n)$, преобразуем знаменатель показателя:

$2\lg 8 = \lg (8^2) = \lg 64$.

Теперь первое слагаемое можно записать как:

$64^{\frac{1}{\lg 64}}$

Воспользуемся свойством $\frac{1}{\log_b a} = \log_a b$. В нашем случае $\frac{1}{\lg 64} = \frac{1}{\log_{10} 64} = \log_{64} 10$.

Подставим полученное выражение обратно в степень:

$64^{\log_{64} 10}$

По основному логарифмическому тождеству $a^{\log_a b} = b$, получаем:

$64^{\log_{64} 10} = 10$.

Таким образом, значение первого слагаемого равно 10.

Вычисление второго слагаемого: $\log_{\frac{1}{3}}\left(\frac{\sqrt{10}-\sqrt{2}}{\sqrt{10}+\sqrt{2}} + \frac{\sqrt{10}+\sqrt{2}}{\sqrt{10}-\sqrt{2}}\right)$

Сначала упростим выражение в скобках, которое является аргументом логарифма. Для этого приведем дроби к общему знаменателю.

Общий знаменатель равен $(\sqrt{10}+\sqrt{2})(\sqrt{10}-\sqrt{2})$. По формуле разности квадратов $(a+b)(a-b) = a^2 - b^2$, он равен:

$(\sqrt{10})^2 - (\sqrt{2})^2 = 10 - 2 = 8$.

Теперь найдем сумму числителей, приведя дроби к общему знаменателю:

$\frac{(\sqrt{10}-\sqrt{2})^2 + (\sqrt{10}+\sqrt{2})^2}{8}$

Для упрощения числителя применим тождество $(a-b)^2 + (a+b)^2 = 2(a^2+b^2)$:

$2((\sqrt{10})^2 + (\sqrt{2})^2) = 2(10 + 2) = 2 \cdot 12 = 24$.

Таким образом, значение выражения под знаком логарифма равно:

$\frac{24}{8} = 3$.

Теперь вычислим значение самого логарифма:

$\log_{\frac{1}{3}} 3$

Поскольку основание логарифма $\frac{1}{3} = 3^{-1}$, мы можем использовать свойство $\log_{a^k} b = \frac{1}{k}\log_a b$:

$\log_{3^{-1}} 3 = \frac{1}{-1} \log_3 3 = -1 \cdot 1 = -1$.

Таким образом, значение второго слагаемого равно -1.

Итоговый результат

Сложим полученные значения двух слагаемых, чтобы найти значение всего выражения:

$10 + (-1) = 9$.

Ответ: 9

Помогло решение? Оставьте отзыв в комментариях ниже.

Присоединяйтесь к Телеграм-группе @gdz_by_belarus

Присоединиться

Мы подготовили для вас ответ c подробным объяснением домашего задания по алгебре за 11 класс, для упражнения номер 12 расположенного на странице 254 к учебнику 2020 года издания для учащихся школ и гимназий.

Теперь на нашем сайте ГДЗ.ТОП вы всегда легко и бесплатно найдёте условие с правильным ответом на вопрос «Как решить ДЗ» и «Как сделать» задание по алгебре к упражнению №12 (с. 254), авторов: Арефьева (Ирина Глебовна), Пирютко (Ольга Николаевна), учебного пособия издательства Народная асвета.