Номер 1460, страница 226 - гдз по химии 11 класс сборник задач Хвалюк, Резяпкин

Химия, 11 класс Сборник задач, авторы: Хвалюк Виктор Николаевич, Резяпкин Виктор Ильич, издательство Адукацыя i выхаванне, Минск, 2023, зелёного цвета

Авторы: Хвалюк В. Н., Резяпкин В. И.

Тип: Сборник задач

Издательство: Адукацыя i выхаванне

Год издания: 2023 - 2026

Цвет обложки: зелёный, голубой с колбами

ISBN: 978-985-599-534-1

Допущено Министерством образования Республики Беларусь

Популярные ГДЗ в 11 классе

Глава 7. Металлы. Параграф 49. Железо и его соединения - номер 1460, страница 226.

№1460 (с. 226)
Условие. №1460 (с. 226)
скриншот условия
Химия, 11 класс Сборник задач, авторы: Хвалюк Виктор Николаевич, Резяпкин Виктор Ильич, издательство Адукацыя i выхаванне, Минск, 2023, зелёного цвета, страница 226, номер 1460, Условие

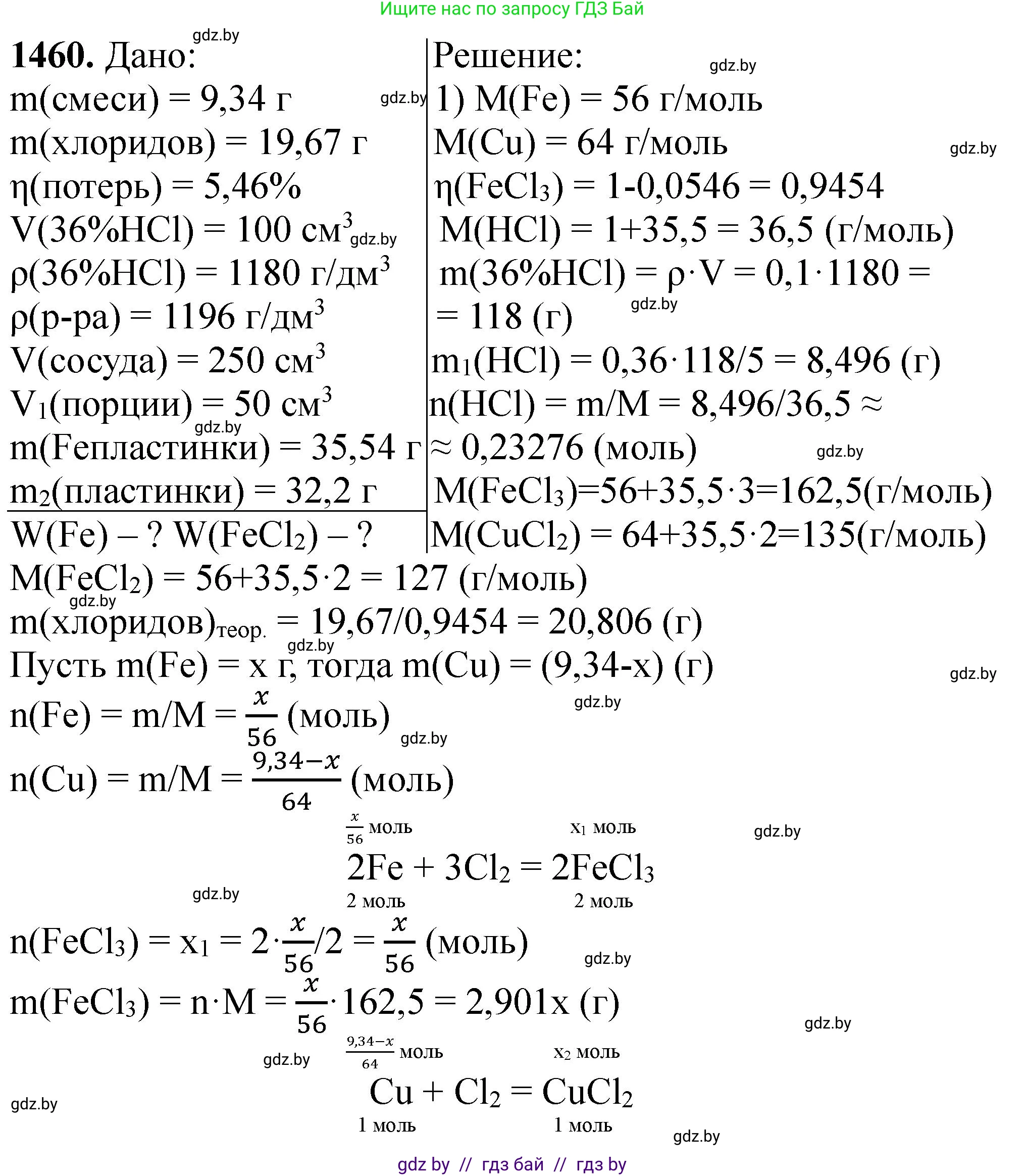
1460. *Смесь массой 9,34 г, состоящую из порошков железа и меди, поместили в трубчатую печь и длительное время нагревали в токе сухого хлора. Полученный твёрдый продукт массой 19,67 г поместили в мерную колбу объёмом 250 см3, содержащую 100 см3 36,0%-ной соляной кислоты плотностью 1180 г/дм3. После полного растворения твёрдого продукта раствор разбавили до метки дистиллированной водой, причём образовавшийся раствор имел плотность 1196 г/дм3. В стакан поместили порцию приготовленного раствора объёмом 50,0 см3 и внесли железную пластинку массой 35,54 г. Через некоторое время пластинку вынули из раствора, промыли дистиллированной водой и взвесили. Масса пластинки оказалась равна 32,20 г. Рассчитайте массовую долю железа в исходной смеси металлов, приняв во внимание, что потери конечного продукта хлорирования при извлечении из печи составили 5,46 %. Установите качественный состав раствора в стакане после окончания эксперимента и рассчитайте массовую долю соли железа в нём.

Решение. №1460 (с. 226)
Химия, 11 класс Сборник задач, авторы: Хвалюк Виктор Николаевич, Резяпкин Виктор Ильич, издательство Адукацыя i выхаванне, Минск, 2023, зелёного цвета, страница 226, номер 1460, Решение Химия, 11 класс Сборник задач, авторы: Хвалюк Виктор Николаевич, Резяпкин Виктор Ильич, издательство Адукацыя i выхаванне, Минск, 2023, зелёного цвета, страница 226, номер 1460, Решение (продолжение 2)
Решение 3. №1460 (с. 226)

Дано:

$m(смеси~Fe+Cu) = 9,34~г = 9,34 \cdot 10^{-3}~кг$

$m(продукта~хлорирования)_{собран.} = 19,67~г = 19,67 \cdot 10^{-3}~кг$

$Потери = 5,46\% = 0,0546$

$V(колбы) = 250~см^3 = 250 \cdot 10^{-6}~м^3$

$V(р-ра~HCl)_{исх.} = 100~см^3 = 100 \cdot 10^{-6}~м^3$

$w(HCl) = 36,0\% = 0,360$

$ρ(р-ра~HCl)_{исх.} = 1180~г/дм^3 = 1180~кг/м^3$

$ρ(р-ра~в~колбе) = 1196~г/дм^3 = 1196~кг/м^3$

$V(порции~р-ра) = 50,0~см^3 = 50,0 \cdot 10^{-6}~м^3$

$m(пластинки)_{нач.} = 35,54~г = 35,54 \cdot 10^{-3}~кг$

$m(пластинки)_{кон.} = 32,20~г = 32,20 \cdot 10^{-3}~кг$

Найти:

$w(Fe)$ в исходной смеси - ?

Качественный состав раствора в стакане - ?

$w(соли~железа)$ в конечном растворе в стакане - ?

Решение:

1. Расчет массовой доли железа в исходной смеси металлов.

Сначала запишем уравнения реакций железа и меди с хлором при нагревании. Хлор является сильным окислителем, поэтому железо окисляется до степени окисления +3, а медь до +2.

$2Fe + 3Cl_2 \rightarrow 2FeCl_3$

$Cu + Cl_2 \rightarrow CuCl_2$

Масса полученного твердого продукта (смеси $FeCl_3$ и $CuCl_2$), которую поместили в колбу, составляет 19,67 г. Эта масса получена после потерь в 5,46%. Рассчитаем общую массу хлоридов, которая образовалась в печи:

$m(хлоридов)_{общ.} = \frac{m(хлоридов)_{собран.}}{1 - \text{доля потерь}} = \frac{19,67~г}{1 - 0,0546} = \frac{19,67~г}{0,9454} \approx 20,806~г$

Прирост массы по сравнению с исходной смесью металлов произошел за счет присоединившегося хлора:

$m(Cl) = m(хлоридов)_{общ.} - m(смеси~Fe+Cu) = 20,806~г - 9,34~г = 11,466~г$

Вычислим количество вещества атомарного хлора, используя молярную массу $M(Cl) = 35,5~г/моль$:

$n(Cl) = \frac{m(Cl)}{M(Cl)} = \frac{11,466~г}{35,5~г/моль} \approx 0,323~моль$

Пусть в исходной смеси было $x$ г железа и $(9,34 - x)$ г меди. Найдем количество вещества каждого металла, используя молярные массы $M(Fe) = 56~г/моль$ и $M(Cu) = 63,5~г/моль$:

$n(Fe) = \frac{x}{56}~моль$

$n(Cu) = \frac{9,34 - x}{63,5}~моль$

Из уравнений реакций следует, что на 1 моль $Fe$ расходуется 3 моль атомов $Cl$, а на 1 моль $Cu$ - 2 моль атомов $Cl$. Составим уравнение материального баланса по хлору:

$3 \cdot n(Fe) + 2 \cdot n(Cu) = n(Cl)$

$3 \cdot \frac{x}{56} + 2 \cdot \frac{9,34 - x}{63,5} = 0,323$

Решим это уравнение относительно $x$:

$0,05357x + \frac{18,68 - 2x}{63,5} = 0,323$

$0,05357x + 0,29417 - 0,03150x = 0,323$

$0,02207x = 0,02883$

$x = \frac{0,02883}{0,02207} \approx 1,306~г$

Таким образом, масса железа в исходной смеси равна 1,306 г. Теперь можно рассчитать его массовую долю:

$w(Fe) = \frac{m(Fe)}{m(смеси~Fe+Cu)} \cdot 100\% = \frac{1,306~г}{9,34~г} \cdot 100\% \approx 13,98\%$

С учетом значащих цифр в условии, округляем до трех знаков.

Ответ: Массовая доля железа в исходной смеси металлов составляет 14,0 %.

2. Установление качественного состава раствора в стакане и расчет массовой доли соли железа в нём.

Сначала определим состав и количество веществ в 50,0 см³ раствора, взятого из колбы для эксперимента.

Расчет состава раствора в колбе (250 см³):

Масса собранных хлоридов (19,67 г) состоит из $FeCl_3$ и $CuCl_2$. Их мольное соотношение такое же, как и у исходных металлов. Рассчитаем моли металлов:

$n(Fe) = \frac{1,306~г}{56~г/моль} \approx 0,02332~моль$

$m(Cu) = 9,34~г - 1,306~г = 8,028~г$

$n(Cu) = \frac{8,028~г}{63,5~г/моль} \approx 0,1264~моль$

Количество вещества хлоридов, образовавшихся в печи: $n(FeCl_3) = n(Fe) = 0,02332~моль$; $n(CuCl_2) = n(Cu) = 0,1264~моль$.

Количество вещества хлоридов, помещенных в колбу (с учетом потерь 5,46%):

$n(FeCl_3)_{колб.} = 0,02332~моль \cdot (1 - 0,0546) \approx 0,02205~моль$

$n(CuCl_2)_{колб.} = 0,1264~моль \cdot (1 - 0,0546) \approx 0,1195~моль$

Также в колбу добавили 100 см³ 36,0% раствора HCl. Найдем количество вещества HCl:

$m(р-ра~HCl) = V \cdot \rho = 100~см^3 \cdot 1,180~г/см^3 = 118~г$

$m(HCl) = m(р-ра~HCl) \cdot w(HCl) = 118~г \cdot 0,360 = 42,48~г$

$n(HCl) = \frac{m(HCl)}{M(HCl)} = \frac{42,48~г}{36,5~г/моль} \approx 1,164~моль$

Расчет состава раствора в стакане (порция 50,0 см³):

Объем порции составляет $50,0~см^3 / 250~см^3 = 1/5$ от общего объема раствора в колбе. Следовательно, количество каждого компонента в порции будет в 5 раз меньше:

$n(FeCl_3)_{стак.} = 0,02205 / 5 = 0,00441~моль$

$n(CuCl_2)_{стак.} = 0,1195 / 5 = 0,0239~моль$

$n(HCl)_{стак.} = 1,164 / 5 = 0,2328~моль$

Анализ реакций с железной пластинкой:

Железная пластинка реагирует с компонентами раствора. Реакции идут в порядке убывания окислительной способности реагентов ($Fe^{3+} > Cu^{2+} > H^+$):

1) $Fe_{(тв)} + 2FeCl_{3(р-р)} \rightarrow 3FeCl_{2(р-р)}$

2) $Fe_{(тв)} + CuCl_{2(р-р)} \rightarrow FeCl_{2(р-р)} + Cu_{(тв)}$

3) $Fe_{(тв)} + 2HCl_{(р-р)} \rightarrow FeCl_{2(р-р)} + H_{2(г)}$

Изменение массы пластинки: $\Delta m = m_{кон.} - m_{нач.} = 32,20~г - 35,54~г = -3,34~г$.

Масса пластинки уменьшилась, значит, масса растворившегося железа больше массы выделившейся меди.

Предположим, что реакции 1 и 2 прошли до конца, так как они более приоритетны, а затем началась реакция 3.

Реакция 1: весь $FeCl_3$ прореагировал.$n(Fe)_{раств.,1} = \frac{1}{2} n(FeCl_3) = \frac{0,00441}{2} = 0,002205~моль$

Реакция 2: весь $CuCl_2$ прореагировал.$n(Fe)_{раств.,2} = n(CuCl_2) = 0,0239~моль$.При этом на пластинке выделилась медь: $n(Cu)_{осело} = n(CuCl_2) = 0,0239~моль$.

Реакция 3: прореагировало $n_3$ моль железа.$n(Fe)_{раств.,3} = n_3$

Общее изменение массы пластинки равно сумме масс выделившейся меди и растворившегося железа:

$\Delta m = m(Cu)_{осело} - m(Fe)_{раств., общ.}$

$-3,34~г = n(Cu)_{осело} \cdot M(Cu) - (n(Fe)_{раств.,1} + n(Fe)_{раств.,2} + n_3) \cdot M(Fe)$

$-3,34 = 0,0239 \cdot 63,5 - (0,002205 + 0,0239 + n_3) \cdot 56$

$-3,34 = 1,518 - (0,026105 + n_3) \cdot 56$

$-3,34 = 1,518 - 1,462 - 56n_3$

$-3,34 = 0,056 - 56n_3$

$56n_3 = 3,34 + 0,056 = 3,396$

$n_3 = \frac{3,396}{56} \approx 0,0606~моль$

Проверим, хватило ли соляной кислоты: $n(HCl)_{потр.} = 2 \cdot n_3 = 2 \cdot 0,0606 = 0,1212~моль$.В стакане было 0,2328 моль HCl. Так как $0,1212 < 0,2328$, кислоты было достаточно. Наша гипотеза верна.

Качественный состав раствора после эксперимента:

В ходе реакций $FeCl_3$ и $CuCl_2$ израсходовались полностью. $HCl$ израсходовался частично. Единственным продуктом в растворе, содержащим металл, является хлорид железа(II) ($FeCl_2$). Также в растворе остались избыток $HCl$ и вода.

Таким образом, качественный состав раствора: $FeCl_2, HCl, H_2O$. (Ионный состав: $Fe^{2+}, H^+, Cl^-, H_2O$).

Расчет массовой доли соли железа ($FeCl_2$):

Найдем общее количество вещества образовавшегося $FeCl_2$:

$n(FeCl_2)_1 = \frac{3}{2} n(FeCl_3) = \frac{3}{2} \cdot 0,00441 = 0,006615~моль$

$n(FeCl_2)_2 = n(CuCl_2) = 0,0239~моль$

$n(FeCl_2)_3 = n_3 = 0,0606~моль$

$n(FeCl_2)_{общ.} = 0,006615 + 0,0239 + 0,0606 = 0,0911~моль$

Масса $FeCl_2$ ($M=127~г/моль$):

$m(FeCl_2) = 0,0911~моль \cdot 127~г/моль \approx 11,57~г$

Найдем массу конечного раствора в стакане. Она равна массе исходного раствора плюс масса растворившегося железа минус масса выделившейся меди и минус масса улетевшего водорода.

$m(р-ра)_{нач.} = V \cdot \rho = 50,0~см^3 \cdot 1,196~г/см^3 = 59,8~г$

Изменение массы раствора за счет твердых фаз равно изменению массы пластинки с обратным знаком: $+3,34~г$.

Масса выделившегося водорода ($M=2~г/моль$): $n(H_2) = n(Fe)_{раств.,3} = n_3 = 0,0606~моль$.$m(H_2) = 0,0606~моль \cdot 2~г/моль = 0,1212~г$

$m(р-ра)_{кон.} = m(р-ра)_{нач.} - \Delta m(пластинки) - m(H_2)$

$m(р-ра)_{кон.} = 59,8~г - (-3,34~г) - 0,1212~г = 59,8 + 3,34 - 0,1212 = 63,0188~г \approx 63,02~г$

Массовая доля $FeCl_2$ в конечном растворе:

$w(FeCl_2) = \frac{m(FeCl_2)}{m(р-ра)_{кон.}} \cdot 100\% = \frac{11,57~г}{63,02~г} \cdot 100\% \approx 18,36\%$

Ответ: Качественный состав раствора в стакане после окончания эксперимента: хлорид железа(II), соляная кислота, вода ($FeCl_2, HCl, H_2O$). Массовая доля соли железа ($FeCl_2$) в этом растворе составляет 18,4 %.

Помогло решение? Оставьте отзыв в комментариях ниже.

Присоединяйтесь к Телеграм-группе @gdz_by_belarus

Присоединиться

Мы подготовили для вас ответ c подробным объяснением домашего задания по химии за 11 класс, для упражнения номер 1460 расположенного на странице 226 к сборнику задач 2023 года издания для учащихся школ и гимназий.

Теперь на нашем сайте ГДЗ.ТОП вы всегда легко и бесплатно найдёте условие с правильным ответом на вопрос «Как решить ДЗ» и «Как сделать» задание по химии к упражнению №1460 (с. 226), авторов: Хвалюк (Виктор Николаевич), Резяпкин (Виктор Ильич), учебного пособия издательства Адукацыя i выхаванне.