Номер 415, страница 64 - гдз по химии 11 класс сборник задач Хвалюк, Резяпкин

Химия, 11 класс Сборник задач, авторы: Хвалюк Виктор Николаевич, Резяпкин Виктор Ильич, издательство Адукацыя i выхаванне, Минск, 2023, зелёного цвета

Авторы: Хвалюк В. Н., Резяпкин В. И.

Тип: Сборник задач

Издательство: Адукацыя i выхаванне

Год издания: 2023 - 2026

Цвет обложки: зелёный, голубой с колбами

ISBN: 978-985-599-534-1

Допущено Министерством образования Республики Беларусь

Популярные ГДЗ в 11 классе

Глава 3. Химическая связь и строение вещества. Параграф 15. Валентность и степень окисления - номер 415, страница 64.

№415 (с. 64)
Условие. №415 (с. 64)
скриншот условия
Химия, 11 класс Сборник задач, авторы: Хвалюк Виктор Николаевич, Резяпкин Виктор Ильич, издательство Адукацыя i выхаванне, Минск, 2023, зелёного цвета, страница 64, номер 415, Условие

415. Определите степень окисления всех атомов в органических соединениях:

а) этин;

б) бутадиен-1,3;

в) циклобутен;

г) 1,2-диметилциклобутан;

д) этанол;

е) фенол;

ж) этаналь;

з) этановая кислота;

и) метиламин;

к) глюкоза;

л) глицерин;

м) 3-аминобутановая кислота.

Решение. №415 (с. 64)
Химия, 11 класс Сборник задач, авторы: Хвалюк Виктор Николаевич, Резяпкин Виктор Ильич, издательство Адукацыя i выхаванне, Минск, 2023, зелёного цвета, страница 64, номер 415, Решение Химия, 11 класс Сборник задач, авторы: Хвалюк Виктор Николаевич, Резяпкин Виктор Ильич, издательство Адукацыя i выхаванне, Минск, 2023, зелёного цвета, страница 64, номер 415, Решение (продолжение 2)
Решение 3. №415 (с. 64)

Для определения степени окисления (с.о.) атомов в органических соединениях будем использовать следующие правила:

  • Сумма степеней окисления всех атомов в нейтральной молекуле равна нулю.
  • Степень окисления водорода (H), связанного с неметаллами (C, O, N), принимается равной +1.
  • Степень окисления кислорода (O) в большинстве соединений равна -2.
  • Связь C-C не влияет на степень окисления атомов углерода.
  • При расчете с.о. конкретного атома углерода учитываются только гетероатомы и атомы водорода, с которыми он связан. Связь с более электроотрицательным атомом (O, N) увеличивает с.о. углерода на число связей. Связь с менее электроотрицательным атомом (H) уменьшает с.о. углерода на число связей.
а) этан

Решение:

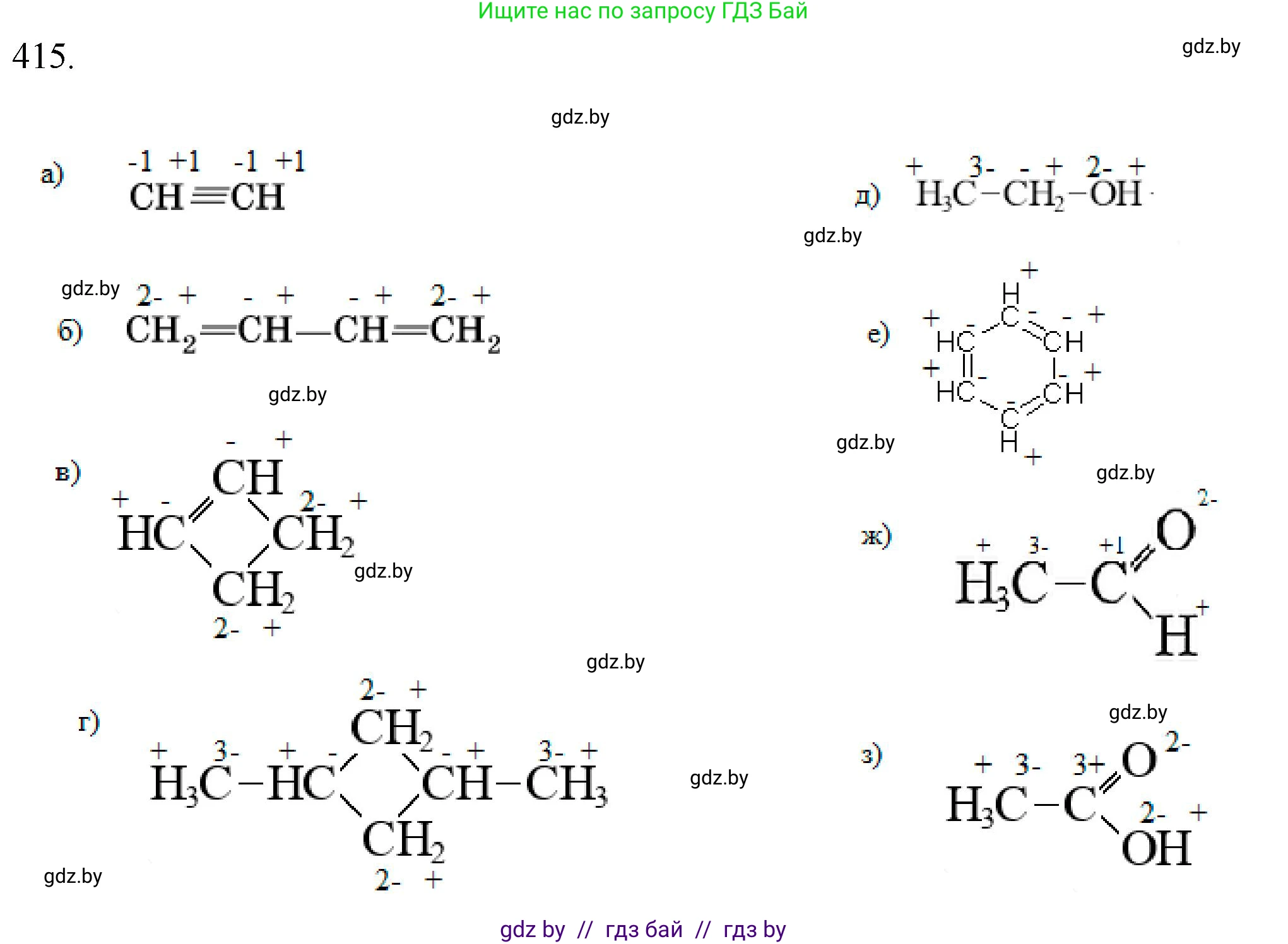
Структурная формула этина (ацетилена): $H-C\equiv C-H$. Каждый атом углерода связан с одним атомом водорода и с другим атомом углерода. Связь C≡C не вносит вклад в с.о. отдельного атома углерода. Так как углерод более электроотрицателен, чем водород, каждая связь C-H дает вклад -1 в с.о. углерода. Следовательно, с.о. каждого атома углерода равна -1. С.о. водорода +1. Проверка: $2 \times (-1) + 2 \times (+1) = 0$.

Ответ: Степень окисления углерода (C) равна -1, водорода (H) равна +1.

б) бутадиен-1,3

Решение:

Структурная формула бутадиена-1,3: $\stackrel{1}{C}H_2=\stackrel{2}{C}H-\stackrel{3}{C}H=\stackrel{4}{C}H_2$.

Атомы C1 и C4 (группы $CH_2$): каждый связан с двумя атомами H. С.о. = $2 \times (-1) = -2$.

Атомы C2 и C3 (группы $CH$): каждый связан с одним атомом H. С.о. = $1 \times (-1) = -1$.

С.о. всех атомов водорода (H) равна +1.

Проверка: $2 \times (-2) + 2 \times (-1) + 6 \times (+1) = -4 - 2 + 6 = 0$.

Ответ: С.о. атомов C1 и C4 равна -2; с.о. атомов C2 и C3 равна -1; с.о. водорода (H) равна +1.

в) циклобутен

Решение:

Структура циклобутена представляет собой четырехчленный цикл с одной двойной связью. В нем есть две группы $CH$ у двойной связи и две группы $CH_2$.

Атомы углерода в группах $CH$ (при двойной связи): каждый связан с одним атомом H. С.о. = $1 \times (-1) = -1$.

Атомы углерода в группах $CH_2$: каждый связан с двумя атомами H. С.о. = $2 \times (-1) = -2$.

С.о. всех атомов водорода (H) равна +1.

Проверка: $2 \times (-1) + 2 \times (-2) + 6 \times (+1) = -2 - 4 + 6 = 0$.

Ответ: С.о. двух атомов углерода при двойной связи равна -1; с.о. двух других атомов углерода в цикле равна -2; с.о. водорода (H) равна +1.

г) 1,2-диметилциклобутан

Решение:

В молекуле есть циклобутановый цикл и две метильные группы ($CH_3$) у соседних атомов C1 и C2.

Атомы углерода в метильных группах ($CH_3$): каждый связан с тремя атомами H. С.о. = $3 \times (-1) = -3$.

Атомы углерода C1 и C2 в цикле (группы $CH$): каждый связан с одним атомом H. С.о. = $1 \times (-1) = -1$.

Атомы углерода C3 и C4 в цикле (группы $CH_2$): каждый связан с двумя атомами H. С.о. = $2 \times (-1) = -2$.

С.о. всех атомов водорода (H) равна +1.

Проверка: $2 \times (-3) + 2 \times (-1) + 2 \times (-2) + 12 \times (+1) = -6 - 2 - 4 + 12 = 0$.

Ответ: С.о. атомов углерода в метильных группах равна -3; с.о. атомов углерода C1 и C2 в цикле равна -1; с.о. атомов углерода C3 и C4 в цикле равна -2; с.о. водорода (H) равна +1.

д) этанол

Решение:

Структурная формула этанола: $\stackrel{-3}{C}H_3-\stackrel{-1}{C}H_2-OH$.

Атом углерода в группе $CH_3$: связан с тремя атомами H. С.о. = $3 \times (-1) = -3$.

Атом углерода в группе $CH_2OH$: связан с двумя атомами H (вклад -2) и одним атомом O (вклад +1). С.о. = $-2 + 1 = -1$.

С.о. кислорода (O) равна -2. С.о. водорода (H) равна +1.

Проверка: $(-3) + (-1) + (-2) + 6 \times (+1) = -6 + 6 = 0$.

Ответ: В группе $CH_3$ с.о. углерода равна -3; в группе $CH_2OH$ с.о. углерода равна -1; с.о. кислорода (O) равна -2; с.о. водорода (H) равна +1.

е) фенол

Решение:

Структурная формула фенола: $C_6H_5OH$.

Атом углерода, связанный с группой -OH: не имеет связей с H, но имеет одну связь с O. С.о. = +1.

Пять других атомов углерода в бензольном кольце: каждый связан с одним атомом H. С.о. = $1 \times (-1) = -1$.

С.о. кислорода (O) равна -2. С.о. водорода (H) равна +1.

Проверка: $(+1) + 5 \times (-1) + (-2) + 6 \times (+1) = 1 - 5 - 2 + 6 = 0$.

Ответ: С.о. углерода, связанного с гидроксильной группой, равна +1; с.о. остальных пяти атомов углерода в кольце равна -1; с.о. кислорода (O) равна -2; с.о. водорода (H) равна +1.

ж) этаналь

Решение:

Структурная формула этаналя (уксусного альдегида): $\stackrel{-3}{C}H_3-\stackrel{+1}{C}HO$.

Атом углерода в метильной группе ($CH_3$): связан с тремя атомами H. С.о. = $3 \times (-1) = -3$.

Атом углерода в альдегидной группе ($CHO$): связан с одним атомом H (вклад -1) и двойной связью с атомом O (вклад +2). С.о. = $-1 + 2 = +1$.

С.о. кислорода (O) равна -2. С.о. водорода (H) равна +1.

Проверка: $(-3) + (+1) + (-2) + 4 \times (+1) = -4 + 4 = 0$.

Ответ: В группе $CH_3$ с.о. углерода равна -3; в группе $CHO$ с.о. углерода равна +1; с.о. кислорода (O) равна -2; с.о. водорода (H) равна +1.

з) этановая кислота

Решение:

Структурная формула этановой (уксусной) кислоты: $\stackrel{-3}{C}H_3-\stackrel{+3}{C}OOH$.

Атом углерода в метильной группе ($CH_3$): связан с тремя атомами H. С.о. = $3 \times (-1) = -3$.

Атом углерода в карбоксильной группе ($COOH$): связан с одним атомом O через двойную связь (вклад +2) и с другим атомом O через одинарную связь (вклад +1). С.о. = $+2 + 1 = +3$.

С.о. каждого из двух атомов кислорода (O) равна -2. С.о. водорода (H) равна +1.

Проверка: $(-3) + (+3) + 2 \times (-2) + 4 \times (+1) = 0 - 4 + 4 = 0$.

Ответ: В группе $CH_3$ с.о. углерода равна -3; в группе $COOH$ с.о. углерода равна +3; с.о. кислорода (O) равна -2; с.о. водорода (H) равна +1.

и) метиламин

Решение:

Структурная формула метиламина: $\stackrel{-2}{C}H_3\stackrel{-3}{N}H_2$.

Атом углерода: связан с тремя атомами H (вклад -3) и одним атомом N (вклад +1, так как N более электроотрицателен, чем C). С.о. = $-3 + 1 = -2$.

Атом азота: связан с одним атомом C (вклад -1) и двумя атомами H (вклад -2). С.о. = $-1 - 2 = -3$.

С.о. водорода (H) равна +1.

Проверка: $(-2) + (-3) + 5 \times (+1) = -5 + 5 = 0$.

Ответ: С.о. углерода (C) равна -2; с.о. азота (N) равна -3; с.о. водорода (H) равна +1.

к) глюкоза

Решение:

Рассмотрим ациклическую (альдегидную) форму глюкозы: $\stackrel{1}{C}HO-(\stackrel{2}{C}HOH)-(\stackrel{3}{C}HOH)-(\stackrel{4}{C}HOH)-(\stackrel{5}{C}HOH)-\stackrel{6}{C}H_2OH$.

C1 (альдегидная группа $CHO$): связан с 1 H (вклад -1) и с 1 O (двойная связь, вклад +2). С.о. = $-1 + 2 = +1$.

C2, C3, C4, C5 (группы $CHOH$): каждый связан с 1 H (вклад -1) и 1 O (вклад +1). С.о. = $-1 + 1 = 0$.

C6 (группа $CH_2OH$): связан с 2 H (вклад -2) и 1 O (вклад +1). С.о. = $-2 + 1 = -1$.

С.о. каждого из шести атомов кислорода (O) равна -2. С.о. каждого из двенадцати атомов водорода (H) равна +1.

Проверка: $(+1) + 4 \times (0) + (-1) + 6 \times (-2) + 12 \times (+1) = 0 - 12 + 12 = 0$.

Ответ: С.о. C1=+1; с.о. C2, C3, C4, C5=0; с.о. C6=-1; с.о. кислорода (O) = -2; с.о. водорода (H) = +1.

л) глицерин

Решение:

Структурная формула глицерина (пропантриол-1,2,3): $\stackrel{1}{C}H_2(OH)-\stackrel{2}{C}H(OH)-\stackrel{3}{C}H_2(OH)$.

C1 и C3 (первичные спиртовые группы $CH_2OH$): каждый связан с 2 H (вклад -2) и 1 O (вклад +1). С.о. = $-2 + 1 = -1$.

C2 (вторичная спиртовая группа $CHOH$): связан с 1 H (вклад -1) и 1 O (вклад +1). С.о. = $-1 + 1 = 0$.

С.о. каждого из трех атомов кислорода (O) равна -2. С.о. каждого из восьми атомов водорода (H) равна +1.

Проверка: $2 \times (-1) + 0 + 3 \times (-2) + 8 \times (+1) = -2 - 6 + 8 = 0$.

Ответ: С.о. атомов углерода C1 и C3 равна -1; с.о. атома углерода C2 равна 0; с.о. кислорода (O) равна -2; с.о. водорода (H) равна +1.

м) 3-аминобутановая кислота

Решение:

Структурная формула: $\stackrel{4}{C}H_3-\stackrel{3}{C}H(NH_2)-\stackrel{2}{C}H_2-\stackrel{1}{C}OOH$.

C1 (карбоксильная группа $COOH$): связан с двумя O (вклады +2 и +1). С.о. = $+3$.

C2 (метиленовая группа $CH_2$): связан с двумя H. С.о. = $2 \times (-1) = -2$.

C3 (группа $CH(NH_2)$): связан с 1 H (вклад -1) и 1 N (вклад +1). С.о. = $-1 + 1 = 0$.

C4 (метильная группа $CH_3$): связан с тремя H. С.о. = $3 \times (-1) = -3$.

Атом азота (N) в аминогруппе $NH_2$: связан с 1 C (вклад -1) и 2 H (вклад -2). С.о. = $-1 - 2 = -3$.

С.о. кислорода (O) равна -2. С.о. водорода (H) равна +1.

Проверка: $(+3) + (-2) + 0 + (-3) + (-3) + 2 \times (-2) + 9 \times (+1) = -5 - 4 + 9 = 0$.

Ответ: С.о. C1=+3; C2=-2; C3=0; C4=-3; с.о. азота (N)=-3; с.о. кислорода (O)=-2; с.о. водорода (H)=+1.

Помогло решение? Оставьте отзыв в комментариях ниже.

Присоединяйтесь к Телеграм-группе @gdz_by_belarus

Присоединиться

Мы подготовили для вас ответ c подробным объяснением домашего задания по химии за 11 класс, для упражнения номер 415 расположенного на странице 64 к сборнику задач 2023 года издания для учащихся школ и гимназий.

Теперь на нашем сайте ГДЗ.ТОП вы всегда легко и бесплатно найдёте условие с правильным ответом на вопрос «Как решить ДЗ» и «Как сделать» задание по химии к упражнению №415 (с. 64), авторов: Хвалюк (Виктор Николаевич), Резяпкин (Виктор Ильич), учебного пособия издательства Адукацыя i выхаванне.