Номер 810, страница 132 - гдз по химии 11 класс сборник задач Хвалюк, Резяпкин

Химия, 11 класс Сборник задач, авторы: Хвалюк Виктор Николаевич, Резяпкин Виктор Ильич, издательство Адукацыя i выхаванне, Минск, 2023, зелёного цвета

Авторы: Хвалюк В. Н., Резяпкин В. И.

Тип: Сборник задач

Издательство: Адукацыя i выхаванне

Год издания: 2023 - 2026

Цвет обложки: зелёный, голубой с колбами

ISBN: 978-985-599-534-1

Допущено Министерством образования Республики Беларусь

Популярные ГДЗ в 11 классе

Глава 6. Неметаллы. Параграф 29. Водород - номер 810, страница 132.

№810 (с. 132)
Условие. №810 (с. 132)
скриншот условия
Химия, 11 класс Сборник задач, авторы: Хвалюк Виктор Николаевич, Резяпкин Виктор Ильич, издательство Адукацыя i выхаванне, Минск, 2023, зелёного цвета, страница 132, номер 810, Условие

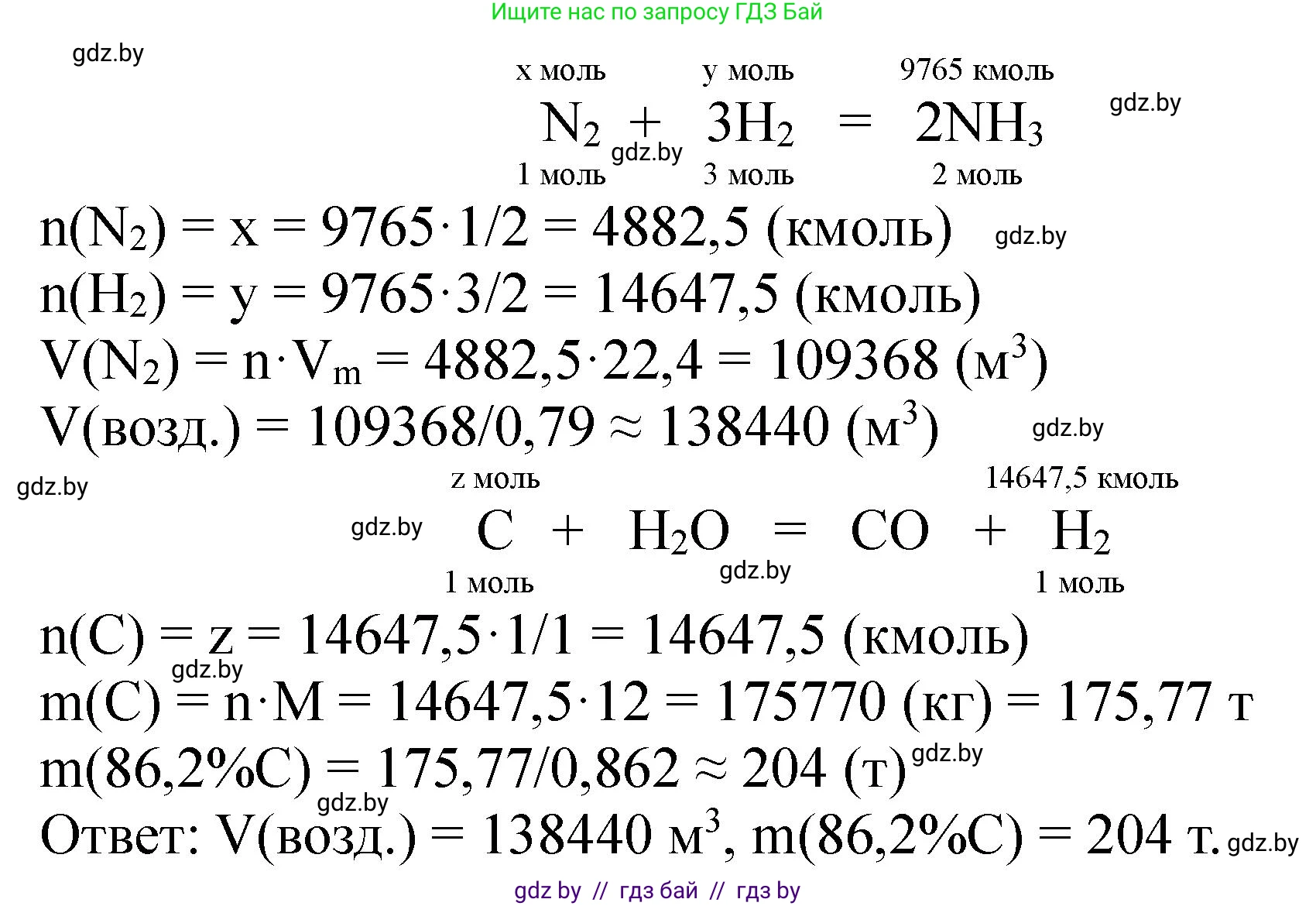
810. Водород, необходимый для промышленного синтеза аммиака, можно получить, пропуская пары воды над нагретым коксом, а азот — из воздуха. Рассчитайте, какая масса кокса с массовой долей углерода 86,2 % и какой объём (н. у.) воздуха (79 % $N_2$ по объёму) необходимы для синтеза 166 т аммиака.

Решение. №810 (с. 132)
Химия, 11 класс Сборник задач, авторы: Хвалюк Виктор Николаевич, Резяпкин Виктор Ильич, издательство Адукацыя i выхаванне, Минск, 2023, зелёного цвета, страница 132, номер 810, Решение Химия, 11 класс Сборник задач, авторы: Хвалюк Виктор Николаевич, Резяпкин Виктор Ильич, издательство Адукацыя i выхаванне, Минск, 2023, зелёного цвета, страница 132, номер 810, Решение (продолжение 2)
Решение 3. №810 (с. 132)

Дано:

$m(NH_3) = 166 \text{ т}$

$\omega(C)_{\text{в коксе}} = 86,2 \%$

$\phi(N_2)_{\text{в воздухе}} = 79 \%$

Условия: нормальные (н. у.)

$m(NH_3) = 166 \text{ т} = 166 \cdot 10^3 \text{ кг}$

$\omega(C) = 0,862$

$\phi(N_2) = 0,79$

Найти:

$m(\text{кокса}) - ?$

$V(\text{воздуха}) - ?$

Решение:

1. Запишем уравнения химических реакций, лежащих в основе процесса.

а) Синтез аммиака:

$N_2 + 3H_2 \rightarrow 2NH_3$

б) Получение водорода пропусканием водяного пара над раскаленным коксом (углеродом):

$C + H_2O \xrightarrow{t^\circ} CO + H_2$

2. Рассчитаем количество вещества аммиака ($NH_3$), которое необходимо получить.

Молярная масса аммиака: $M(NH_3) = 14 + 3 \cdot 1 = 17 \text{ г/моль} = 17 \text{ кг/кмоль}$.

Количество вещества аммиака:

$\nu(NH_3) = \frac{m(NH_3)}{M(NH_3)} = \frac{166 \cdot 10^3 \text{ кг}}{17 \text{ кг/кмоль}} \approx 9764,7 \text{ кмоль}$

3. По уравнению синтеза аммиака определим необходимые количества веществ исходных реагентов: азота ($N_2$) и водорода ($H_2$).

Согласно стехиометрическим коэффициентам в уравнении реакции:

$\nu(N_2) = \frac{1}{2} \nu(NH_3) = \frac{1}{2} \cdot 9764,7 \text{ кмоль} \approx 4882,35 \text{ кмоль}$

$\nu(H_2) = \frac{3}{2} \nu(NH_3) = \frac{3}{2} \cdot 9764,7 \text{ кмоль} \approx 14647,05 \text{ кмоль}$

4. Рассчитаем объем воздуха, из которого можно получить необходимое количество азота.

Объем чистого азота при нормальных условиях (молярный объем газа $V_m = 22,4 \text{ м}^3/\text{кмоль}$):

$V(N_2) = \nu(N_2) \cdot V_m = 4882,35 \text{ кмоль} \cdot 22,4 \frac{\text{м}^3}{\text{кмоль}} \approx 109364,64 \text{ м}^3$

Учитывая, что объемная доля азота в воздухе составляет 79%, находим общий объем воздуха:

$V(\text{воздуха}) = \frac{V(N_2)}{\phi(N_2)} = \frac{109364,64 \text{ м}^3}{0,79} \approx 138436,25 \text{ м}^3$

5. Рассчитаем массу кокса, требуемую для производства необходимого количества водорода.

Из уравнения получения водорода следует, что $\nu(C) = \nu(H_2)$.

$\nu(C) = 14647,05 \text{ кмоль}$

Рассчитаем массу чистого углерода (молярная масса $M(C) = 12 \text{ кг/кмоль}$):

$m(C) = \nu(C) \cdot M(C) = 14647,05 \text{ кмоль} \cdot 12 \frac{\text{кг}}{\text{кмоль}} \approx 175764,6 \text{ кг}$

Данная масса углерода содержится в коксе, где массовая доля углерода равна 86,2%. Найдем общую массу кокса:

$m(\text{кокса}) = \frac{m(C)}{\omega(C)} = \frac{175764,6 \text{ кг}}{0,862} \approx 203903,2 \text{ кг}$

Переведем массу кокса в тонны:

$m(\text{кокса}) = \frac{203903,2 \text{ кг}}{1000} \approx 203,9 \text{ т}$

Ответ: для синтеза 166 т аммиака необходимо ≈203,9 т кокса и ≈138436 м³ воздуха (н. у.).

Помогло решение? Оставьте отзыв в комментариях ниже.

Присоединяйтесь к Телеграм-группе @gdz_by_belarus

Присоединиться

Мы подготовили для вас ответ c подробным объяснением домашего задания по химии за 11 класс, для упражнения номер 810 расположенного на странице 132 к сборнику задач 2023 года издания для учащихся школ и гимназий.

Теперь на нашем сайте ГДЗ.ТОП вы всегда легко и бесплатно найдёте условие с правильным ответом на вопрос «Как решить ДЗ» и «Как сделать» задание по химии к упражнению №810 (с. 132), авторов: Хвалюк (Виктор Николаевич), Резяпкин (Виктор Ильич), учебного пособия издательства Адукацыя i выхаванне.