Номер 886, страница 143 - гдз по химии 11 класс сборник задач Хвалюк, Резяпкин

Химия, 11 класс Сборник задач, авторы: Хвалюк Виктор Николаевич, Резяпкин Виктор Ильич, издательство Адукацыя i выхаванне, Минск, 2023, зелёного цвета

Авторы: Хвалюк В. Н., Резяпкин В. И.

Тип: Сборник задач

Издательство: Адукацыя i выхаванне

Год издания: 2023 - 2026

Цвет обложки: зелёный, голубой с колбами

ISBN: 978-985-599-534-1

Допущено Министерством образования Республики Беларусь

Популярные ГДЗ в 11 классе

Глава 6. Неметаллы. Параграф 31. Соединения галогенов - номер 886, страница 143.

№886 (с. 143)
Условие. №886 (с. 143)
скриншот условия
Химия, 11 класс Сборник задач, авторы: Хвалюк Виктор Николаевич, Резяпкин Виктор Ильич, издательство Адукацыя i выхаванне, Минск, 2023, зелёного цвета, страница 143, номер 886, Условие Химия, 11 класс Сборник задач, авторы: Хвалюк Виктор Николаевич, Резяпкин Виктор Ильич, издательство Адукацыя i выхаванне, Минск, 2023, зелёного цвета, страница 143, номер 886, Условие (продолжение 2)

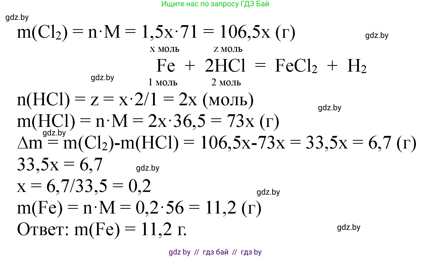
886. *Образец железа прореагировал с избытком хлора. Такой же образец железа прореагировал с избытком соляной кислоты. Оказалось, что масса хлора, вступившего в реакцию, больше массы прореагировавшего хлороводорода на 6,70 г. Рассчитайте массу железа в образце.

Решение. №886 (с. 143)
Химия, 11 класс Сборник задач, авторы: Хвалюк Виктор Николаевич, Резяпкин Виктор Ильич, издательство Адукацыя i выхаванне, Минск, 2023, зелёного цвета, страница 143, номер 886, Решение Химия, 11 класс Сборник задач, авторы: Хвалюк Виктор Николаевич, Резяпкин Виктор Ильич, издательство Адукацыя i выхаванне, Минск, 2023, зелёного цвета, страница 143, номер 886, Решение (продолжение 2)
Решение 3. №886 (с. 143)

Дано:

$m(\text{Cl}_2) - m(\text{HCl}) = 6,70 \text{ г}$

Найти:

$m(\text{Fe})$ - ?

Решение:

Запишем уравнения химических реакций, описанных в условии задачи. В первом случае образец железа реагирует с избытком хлора. Хлор — сильный окислитель, поэтому железо окисляется до степени окисления +3:

$2\text{Fe} + 3\text{Cl}_2 \rightarrow 2\text{FeCl}_3$ (1)

Во втором случае такой же образец железа реагирует с избытком соляной кислоты. Соляная кислота, не являясь кислотой-окислителем, окисляет железо до степени окисления +2:

$\text{Fe} + 2\text{HCl} \rightarrow \text{FeCl}_2 + \text{H}_2\uparrow$ (2)

Поскольку в обоих случаях реагирует "такой же образец железа", количество вещества железа ($n(\text{Fe})$) в обеих реакциях одинаково. Обозначим количество вещества железа как $x$ моль.

$n(\text{Fe}) = x \text{ моль}$

Рассчитаем молярные массы веществ, участвующих в расчетах:

$M(\text{Fe}) = 56 \text{ г/моль}$

$M(\text{Cl}_2) = 2 \cdot 35,5 = 71 \text{ г/моль}$

$M(\text{HCl}) = 1 + 35,5 = 36,5 \text{ г/моль}$

Из уравнения реакции (1) найдем количество вещества хлора, которое прореагировало с $x$ моль железа. Согласно стехиометрическим коэффициентам:

$n(\text{Cl}_2) = \frac{3}{2} n(\text{Fe}) = 1,5x \text{ моль}$

Масса прореагировавшего хлора:

$m(\text{Cl}_2) = n(\text{Cl}_2) \cdot M(\text{Cl}_2) = 1,5x \cdot 71 = 106,5x \text{ г}$

Из уравнения реакции (2) найдем количество вещества хлороводорода, которое прореагировало с $x$ моль железа:

$n(\text{HCl}) = 2 \cdot n(\text{Fe}) = 2x \text{ моль}$

Масса прореагировавшего хлороводорода:

$m(\text{HCl}) = n(\text{HCl}) \cdot M(\text{HCl}) = 2x \cdot 36,5 = 73x \text{ г}$

По условию задачи, масса хлора на 6,70 г больше массы хлороводорода. Составим уравнение:

$m(\text{Cl}_2) - m(\text{HCl}) = 6,70$

$106,5x - 73x = 6,70$

Решим уравнение относительно $x$:

$33,5x = 6,70$

$x = \frac{6,70}{33,5} = 0,2 \text{ моль}$

Таким образом, количество вещества железа в образце равно 0,2 моль. Теперь найдем массу железа:

$m(\text{Fe}) = n(\text{Fe}) \cdot M(\text{Fe}) = 0,2 \text{ моль} \cdot 56 \text{ г/моль} = 11,2 \text{ г}$

Ответ: масса железа в образце равна 11,2 г.

Помогло решение? Оставьте отзыв в комментариях ниже.

Присоединяйтесь к Телеграм-группе @gdz_by_belarus

Присоединиться

Мы подготовили для вас ответ c подробным объяснением домашего задания по химии за 11 класс, для упражнения номер 886 расположенного на странице 143 к сборнику задач 2023 года издания для учащихся школ и гимназий.

Теперь на нашем сайте ГДЗ.ТОП вы всегда легко и бесплатно найдёте условие с правильным ответом на вопрос «Как решить ДЗ» и «Как сделать» задание по химии к упражнению №886 (с. 143), авторов: Хвалюк (Виктор Николаевич), Резяпкин (Виктор Ильич), учебного пособия издательства Адукацыя i выхаванне.