Номер 32.45, страница 157 - гдз по алгебре 7-9 класс сборник задач Арефьева, Пирютко

Алгебра, 7-9 класс Сборник задач, авторы: Арефьева Ирина Глебовна, Пирютко Ольга Николаевна, издательство Народная асвета, Минск, 2020

Авторы: Арефьева И. Г., Пирютко О. Н.

Тип: Сборник задач

Издательство: Народная асвета

Год издания: 2020 - 2026

Цвет обложки: синий с графиками

Допущено Министерством образования Республики Беларусь

Популярные ГДЗ в 7 классе

9 класс. Параграф 32. Рациональная дробь. Сокращение рациональных дробей - номер 32.45, страница 157.

№32.45 (с. 157)
Условие. №32.45 (с. 157)
скриншот условия
Алгебра, 7-9 класс Сборник задач, авторы: Арефьева Ирина Глебовна, Пирютко Ольга Николаевна, издательство Народная асвета, Минск, 2020, страница 157, номер 32.45, Условие

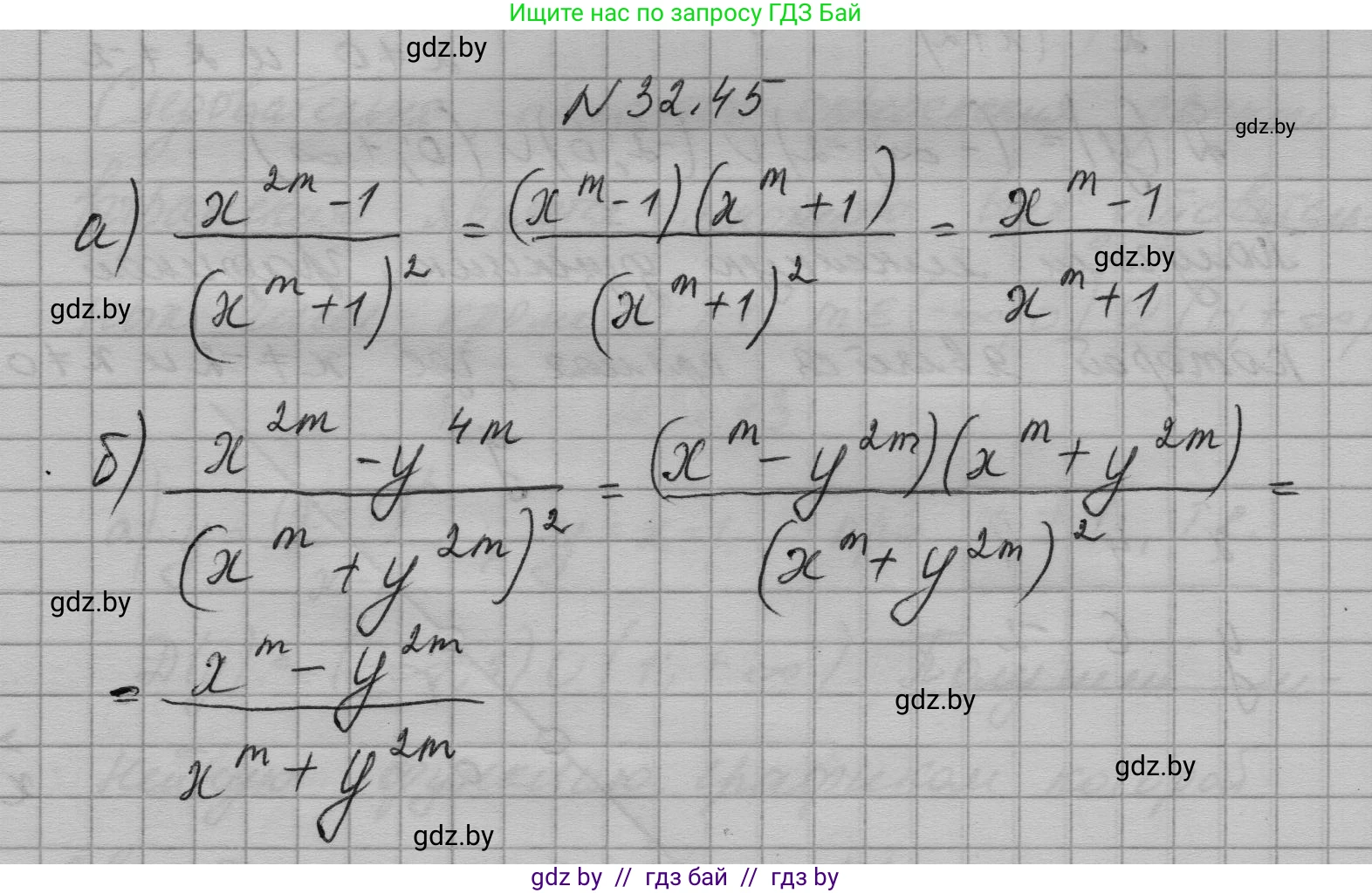
32.45*. Сократите дробь $(m \in N)$, используя формулы сокращенного умножения:

a) $\frac{x^{2m}-1}{(x^m+1)^2}$;

б) $\frac{x^{2m}-y^{4m}}{(x^m+y^{2m})^2}$.

Решение. №32.45 (с. 157)
Алгебра, 7-9 класс Сборник задач, авторы: Арефьева Ирина Глебовна, Пирютко Ольга Николаевна, издательство Народная асвета, Минск, 2020, страница 157, номер 32.45, Решение
Решение 2. №32.45 (с. 157)

а) Рассмотрим дробь $\frac{x^{2m} - 1}{(x^m + 1)^2}$.
Числитель этой дроби, $x^{2m} - 1$, можно представить в виде разности квадратов. Используя свойство степеней $(a^n)^k = a^{nk}$, получим $x^{2m} = (x^m)^2$. Таким образом, числитель принимает вид $(x^m)^2 - 1^2$.
Применим формулу сокращенного умножения для разности квадратов: $a^2 - b^2 = (a - b)(a + b)$. В нашем случае $a = x^m$ и $b = 1$.
Следовательно, числитель можно разложить на множители: $x^{2m} - 1 = (x^m - 1)(x^m + 1)$.
Теперь подставим разложенный числитель обратно в исходную дробь:
$\frac{(x^m - 1)(x^m + 1)}{(x^m + 1)^2}$
Знаменатель $(x^m + 1)^2$ равен произведению $(x^m + 1)(x^m + 1)$. Сократим общий множитель $(x^m + 1)$ в числителе и знаменателе (при условии, что $x^m + 1 \neq 0$):
$\frac{(x^m - 1)\cancel{(x^m + 1)}}{\cancel{(x^m + 1)}(x^m + 1)} = \frac{x^m - 1}{x^m + 1}$
Ответ: $\frac{x^m - 1}{x^m + 1}$

б) Рассмотрим дробь $\frac{x^{2m} - y^{4m}}{(x^m + y^{2m})^2}$.
Числитель дроби, $x^{2m} - y^{4m}$, также является разностью квадратов. Представим его в соответствующем виде, используя свойство степеней: $x^{2m} = (x^m)^2$ и $y^{4m} = (y^{2m})^2$.
Тогда числитель равен $(x^m)^2 - (y^{2m})^2$.
Применим формулу разности квадратов $a^2 - b^2 = (a - b)(a + b)$, где $a = x^m$ и $b = y^{2m}$.
Получаем разложение числителя: $x^{2m} - y^{4m} = (x^m - y^{2m})(x^m + y^{2m})$.
Подставим это выражение в исходную дробь:
$\frac{(x^m - y^{2m})(x^m + y^{2m})}{(x^m + y^{2m})^2}$
Сократим общий множитель $(x^m + y^{2m})$ в числителе и знаменателе (при условии, что $x^m + y^{2m} \neq 0$):
$\frac{(x^m - y^{2m})\cancel{(x^m + y^{2m})}}{\cancel{(x^m + y^{2m})}(x^m + y^{2m})} = \frac{x^m - y^{2m}}{x^m + y^{2m}}$
Ответ: $\frac{x^m - y^{2m}}{x^m + y^{2m}}$

Помогло решение? Оставьте отзыв в комментариях ниже.

Присоединяйтесь к Телеграм-группе @gdz_by_belarus

Присоединиться

Мы подготовили для вас ответ c подробным объяснением домашего задания по алгебре за 7-9 класс, для упражнения номер 32.45 расположенного на странице 157 к сборнику задач 2020 года издания для учащихся школ и гимназий.

Теперь на нашем сайте ГДЗ.ТОП вы всегда легко и бесплатно найдёте условие с правильным ответом на вопрос «Как решить ДЗ» и «Как сделать» задание по алгебре к упражнению №32.45 (с. 157), авторов: Арефьева (Ирина Глебовна), Пирютко (Ольга Николаевна), учебного пособия издательства Народная асвета.