Номер 32.46, страница 157 - гдз по алгебре 7-9 класс сборник задач Арефьева, Пирютко

Алгебра, 7-9 класс Сборник задач, авторы: Арефьева Ирина Глебовна, Пирютко Ольга Николаевна, издательство Народная асвета, Минск, 2020

Авторы: Арефьева И. Г., Пирютко О. Н.

Тип: Сборник задач

Издательство: Народная асвета

Год издания: 2020 - 2026

Цвет обложки: синий с графиками

Допущено Министерством образования Республики Беларусь

9 класс. Параграф 32. Рациональная дробь. Сокращение рациональных дробей - номер 32.46, страница 157.

№32.46 (с. 157)
Условие. №32.46 (с. 157)
скриншот условия
Алгебра, 7-9 класс Сборник задач, авторы: Арефьева Ирина Глебовна, Пирютко Ольга Николаевна, издательство Народная асвета, Минск, 2020, страница 157, номер 32.46, Условие

32.46*. Сократите дробь:

а) $ \frac{x^4 - 15x^2 - 16}{x^4 - 17x^2 + 16} $;

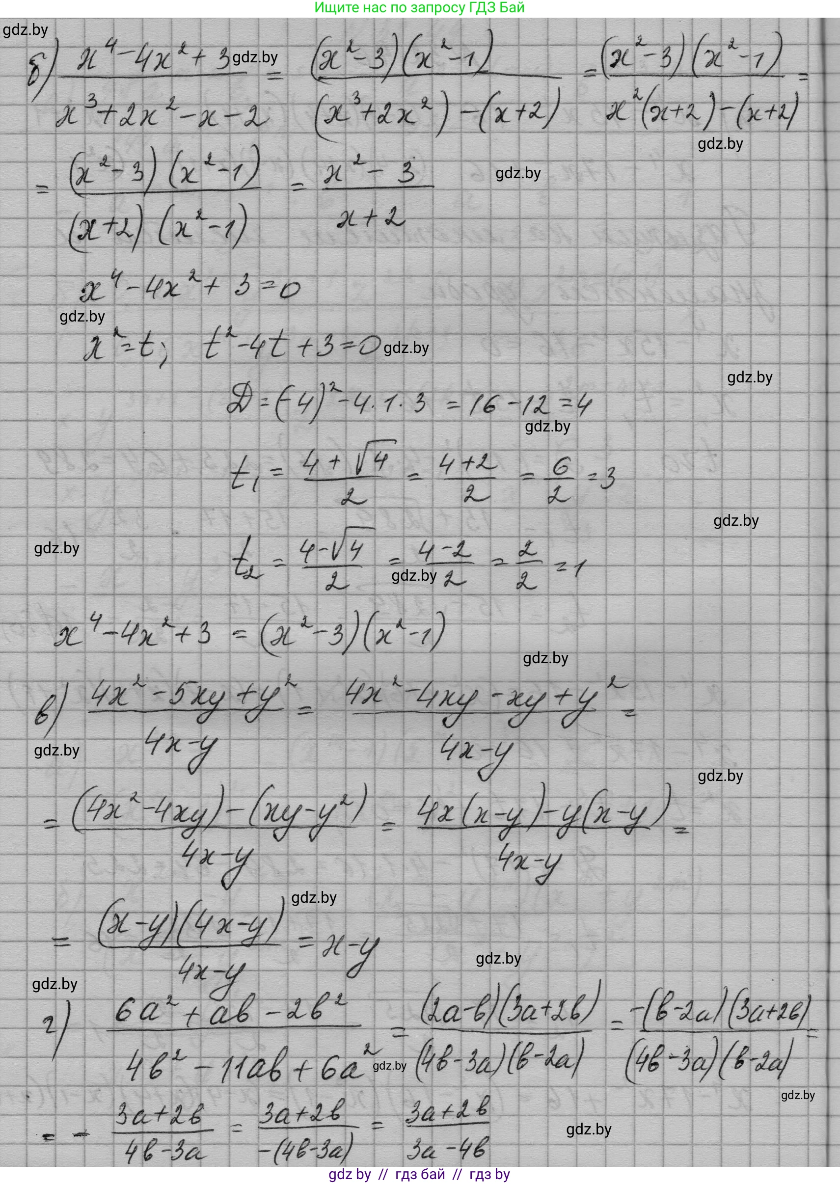
б) $ \frac{x^4 - 4x^2 + 3}{x^3 + 2x^2 - x - 2} $;

В) $ \frac{4x^2 - 5xy + y^2}{4x - y} $;

Г) $ \frac{6a^2 + ab - 2b^2}{4b^2 - 11ab + 6a^2} $.

Решение. №32.46 (с. 157)
Алгебра, 7-9 класс Сборник задач, авторы: Арефьева Ирина Глебовна, Пирютко Ольга Николаевна, издательство Народная асвета, Минск, 2020, страница 157, номер 32.46, Решение Алгебра, 7-9 класс Сборник задач, авторы: Арефьева Ирина Глебовна, Пирютко Ольга Николаевна, издательство Народная асвета, Минск, 2020, страница 157, номер 32.46, Решение (продолжение 2)
Решение 2. №32.46 (с. 157)

а)

Чтобы сократить дробь $\frac{x^4 - 15x^2 - 16}{x^4 - 17x^2 + 16}$, разложим на множители числитель и знаменатель. Оба являются биквадратными трехчленами. Сделаем замену $t = x^2$.

Числитель: $x^4 - 15x^2 - 16 = t^2 - 15t - 16$.
Найдем корни уравнения $t^2 - 15t - 16 = 0$. По теореме Виета, корни $t_1 = 16$ и $t_2 = -1$.
Следовательно, $t^2 - 15t - 16 = (t - 16)(t + 1)$.
Возвращаясь к замене: $(x^2 - 16)(x^2 + 1)$.

Знаменатель: $x^4 - 17x^2 + 16 = t^2 - 17t + 16$.
Найдем корни уравнения $t^2 - 17t + 16 = 0$. По теореме Виета, корни $t_1 = 16$ и $t_2 = 1$.
Следовательно, $t^2 - 17t + 16 = (t - 16)(t - 1)$.
Возвращаясь к замене: $(x^2 - 16)(x^2 - 1)$.

Подставим разложенные выражения в дробь:
$\frac{(x^2 - 16)(x^2 + 1)}{(x^2 - 16)(x^2 - 1)}$

Сокращаем на общий множитель $(x^2 - 16)$ (при условии $x^2 \neq 16$):
$\frac{x^2 + 1}{x^2 - 1}$

Ответ: $\frac{x^2 + 1}{x^2 - 1}$.

б)

Чтобы сократить дробь $\frac{x^4 - 4x^2 + 3}{x^3 + 2x^2 - x - 2}$, разложим на множители числитель и знаменатель.

Числитель: $x^4 - 4x^2 + 3$. Сделаем замену $t = x^2$, получим $t^2 - 4t + 3$.
Корни уравнения $t^2 - 4t + 3 = 0$ равны $t_1 = 1$ и $t_2 = 3$.
Значит, $t^2 - 4t + 3 = (t - 1)(t - 3)$.
Возвращаясь к замене: $(x^2 - 1)(x^2 - 3) = (x - 1)(x + 1)(x^2 - 3)$.

Знаменатель: $x^3 + 2x^2 - x - 2$. Разложим на множители методом группировки:
$x^3 + 2x^2 - x - 2 = (x^3 + 2x^2) - (x + 2) = x^2(x + 2) - 1(x + 2) = (x^2 - 1)(x + 2) = (x - 1)(x + 1)(x + 2)$.

Подставим разложенные выражения в дробь:
$\frac{(x - 1)(x + 1)(x^2 - 3)}{(x - 1)(x + 1)(x + 2)}$

Сокращаем на общие множители $(x - 1)(x + 1)$ (при условии $x \neq \pm1$):
$\frac{x^2 - 3}{x + 2}$

Ответ: $\frac{x^2 - 3}{x + 2}$.

в)

Чтобы сократить дробь $\frac{4x^2 - 5xy + y^2}{4x - y}$, разложим числитель на множители.

Числитель: $4x^2 - 5xy + y^2$. Представим $-5xy$ как $-4xy - xy$ и сгруппируем:
$4x^2 - 4xy - xy + y^2 = (4x^2 - 4xy) - (xy - y^2) = 4x(x - y) - y(x - y) = (4x - y)(x - y)$.

Подставим разложенное выражение в дробь:
$\frac{(4x - y)(x - y)}{4x - y}$

Сокращаем на общий множитель $(4x - y)$ (при условии $4x \neq y$):
$x - y$

Ответ: $x - y$.

г)

Чтобы сократить дробь $\frac{6a^2 + ab - 2b^2}{4b^2 - 11ab + 6a^2}$, разложим на множители числитель и знаменатель.

Числитель: $6a^2 + ab - 2b^2$. Рассмотрим его как квадратный трехчлен относительно $a$. Разложим на множители, представив $ab$ как $4ab - 3ab$:
$6a^2 + 4ab - 3ab - 2b^2 = (6a^2 + 4ab) - (3ab + 2b^2) = 2a(3a + 2b) - b(3a + 2b) = (2a - b)(3a + 2b)$.

Знаменатель: $4b^2 - 11ab + 6a^2$. Перепишем в стандартном виде относительно $a$: $6a^2 - 11ab + 4b^2$.
Рассмотрим его как квадратный трехчлен относительно $a$. Разложим на множители, представив $-11ab$ как $-3ab - 8ab$:
$6a^2 - 3ab - 8ab + 4b^2 = (6a^2 - 3ab) - (8ab - 4b^2) = 3a(2a - b) - 4b(2a - b) = (3a - 4b)(2a - b)$.

Подставим разложенные выражения в дробь:
$\frac{(2a - b)(3a + 2b)}{(3a - 4b)(2a - b)}$

Сокращаем на общий множитель $(2a - b)$ (при условии $2a \neq b$):
$\frac{3a + 2b}{3a - 4b}$

Ответ: $\frac{3a + 2b}{3a - 4b}$.

Помогло решение? Оставьте отзыв в комментариях ниже.

Присоединяйтесь к Телеграм-группе @gdz_by_belarus

Присоединиться

Мы подготовили для вас ответ c подробным объяснением домашего задания по алгебре за 7-9 класс, для упражнения номер 32.46 расположенного на странице 157 к сборнику задач 2020 года издания для учащихся школ и гимназий.

Теперь на нашем сайте ГДЗ.ТОП вы всегда легко и бесплатно найдёте условие с правильным ответом на вопрос «Как решить ДЗ» и «Как сделать» задание по алгебре к упражнению №32.46 (с. 157), авторов: Арефьева (Ирина Глебовна), Пирютко (Ольга Николаевна), учебного пособия издательства Народная асвета.