Номер 33.32, страница 161 - гдз по алгебре 7-9 класс сборник задач Арефьева, Пирютко

Алгебра, 7-9 класс Сборник задач, авторы: Арефьева Ирина Глебовна, Пирютко Ольга Николаевна, издательство Народная асвета, Минск, 2020

Авторы: Арефьева И. Г., Пирютко О. Н.

Тип: Сборник задач

Издательство: Народная асвета

Год издания: 2020 - 2026

Цвет обложки: синий с графиками

Допущено Министерством образования Республики Беларусь

9 класс. Параграф 33. Действия с рациональными дробями - номер 33.32, страница 161.

№33.32 (с. 161)
Условие. №33.32 (с. 161)
скриншот условия
Алгебра, 7-9 класс Сборник задач, авторы: Арефьева Ирина Глебовна, Пирютко Ольга Николаевна, издательство Народная асвета, Минск, 2020, страница 161, номер 33.32, Условие

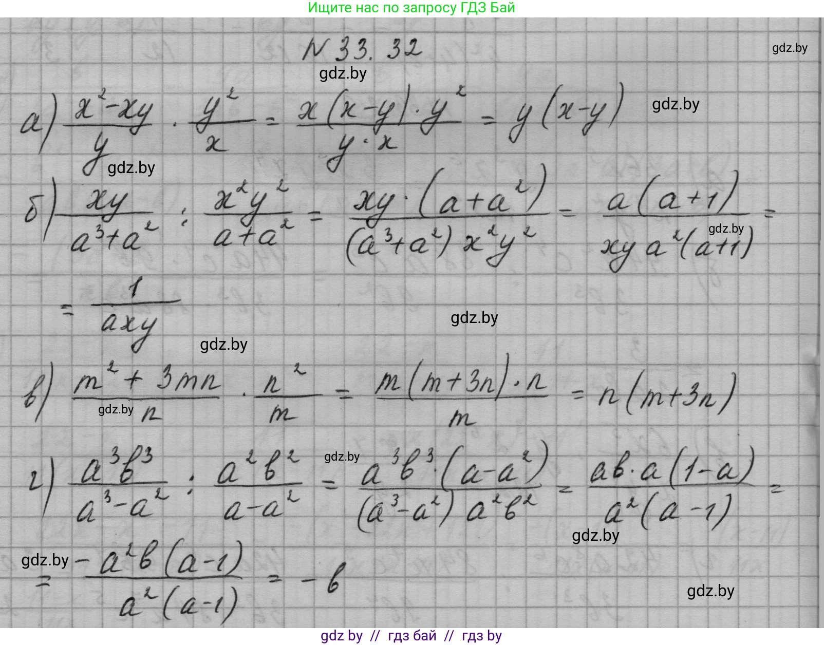
33.32. Выполните действия с рациональными дробями:

а) $ \frac{x^2 - xy}{y} \cdot \frac{y^2}{x} $;

б) $ \frac{xy}{a^3 + a^2} : \frac{x^2 y^2}{a + a^2} $;

В) $ \frac{m^2 + 3mn}{n} \cdot \frac{n^2}{m} $;

Г) $ \frac{a^3 b^3}{a^3 - a^2} : \frac{a^2 b^2}{a - a^2} $.

Решение. №33.32 (с. 161)
Алгебра, 7-9 класс Сборник задач, авторы: Арефьева Ирина Глебовна, Пирютко Ольга Николаевна, издательство Народная асвета, Минск, 2020, страница 161, номер 33.32, Решение
Решение 2. №33.32 (с. 161)

а) Исходное выражение: $ \frac{x^2 - xy}{y} \cdot \frac{y^2}{x} $.
Сначала разложим на множители числитель первой дроби, вынеся общий множитель $x$ за скобки: $x^2 - xy = x(x - y)$.
Подставим полученное выражение обратно в пример: $ \frac{x(x - y)}{y} \cdot \frac{y^2}{x} $.
Теперь выполним умножение дробей, перемножив их числители и знаменатели: $ \frac{x(x - y) \cdot y^2}{y \cdot x} $.
Сократим общие множители $x$ и $y$ в числителе и знаменателе: $ \frac{\cancel{x}(x - y) \cdot y^{\cancel{2}}}{\cancel{y} \cdot \cancel{x}} = (x - y) \cdot y $.
Запишем результат в более удобном виде: $ y(x - y) $.
Ответ: $y(x - y)$.

б) Исходное выражение: $ \frac{xy}{a^3 + a^2} : \frac{x^2y^2}{a + a^2} $.
Деление дробей заменяем на умножение на обратную (перевернутую) дробь: $ \frac{xy}{a^3 + a^2} \cdot \frac{a + a^2}{x^2y^2} $.
Разложим на множители знаменатель первой дроби и числитель второй дроби:
$a^3 + a^2 = a^2(a + 1)$
$a + a^2 = a(1 + a) = a(a + 1)$
Подставим разложенные выражения: $ \frac{xy}{a^2(a + 1)} \cdot \frac{a(a + 1)}{x^2y^2} $.
Перемножим числители и знаменатели: $ \frac{xy \cdot a(a + 1)}{a^2(a + 1) \cdot x^2y^2} $.
Сократим общие множители $x, y, a$ и $(a+1)$: $ \frac{\cancel{x}\cancel{y} \cdot \cancel{a}\cancel{(a + 1)}}{a^{\cancel{2}}(a) \cdot \cancel{(a + 1)} \cdot x^{\cancel{2}}(x) \cdot y^{\cancel{2}}(y)} = \frac{1}{a \cdot x \cdot y} $.
Ответ: $\frac{1}{axy}$.

в) Исходное выражение: $ \frac{m^2 + 3mn}{n} \cdot \frac{n^2}{m} $.
Разложим на множители числитель первой дроби, вынеся общий множитель $m$ за скобки: $m^2 + 3mn = m(m + 3n)$.
Подставим это в исходное выражение: $ \frac{m(m + 3n)}{n} \cdot \frac{n^2}{m} $.
Выполним умножение, перемножив числители и знаменатели: $ \frac{m(m + 3n) \cdot n^2}{n \cdot m} $.
Сократим общие множители $m$ и $n$ в числителе и знаменателе: $ \frac{\cancel{m}(m + 3n) \cdot n^{\cancel{2}}}{\cancel{n} \cdot \cancel{m}} = (m + 3n)n $.
Запишем результат в виде $n(m + 3n)$.
Ответ: $n(m + 3n)$.

г) Исходное выражение: $ \frac{a^3b^3}{a^3 - a^2} : \frac{a^2b^2}{a - a^2} $.
Заменим деление на умножение на обратную дробь: $ \frac{a^3b^3}{a^3 - a^2} \cdot \frac{a - a^2}{a^2b^2} $.
Разложим на множители знаменатели дробей:
$a^3 - a^2 = a^2(a - 1)$
$a - a^2 = a(1 - a) = -a(a - 1)$
Подставим разложенные выражения: $ \frac{a^3b^3}{a^2(a - 1)} \cdot \frac{-a(a - 1)}{a^2b^2} $.
Перемножим дроби: $ \frac{a^3b^3 \cdot (-a(a - 1))}{a^2(a - 1) \cdot a^2b^2} $.
Сгруппируем степени и вынесем знак минус вперед: $ -\frac{a^3 \cdot a \cdot b^3 \cdot (a-1)}{a^2 \cdot a^2 \cdot b^2 \cdot (a-1)} = -\frac{a^4b^3(a-1)}{a^4b^2(a-1)} $.
Сократим общие множители $a^4$, $b^2$ и $(a-1)$: $ -\frac{\cancel{a^4} \cdot b^{\cancel{3}}(b) \cdot \cancel{(a-1)}}{\cancel{a^4} \cdot \cancel{b^2} \cdot \cancel{(a-1)}} = -b $.
Ответ: $-b$.

Помогло решение? Оставьте отзыв в комментариях ниже.

Присоединяйтесь к Телеграм-группе @gdz_by_belarus

Присоединиться

Мы подготовили для вас ответ c подробным объяснением домашего задания по алгебре за 7-9 класс, для упражнения номер 33.32 расположенного на странице 161 к сборнику задач 2020 года издания для учащихся школ и гимназий.

Теперь на нашем сайте ГДЗ.ТОП вы всегда легко и бесплатно найдёте условие с правильным ответом на вопрос «Как решить ДЗ» и «Как сделать» задание по алгебре к упражнению №33.32 (с. 161), авторов: Арефьева (Ирина Глебовна), Пирютко (Ольга Николаевна), учебного пособия издательства Народная асвета.