Номер 33.38, страница 162 - гдз по алгебре 7-9 класс сборник задач Арефьева, Пирютко

Алгебра, 7-9 класс Сборник задач, авторы: Арефьева Ирина Глебовна, Пирютко Ольга Николаевна, издательство Народная асвета, Минск, 2020

Авторы: Арефьева И. Г., Пирютко О. Н.

Тип: Сборник задач

Издательство: Народная асвета

Год издания: 2020 - 2026

Цвет обложки: синий с графиками

Допущено Министерством образования Республики Беларусь

Популярные ГДЗ в 7 классе

9 класс. Параграф 33. Действия с рациональными дробями - номер 33.38, страница 162.

№33.38 (с. 162)
Условие. №33.38 (с. 162)
скриншот условия
Алгебра, 7-9 класс Сборник задач, авторы: Арефьева Ирина Глебовна, Пирютко Ольга Николаевна, издательство Народная асвета, Минск, 2020, страница 162, номер 33.38, Условие

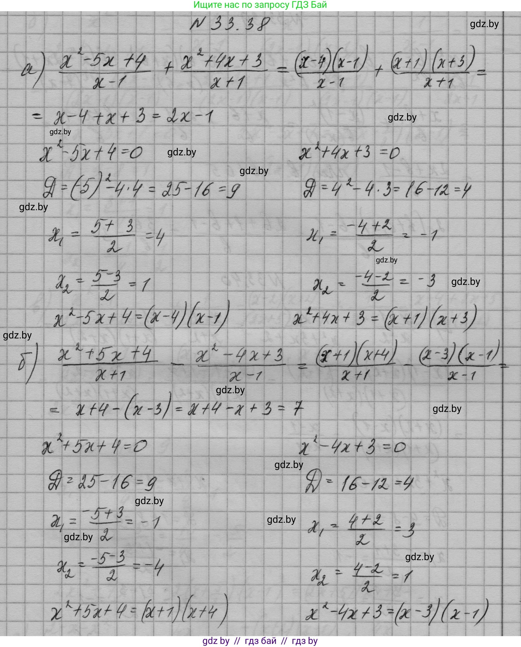
33.38. Выполните сложение рациональных дробей:

а) $ \frac{x^2 - 5x + 4}{x - 1} + \frac{x^2 + 4x + 3}{x + 1} $;

б) $ \frac{x^2 + 5x + 4}{x + 1} - \frac{x^2 - 4x + 3}{x - 1} $.

Решение. №33.38 (с. 162)
Алгебра, 7-9 класс Сборник задач, авторы: Арефьева Ирина Глебовна, Пирютко Ольга Николаевна, издательство Народная асвета, Минск, 2020, страница 162, номер 33.38, Решение
Решение 2. №33.38 (с. 162)

а) $\frac{x^2 - 5x + 4}{x - 1} + \frac{x^2 + 4x + 3}{x + 1}$

Для решения данного примера сначала разложим числители дробей на множители. Чтобы разложить квадратный трехчлен $ax^2 + bx + c$ на множители, нужно найти его корни $x_1$ и $x_2$ и представить его в виде $a(x-x_1)(x-x_2)$.

1. Разложим на множители числитель первой дроби: $x^2 - 5x + 4$.
Найдем корни уравнения $x^2 - 5x + 4 = 0$. По теореме Виета, сумма корней равна 5, а их произведение равно 4. Корнями являются $x_1 = 1$ и $x_2 = 4$.
Следовательно, $x^2 - 5x + 4 = (x - 1)(x - 4)$.

2. Разложим на множители числитель второй дроби: $x^2 + 4x + 3$.
Найдем корни уравнения $x^2 + 4x + 3 = 0$. По теореме Виета, сумма корней равна -4, а их произведение равно 3. Корнями являются $x_1 = -1$ и $x_2 = -3$.
Следовательно, $x^2 + 4x + 3 = (x - (-1))(x - (-3)) = (x + 1)(x + 3)$.

3. Подставим разложенные числители обратно в исходное выражение:

$\frac{(x - 1)(x - 4)}{x - 1} + \frac{(x + 1)(x + 3)}{x + 1}$

4. Сократим дроби. Первая дробь сокращается на $(x - 1)$ при условии, что $x \neq 1$. Вторая дробь сокращается на $(x + 1)$ при условии, что $x \neq -1$. Получаем:

$(x - 4) + (x + 3)$

5. Выполним сложение:

$x - 4 + x + 3 = 2x - 1$

Ответ: $2x - 1$.

б) $\frac{x^2 + 5x + 4}{x + 1} - \frac{x^2 - 4x + 3}{x - 1}$

Действуем аналогично предыдущему пункту, раскладывая числители на множители.

1. Разложим на множители числитель первой дроби: $x^2 + 5x + 4$.
Корни уравнения $x^2 + 5x + 4 = 0$ по теореме Виета: $x_1 = -1$, $x_2 = -4$.
Следовательно, $x^2 + 5x + 4 = (x + 1)(x + 4)$.

2. Разложим на множители числитель второй дроби: $x^2 - 4x + 3$.
Корни уравнения $x^2 - 4x + 3 = 0$ по теореме Виета: $x_1 = 1$, $x_2 = 3$.
Следовательно, $x^2 - 4x + 3 = (x - 1)(x - 3)$.

3. Подставим разложения в исходное выражение:

$\frac{(x + 1)(x + 4)}{x + 1} - \frac{(x - 1)(x - 3)}{x - 1}$

4. Сократим дроби, учитывая область допустимых значений ($x \neq -1$ и $x \neq 1$):

$(x + 4) - (x - 3)$

5. Выполним вычитание, раскрыв скобки:

$x + 4 - x + 3 = 7$

Ответ: $7$.

Помогло решение? Оставьте отзыв в комментариях ниже.

Присоединяйтесь к Телеграм-группе @gdz_by_belarus

Присоединиться

Мы подготовили для вас ответ c подробным объяснением домашего задания по алгебре за 7-9 класс, для упражнения номер 33.38 расположенного на странице 162 к сборнику задач 2020 года издания для учащихся школ и гимназий.

Теперь на нашем сайте ГДЗ.ТОП вы всегда легко и бесплатно найдёте условие с правильным ответом на вопрос «Как решить ДЗ» и «Как сделать» задание по алгебре к упражнению №33.38 (с. 162), авторов: Арефьева (Ирина Глебовна), Пирютко (Ольга Николаевна), учебного пособия издательства Народная асвета.