Номер 35.18, страница 174 - гдз по алгебре 7-9 класс сборник задач Арефьева, Пирютко

Алгебра, 7-9 класс Сборник задач, авторы: Арефьева Ирина Глебовна, Пирютко Ольга Николаевна, издательство Народная асвета, Минск, 2020

Авторы: Арефьева И. Г., Пирютко О. Н.

Тип: Сборник задач

Издательство: Народная асвета

Год издания: 2020 - 2026

Цвет обложки: синий с графиками

Допущено Министерством образования Республики Беларусь

Популярные ГДЗ в 7 классе

9 класс. Параграф 35. Функции - номер 35.18, страница 174.

№35.18 (с. 174)
Условие. №35.18 (с. 174)
скриншот условия
Алгебра, 7-9 класс Сборник задач, авторы: Арефьева Ирина Глебовна, Пирютко Ольга Николаевна, издательство Народная асвета, Минск, 2020, страница 174, номер 35.18, Условие

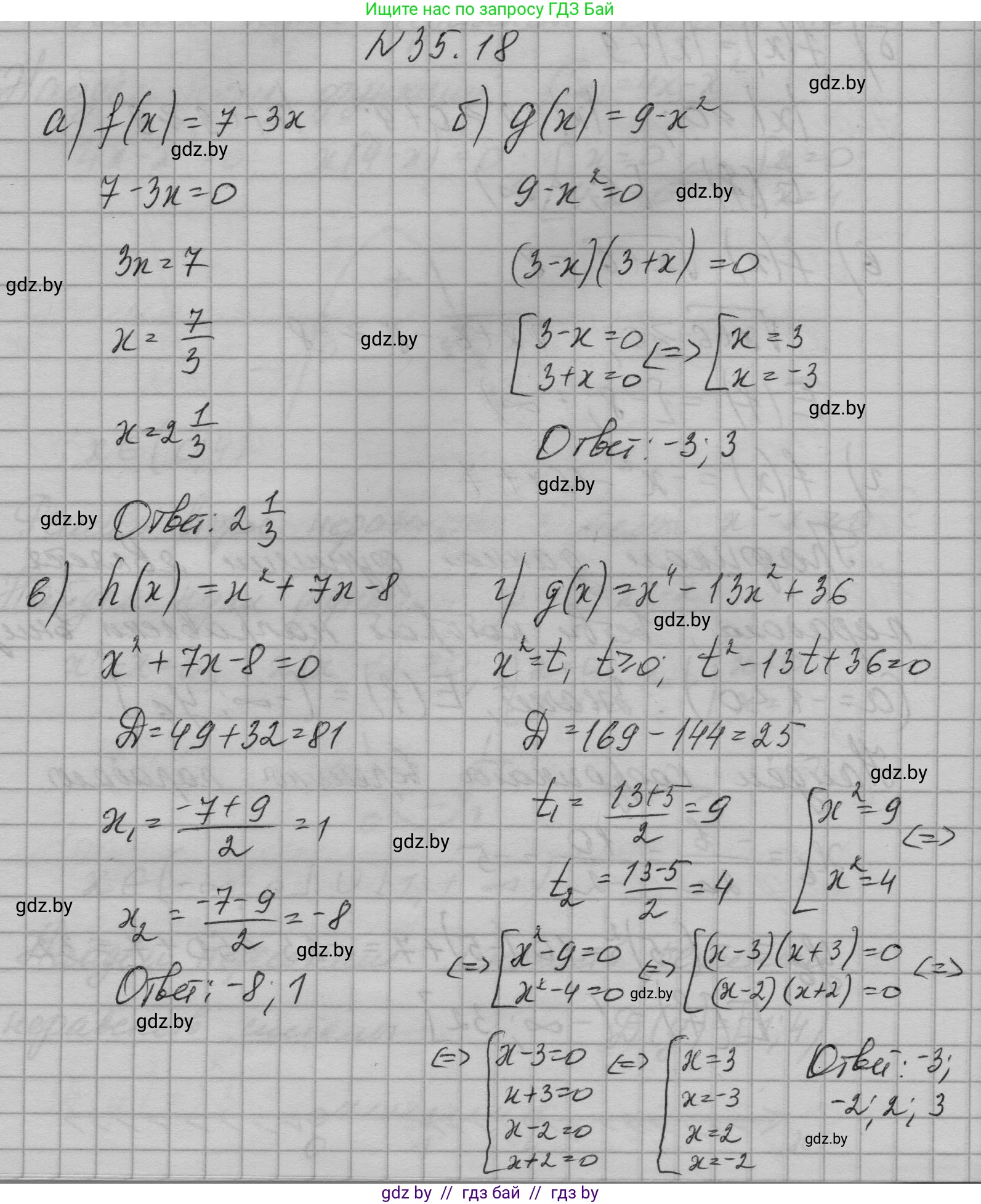
35.18. Найдите нули функции: Рис. 28

а) $f(x)=7-3x$;

б) $g(x)=9-x^2$;

в) $h(x)=x^2+7x-8$;

г) $q(x)=x^4-13x^2+36$.

Решение. №35.18 (с. 174)
Алгебра, 7-9 класс Сборник задач, авторы: Арефьева Ирина Глебовна, Пирютко Ольга Николаевна, издательство Народная асвета, Минск, 2020, страница 174, номер 35.18, Решение
Решение 2. №35.18 (с. 174)

а) Нули функции — это значения аргумента $x$, при которых значение функции равно нулю. Чтобы найти нули функции $f(x) = 7 - 3x$, нужно решить уравнение $f(x) = 0$.

$7 - 3x = 0$

Перенесем $3x$ в правую часть уравнения:

$7 = 3x$

Найдем $x$:

$x = \frac{7}{3}$

$x = 2\frac{1}{3}$

Ответ: $2\frac{1}{3}$.

б) Чтобы найти нули функции $g(x) = 9 - x^2$, решим уравнение $g(x) = 0$.

$9 - x^2 = 0$

$x^2 = 9$

Извлечем квадратный корень из обеих частей уравнения:

$x_{1,2} = \pm\sqrt{9}$

$x_1 = 3$, $x_2 = -3$

Ответ: -3; 3.

в) Чтобы найти нули функции $h(x) = x^2 + 7x - 8$, решим квадратное уравнение $h(x) = 0$.

$x^2 + 7x - 8 = 0$

Для решения используем формулу корней квадратного уравнения через дискриминант $D = b^2 - 4ac$.

В нашем случае коэффициенты: $a = 1$, $b = 7$, $c = -8$.

$D = 7^2 - 4 \cdot 1 \cdot (-8) = 49 + 32 = 81$

Так как $D > 0$, уравнение имеет два корня, которые находятся по формуле $x_{1,2} = \frac{-b \pm \sqrt{D}}{2a}$.

$x_1 = \frac{-7 - \sqrt{81}}{2 \cdot 1} = \frac{-7 - 9}{2} = \frac{-16}{2} = -8$

$x_2 = \frac{-7 + \sqrt{81}}{2 \cdot 1} = \frac{-7 + 9}{2} = \frac{2}{2} = 1$

Ответ: -8; 1.

г) Чтобы найти нули функции $q(x) = x^4 - 13x^2 + 36$, решим биквадратное уравнение $q(x) = 0$.

$x^4 - 13x^2 + 36 = 0$

Введем замену переменной: пусть $t = x^2$. Так как квадрат любого действительного числа неотрицателен, то $t \ge 0$.

Получаем квадратное уравнение относительно переменной $t$:

$t^2 - 13t + 36 = 0$

Решим это уравнение с помощью теоремы Виета. Сумма корней равна 13, а их произведение равно 36.

$t_1 + t_2 = 13$

$t_1 \cdot t_2 = 36$

Подбором находим корни: $t_1 = 4$ и $t_2 = 9$. Оба корня удовлетворяют условию $t \ge 0$.

Теперь выполним обратную замену:

1) $x^2 = t_1 \Rightarrow x^2 = 4 \Rightarrow x_{1,2} = \pm\sqrt{4} = \pm2$

2) $x^2 = t_2 \Rightarrow x^2 = 9 \Rightarrow x_{3,4} = \pm\sqrt{9} = \pm3$

Таким образом, функция имеет четыре нуля.

Ответ: -3; -2; 2; 3.

Помогло решение? Оставьте отзыв в комментариях ниже.

Присоединяйтесь к Телеграм-группе @gdz_by_belarus

Присоединиться

Мы подготовили для вас ответ c подробным объяснением домашего задания по алгебре за 7-9 класс, для упражнения номер 35.18 расположенного на странице 174 к сборнику задач 2020 года издания для учащихся школ и гимназий.

Теперь на нашем сайте ГДЗ.ТОП вы всегда легко и бесплатно найдёте условие с правильным ответом на вопрос «Как решить ДЗ» и «Как сделать» задание по алгебре к упражнению №35.18 (с. 174), авторов: Арефьева (Ирина Глебовна), Пирютко (Ольга Николаевна), учебного пособия издательства Народная асвета.