Номер 35.19, страница 174 - гдз по алгебре 7-9 класс сборник задач Арефьева, Пирютко

Алгебра, 7-9 класс Сборник задач, авторы: Арефьева Ирина Глебовна, Пирютко Ольга Николаевна, издательство Народная асвета, Минск, 2020

Авторы: Арефьева И. Г., Пирютко О. Н.

Тип: Сборник задач

Издательство: Народная асвета

Год издания: 2020 - 2026

Цвет обложки: синий с графиками

Допущено Министерством образования Республики Беларусь

Популярные ГДЗ в 7 классе

9 класс. Параграф 35. Функции - номер 35.19, страница 174.

№35.19 (с. 174)
Условие. №35.19 (с. 174)
скриншот условия
Алгебра, 7-9 класс Сборник задач, авторы: Арефьева Ирина Глебовна, Пирютко Ольга Николаевна, издательство Народная асвета, Минск, 2020, страница 174, номер 35.19, Условие

35.19. Найдите промежутки знакопостоянства функции:

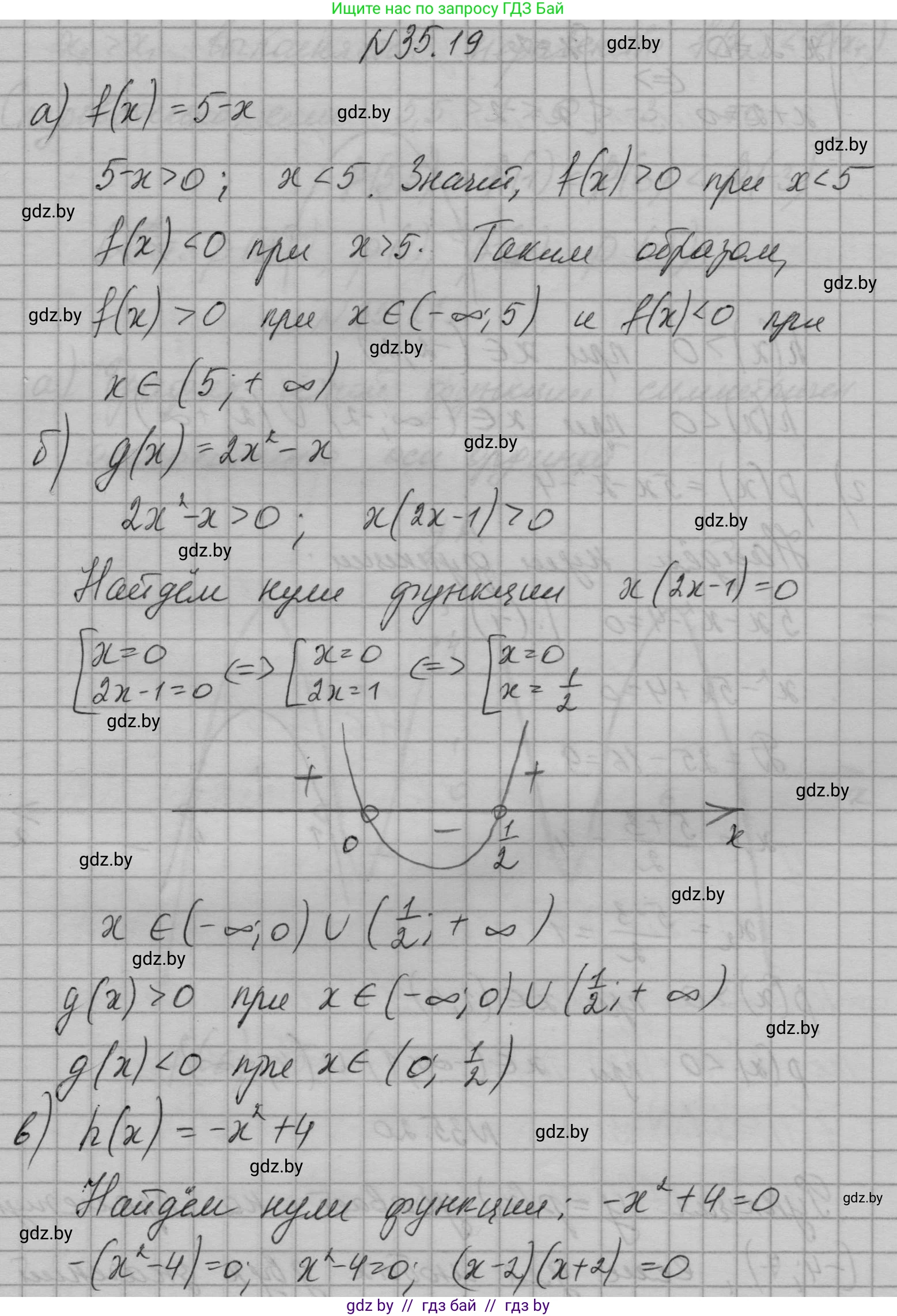
a) $f(x) = 5 - x;$

б) $g(x) = 2x^2 - x;$

в) $h(x) = -x^2 + 4;$

г) $p(x) = 5x - x^2 - 4.$

Решение. №35.19 (с. 174)
Алгебра, 7-9 класс Сборник задач, авторы: Арефьева Ирина Глебовна, Пирютко Ольга Николаевна, издательство Народная асвета, Минск, 2020, страница 174, номер 35.19, Решение Алгебра, 7-9 класс Сборник задач, авторы: Арефьева Ирина Глебовна, Пирютко Ольга Николаевна, издательство Народная асвета, Минск, 2020, страница 174, номер 35.19, Решение (продолжение 2)
Решение 2. №35.19 (с. 174)

а) Рассмотрим функцию $f(x) = 5 - x$.

Чтобы найти промежутки знакопостоянства, сначала найдем нули функции, то есть точки, в которых $f(x)=0$.
$5 - x = 0$
$x = 5$
Точка $x=5$ разбивает числовую прямую на два промежутка: $(-\infty; 5)$ и $(5; +\infty)$. Определим знак функции на каждом из них.
Это линейная убывающая функция (коэффициент при $x$ равен $-1$). Следовательно, при значениях аргумента, меньших корня ($x < 5$), функция принимает положительные значения, а при значениях, больших корня ($x > 5$) — отрицательные.
Таким образом, $f(x) > 0$ на промежутке $(-\infty; 5)$, и $f(x) < 0$ на промежутке $(5; +\infty)$.

Ответ: $f(x) > 0$ при $x \in (-\infty; 5)$; $f(x) < 0$ при $x \in (5; +\infty)$.

б) Рассмотрим функцию $g(x) = 2x^2 - x$.

Найдем нули функции, решив уравнение $g(x)=0$:
$2x^2 - x = 0$
$x(2x - 1) = 0$
Корни уравнения: $x_1 = 0$ и $x_2 = 0.5$.
Нули функции разбивают числовую прямую на три интервала: $(-\infty; 0)$, $(0; 0.5)$ и $(0.5; +\infty)$.
Графиком функции является парабола, ветви которой направлены вверх (коэффициент при $x^2$ положителен: $2 > 0$). Следовательно, функция принимает положительные значения вне интервала между корнями и отрицательные значения внутри этого интервала.
Таким образом, $g(x) > 0$ на промежутках $(-\infty; 0)$ и $(0.5; +\infty)$, и $g(x) < 0$ на промежутке $(0; 0.5)$.

Ответ: $g(x) > 0$ при $x \in (-\infty; 0) \cup (0.5; +\infty)$; $g(x) < 0$ при $x \in (0; 0.5)$.

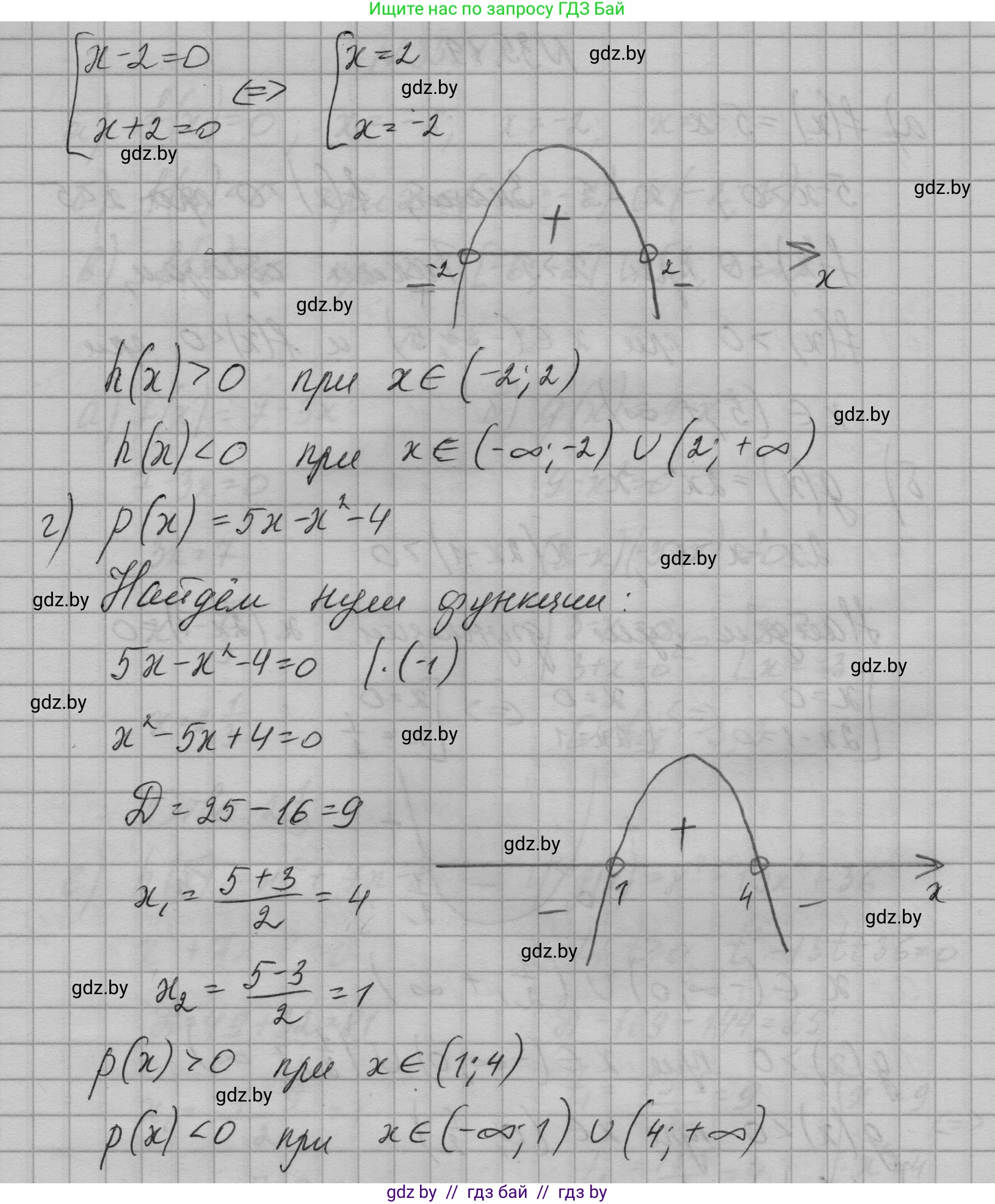
в) Рассмотрим функцию $h(x) = -x^2 + 4$.

Найдем нули функции, решив уравнение $h(x)=0$:
$-x^2 + 4 = 0$
$x^2 = 4$
Корни уравнения: $x_1 = -2$ и $x_2 = 2$.
Нули функции разбивают числовую прямую на три интервала: $(-\infty; -2)$, $(-2; 2)$ и $(2; +\infty)$.
Графиком функции является парабола, ветви которой направлены вниз (коэффициент при $x^2$ отрицателен: $-1 < 0$). Следовательно, функция принимает отрицательные значения вне интервала между корнями и положительные значения внутри этого интервала.
Таким образом, $h(x) > 0$ на промежутке $(-2; 2)$, и $h(x) < 0$ на промежутках $(-\infty; -2)$ и $(2; +\infty)$.

Ответ: $h(x) > 0$ при $x \in (-2; 2)$; $h(x) < 0$ при $x \in (-\infty; -2) \cup (2; +\infty)$.

г) Рассмотрим функцию $p(x) = 5x - x^2 - 4$.

Найдем нули функции, решив уравнение $p(x)=0$:
$5x - x^2 - 4 = 0$
Для удобства умножим все члены на $-1$:
$x^2 - 5x + 4 = 0$
Используя теорему Виета или решив через дискриминант, находим корни: $x_1=1$ и $x_2=4$.
Нули функции разбивают числовую прямую на три интервала: $(-\infty; 1)$, $(1; 4)$ и $(4; +\infty)$.
Графиком функции $p(x) = -x^2 + 5x - 4$ является парабола, ветви которой направлены вниз (коэффициент при $x^2$ отрицателен: $-1 < 0$). Следовательно, функция принимает отрицательные значения вне интервала между корнями и положительные значения внутри этого интервала.
Таким образом, $p(x) > 0$ на промежутке $(1; 4)$, и $p(x) < 0$ на промежутках $(-\infty; 1)$ и $(4; +\infty)$.

Ответ: $p(x) > 0$ при $x \in (1; 4)$; $p(x) < 0$ при $x \in (-\infty; 1) \cup (4; +\infty)$.

Помогло решение? Оставьте отзыв в комментариях ниже.

Присоединяйтесь к Телеграм-группе @gdz_by_belarus

Присоединиться

Мы подготовили для вас ответ c подробным объяснением домашего задания по алгебре за 7-9 класс, для упражнения номер 35.19 расположенного на странице 174 к сборнику задач 2020 года издания для учащихся школ и гимназий.

Теперь на нашем сайте ГДЗ.ТОП вы всегда легко и бесплатно найдёте условие с правильным ответом на вопрос «Как решить ДЗ» и «Как сделать» задание по алгебре к упражнению №35.19 (с. 174), авторов: Арефьева (Ирина Глебовна), Пирютко (Ольга Николаевна), учебного пособия издательства Народная асвета.