Номер 38.16, страница 193 - гдз по алгебре 7-9 класс сборник задач Арефьева, Пирютко

Алгебра, 7-9 класс Сборник задач, авторы: Арефьева Ирина Глебовна, Пирютко Ольга Николаевна, издательство Народная асвета, Минск, 2020

Авторы: Арефьева И. Г., Пирютко О. Н.

Тип: Сборник задач

Издательство: Народная асвета

Год издания: 2020 - 2026

Цвет обложки: синий с графиками

Допущено Министерством образования Республики Беларусь

9 класс. Параграф 38. Дробно-рациональные неравенства. Метод интервалов для решения рациональных неравенств - номер 38.16, страница 193.

№38.16 (с. 193)
Условие. №38.16 (с. 193)
скриншот условия
Алгебра, 7-9 класс Сборник задач, авторы: Арефьева Ирина Глебовна, Пирютко Ольга Николаевна, издательство Народная асвета, Минск, 2020, страница 193, номер 38.16, Условие

38.16. Решите неравенство:

а) $(x - 5)(4 - x)(x + \sqrt{5}) > 0;$

б) $(x^2 + 2x)(2x - 1) \le 0;$

в) $x^3 - 5x^2 + 6x \ge 0;$

г) $x^4 - 10x^2 + 9 < 0.$

Решение. №38.16 (с. 193)
Алгебра, 7-9 класс Сборник задач, авторы: Арефьева Ирина Глебовна, Пирютко Ольга Николаевна, издательство Народная асвета, Минск, 2020, страница 193, номер 38.16, Решение Алгебра, 7-9 класс Сборник задач, авторы: Арефьева Ирина Глебовна, Пирютко Ольга Николаевна, издательство Народная асвета, Минск, 2020, страница 193, номер 38.16, Решение (продолжение 2)
Решение 2. №38.16 (с. 193)

а) Решим неравенство $(x-5)(4-x)(x+\sqrt{5}) > 0$.

Для применения метода интервалов преобразуем неравенство. Вынесем знак минус из второго множителя $(4-x) = -(x-4)$:

$(x-5)(-(x-4))(x+\sqrt{5}) > 0$

$-(x-5)(x-4)(x+\sqrt{5}) > 0$

Умножим обе части неравенства на -1, при этом знак неравенства изменится на противоположный:

$(x-5)(x-4)(x+\sqrt{5}) < 0$

Теперь найдем корни левой части, приравняв ее к нулю:

$(x-5)(x-4)(x+\sqrt{5}) = 0$

Корнями являются $x_1 = 5$, $x_2 = 4$, $x_3 = -\sqrt{5}$.

Отметим эти корни на числовой оси. Так как неравенство строгое, точки будут выколотыми. Корни в порядке возрастания: $-\sqrt{5}$, 4, 5. Эти точки разбивают числовую ось на четыре интервала: $(-\infty; -\sqrt{5})$, $(-\sqrt{5}; 4)$, $(4; 5)$ и $(5; +\infty)$.

Определим знак выражения $(x-5)(x-4)(x+\sqrt{5})$ в самом правом интервале $(5; +\infty)$, взяв пробную точку, например $x=6$:

$(6-5)(6-4)(6+\sqrt{5}) = 1 \cdot 2 \cdot (6+\sqrt{5}) > 0$.

Поскольку все корни имеют кратность 1, знаки в интервалах будут чередоваться. Двигаясь справа налево, получаем знаки: +, -, +, -.

Нас интересуют интервалы, где выражение меньше нуля (знак "-"). Это интервалы $(-\infty; -\sqrt{5})$ и $(4; 5)$.

Ответ: $x \in (-\infty; -\sqrt{5}) \cup (4; 5)$.

б) Решим неравенство $(x^2+2x)(2x-1) \le 0$.

Сначала разложим на множители выражение в первой скобке: $x^2+2x = x(x+2)$.

Неравенство принимает вид:

$x(x+2)(2x-1) \le 0$

Найдем корни левой части, приравняв ее к нулю:

$x(x+2)(2x-1) = 0$

Корнями являются $x_1 = 0$, $x_2 = -2$, $x_3 = 1/2$.

Отметим эти корни на числовой оси. Так как неравенство нестрогое, точки будут закрашенными. Корни в порядке возрастания: -2, 0, 1/2. Эти точки разбивают числовую ось на четыре интервала: $(-\infty; -2]$, $[-2; 0]$, $[0; 1/2]$ и $[1/2; +\infty)$.

Определим знак выражения $x(x+2)(2x-1)$ в самом правом интервале $[1/2; +\infty)$, взяв пробную точку, например $x=1$:

$1 \cdot (1+2) \cdot (2 \cdot 1 - 1) = 1 \cdot 3 \cdot 1 > 0$.

Знаки в интервалах, чередуясь справа налево, будут: +, -, +, -.

Нас интересуют интервалы, где выражение меньше либо равно нулю (знак "-"). Это интервалы $(-\infty; -2]$ и $[0; 1/2]$.

Ответ: $x \in (-\infty; -2] \cup [0; 1/2]$.

в) Решим неравенство $x^3-5x^2+6x \ge 0$.

Разложим левую часть на множители. Сначала вынесем $x$ за скобки:

$x(x^2-5x+6) \ge 0$

Теперь разложим на множители квадратный трехчлен $x^2-5x+6$. Его корни по теореме Виета равны 2 и 3, так как $2+3=5$ и $2 \cdot 3=6$.

$x^2-5x+6 = (x-2)(x-3)$.

Неравенство принимает вид:

$x(x-2)(x-3) \ge 0$

Корни левой части: $x_1=0$, $x_2=2$, $x_3=3$.

Отметим эти корни на числовой оси. Так как неравенство нестрогое, точки будут закрашенными. Точки 0, 2, 3 разбивают числовую ось на четыре интервала: $(-\infty; 0]$, $[0; 2]$, $[2; 3]$ и $[3; +\infty)$.

Определим знак выражения $x(x-2)(x-3)$ в самом правом интервале $[3; +\infty)$, взяв пробную точку, например $x=4$:

$4(4-2)(4-3) = 4 \cdot 2 \cdot 1 > 0$.

Знаки в интервалах, чередуясь справа налево, будут: +, -, +, -.

Нас интересуют интервалы, где выражение больше либо равно нулю (знак "+"). Это интервалы $[0; 2]$ и $[3; +\infty)$.

Ответ: $x \in [0; 2] \cup [3; +\infty)$.

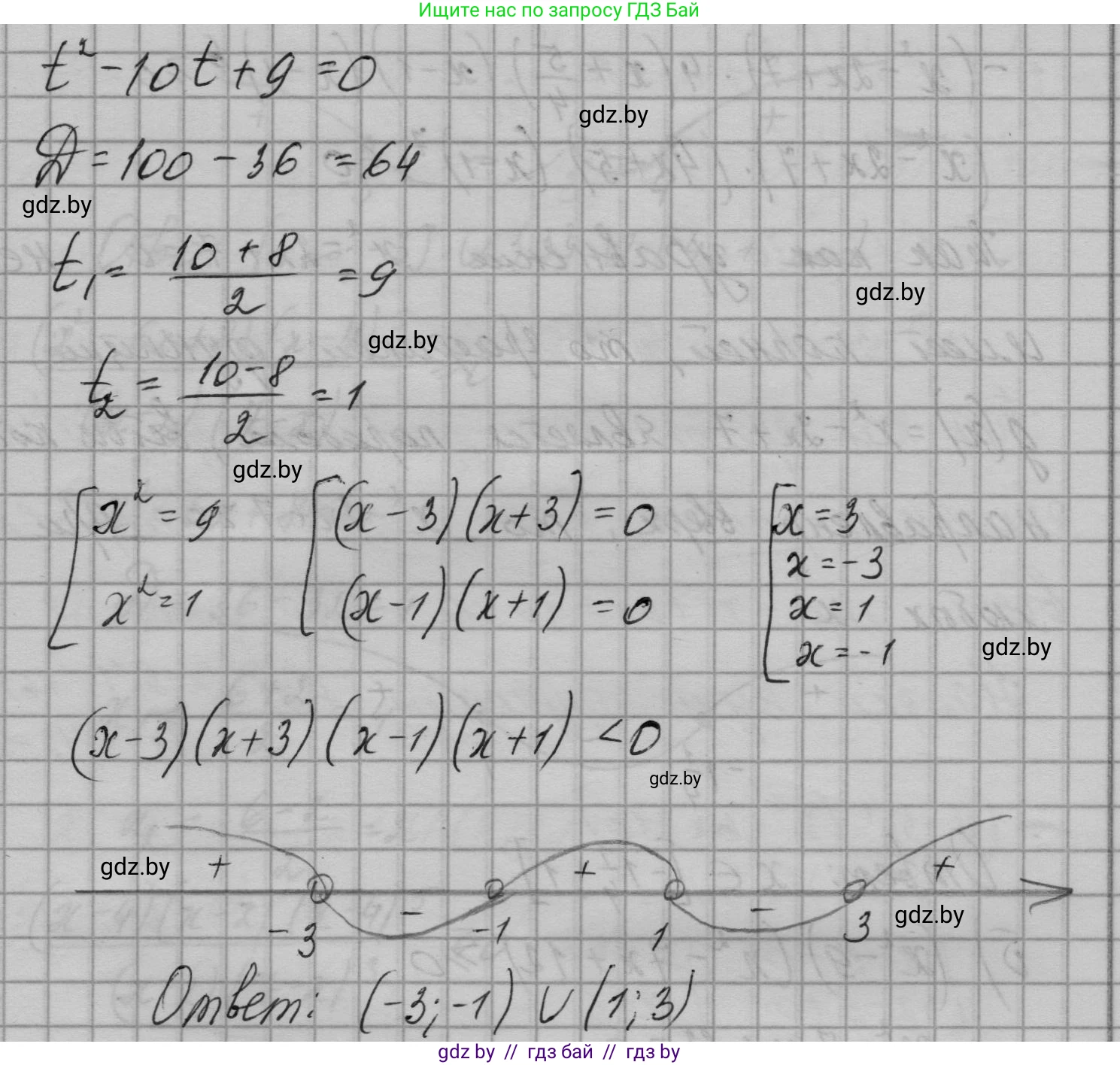
г) Решим неравенство $x^4-10x^2+9 < 0$.

Это биквадратное неравенство. Сделаем замену переменной: пусть $t = x^2$. Так как $x^2 \ge 0$, то $t \ge 0$.

Неравенство примет вид:

$t^2 - 10t + 9 < 0$

Решим это квадратное неравенство относительно $t$. Найдем корни уравнения $t^2 - 10t + 9 = 0$. По теореме Виета, корни $t_1=1$ и $t_2=9$.

Парабола $y = t^2 - 10t + 9$ ветвями направлена вверх, поэтому она принимает отрицательные значения между корнями.

Таким образом, решение для $t$: $1 < t < 9$.

Это решение удовлетворяет условию $t \ge 0$.

Вернемся к переменной $x$, выполнив обратную замену $t = x^2$:

$1 < x^2 < 9$

Это двойное неравенство равносильно системе двух неравенств:

$\begin{cases} x^2 > 1 \\ x^2 < 9 \end{cases}$

Решим каждое неравенство отдельно:

1) $x^2 > 1 \implies x^2 - 1 > 0 \implies (x-1)(x+1) > 0$. Решением является $x \in (-\infty; -1) \cup (1; +\infty)$.

2) $x^2 < 9 \implies x^2 - 9 < 0 \implies (x-3)(x+3) < 0$. Решением является $x \in (-3; 3)$.

Найдем пересечение решений этих двух неравенств. На числовой оси это соответствует интервалам, где выполняются оба условия.

Пересечением множеств $(-\infty; -1) \cup (1; +\infty)$ и $(-3; 3)$ являются интервалы $(-3; -1)$ и $(1; 3)$.

Ответ: $x \in (-3; -1) \cup (1; 3)$.

Помогло решение? Оставьте отзыв в комментариях ниже.

Присоединяйтесь к Телеграм-группе @gdz_by_belarus

Присоединиться

Мы подготовили для вас ответ c подробным объяснением домашего задания по алгебре за 7-9 класс, для упражнения номер 38.16 расположенного на странице 193 к сборнику задач 2020 года издания для учащихся школ и гимназий.

Теперь на нашем сайте ГДЗ.ТОП вы всегда легко и бесплатно найдёте условие с правильным ответом на вопрос «Как решить ДЗ» и «Как сделать» задание по алгебре к упражнению №38.16 (с. 193), авторов: Арефьева (Ирина Глебовна), Пирютко (Ольга Николаевна), учебного пособия издательства Народная асвета.