Номер 38.22, страница 194 - гдз по алгебре 7-9 класс сборник задач Арефьева, Пирютко

Алгебра, 7-9 класс Сборник задач, авторы: Арефьева Ирина Глебовна, Пирютко Ольга Николаевна, издательство Народная асвета, Минск, 2020

Авторы: Арефьева И. Г., Пирютко О. Н.

Тип: Сборник задач

Издательство: Народная асвета

Год издания: 2020 - 2026

Цвет обложки: синий с графиками

Допущено Министерством образования Республики Беларусь

Популярные ГДЗ в 7 классе

9 класс. Параграф 38. Дробно-рациональные неравенства. Метод интервалов для решения рациональных неравенств - номер 38.22, страница 194.

№38.22 (с. 194)
Условие. №38.22 (с. 194)
скриншот условия
Алгебра, 7-9 класс Сборник задач, авторы: Арефьева Ирина Глебовна, Пирютко Ольга Николаевна, издательство Народная асвета, Минск, 2020, страница 194, номер 38.22, Условие

38.22*. Решите уравнение:

a) $|x^3 + x^2 - 2x| = x^3 + x^2 - 2x;$

б) $\left|\frac{x^2 - 3x + 2}{x - 4}\right| = \frac{x^2 - 3x + 2}{4 - x}.$

Решение. №38.22 (с. 194)
Алгебра, 7-9 класс Сборник задач, авторы: Арефьева Ирина Глебовна, Пирютко Ольга Николаевна, издательство Народная асвета, Минск, 2020, страница 194, номер 38.22, Решение Алгебра, 7-9 класс Сборник задач, авторы: Арефьева Ирина Глебовна, Пирютко Ольга Николаевна, издательство Народная асвета, Минск, 2020, страница 194, номер 38.22, Решение (продолжение 2)
Решение 2. №38.22 (с. 194)

а) $|x^3 + x^2 - 2x| = x^3 + x^2 - 2x$

Это уравнение вида $|A| = A$. Такое равенство выполняется тогда и только тогда, когда выражение под знаком модуля неотрицательно, то есть $A \ge 0$.

В нашем случае необходимо решить неравенство:

$x^3 + x^2 - 2x \ge 0$

Вынесем общий множитель $x$ за скобки:

$x(x^2 + x - 2) \ge 0$

Теперь разложим на множители квадратный трехчлен $x^2 + x - 2$. Найдем его корни, решив уравнение $x^2 + x - 2 = 0$. По теореме Виета, сумма корней равна $-1$, а их произведение равно $-2$. Корнями являются числа $1$ и $-2$.

Следовательно, $x^2 + x - 2 = (x - 1)(x + 2)$.

Неравенство принимает вид:

$x(x + 2)(x - 1) \ge 0$

Решим это неравенство методом интервалов. Нули левой части: $x = -2$, $x = 0$, $x = 1$. Эти точки разбивают числовую прямую на четыре интервала. Определим знак выражения в каждом интервале:

- при $x > 1$ выражение положительно (например, при $x=2$: $2(2+2)(2-1) > 0$);
- при $0 < x < 1$ выражение отрицательно (например, при $x=0.5$: $0.5(0.5+2)(0.5-1) < 0$);
- при $-2 < x < 0$ выражение положительно (например, при $x=-1$: $-1(-1+2)(-1-1) > 0$);
- при $x < -2$ выражение отрицательно (например, при $x=-3$: $-3(-3+2)(-3-1) < 0$).

Поскольку неравенство нестрогое ($\ge 0$), в решение включаются точки, где выражение равно нулю. Таким образом, решением является объединение промежутков, где выражение положительно или равно нулю.

Ответ: $x \in [-2, 0] \cup [1, +\infty)$.

б) $|\frac{x^2 - 3x + 2}{x - 4}| = \frac{x^2 - 3x + 2}{4 - x}$

Прежде всего, определим область допустимых значений (ОДЗ). Знаменатель дроби не может быть равен нулю, поэтому $x - 4 \ne 0$ и $4 - x \ne 0$, что в обоих случаях дает $x \ne 4$.

Преобразуем правую часть уравнения: $\frac{x^2 - 3x + 2}{4 - x} = \frac{x^2 - 3x + 2}{-(x - 4)} = -\frac{x^2 - 3x + 2}{x - 4}$.

Уравнение принимает вид:

$|\frac{x^2 - 3x + 2}{x - 4}| = -\frac{x^2 - 3x + 2}{x - 4}$

Это уравнение вида $|A| = -A$. Такое равенство выполняется тогда и только тогда, когда выражение под знаком модуля неположительно, то есть $A \le 0$.

В нашем случае необходимо решить неравенство:

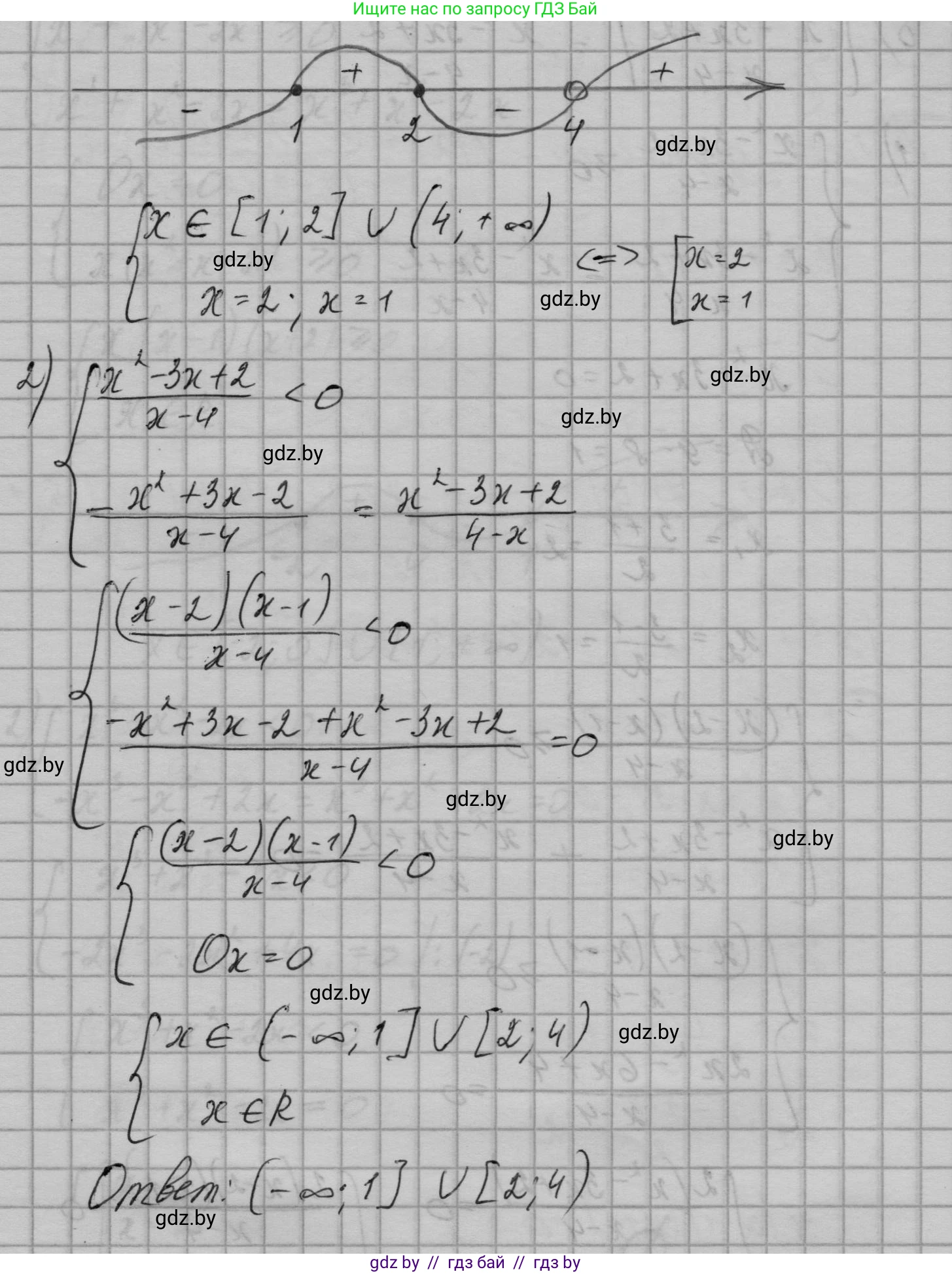
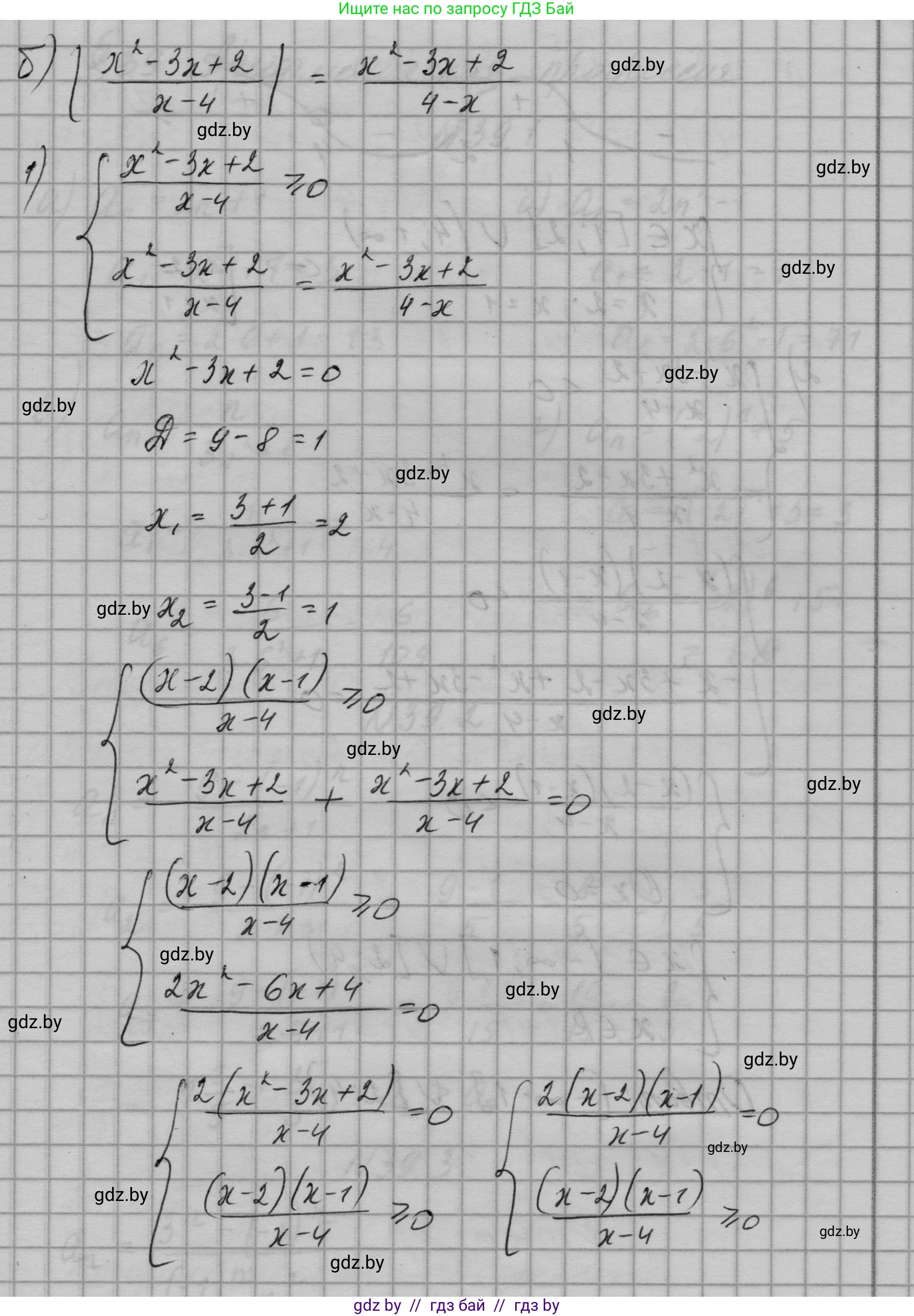
$\frac{x^2 - 3x + 2}{x - 4} \le 0$

Разложим на множители числитель $x^2 - 3x + 2$. Решим уравнение $x^2 - 3x + 2 = 0$. По теореме Виета, сумма корней равна $3$, а произведение равно $2$. Корнями являются $x=1$ и $x=2$.

Таким образом, $x^2 - 3x + 2 = (x - 1)(x - 2)$.

Неравенство принимает вид:

$\frac{(x-1)(x-2)}{x-4} \le 0$

Решим это неравенство методом интервалов. Нули числителя: $x=1$, $x=2$. Нуль знаменателя: $x=4$. Отметим эти точки на числовой прямой, при этом точка $x=4$ будет выколотой, так как она не входит в ОДЗ. Определим знаки выражения в каждом интервале:

- при $x > 4$ выражение положительно (например, при $x=5$: $\frac{(5-1)(5-2)}{5-4} > 0$);
- при $2 < x < 4$ выражение отрицательно (например, при $x=3$: $\frac{(3-1)(3-2)}{3-4} < 0$);
- при $1 < x < 2$ выражение положительно (например, при $x=1.5$: $\frac{(1.5-1)(1.5-2)}{1.5-4} > 0$);
- при $x < 1$ выражение отрицательно (например, при $x=0$: $\frac{(0-1)(0-2)}{0-4} < 0$).

Поскольку неравенство нестрогое ($\le 0$), в решение включаются точки, где числитель равен нулю ($x=1$, $x=2$), и промежутки, где дробь отрицательна. Точка $x=4$ исключается.

Ответ: $x \in (-\infty, 1] \cup [2, 4)$.

Помогло решение? Оставьте отзыв в комментариях ниже.

Присоединяйтесь к Телеграм-группе @gdz_by_belarus

Присоединиться

Мы подготовили для вас ответ c подробным объяснением домашего задания по алгебре за 7-9 класс, для упражнения номер 38.22 расположенного на странице 194 к сборнику задач 2020 года издания для учащихся школ и гимназий.

Теперь на нашем сайте ГДЗ.ТОП вы всегда легко и бесплатно найдёте условие с правильным ответом на вопрос «Как решить ДЗ» и «Как сделать» задание по алгебре к упражнению №38.22 (с. 194), авторов: Арефьева (Ирина Глебовна), Пирютко (Ольга Николаевна), учебного пособия издательства Народная асвета.