Номер 39.19, страница 196 - гдз по алгебре 7-9 класс сборник задач Арефьева, Пирютко

Алгебра, 7-9 класс Сборник задач, авторы: Арефьева Ирина Глебовна, Пирютко Ольга Николаевна, издательство Народная асвета, Минск, 2020

Авторы: Арефьева И. Г., Пирютко О. Н.

Тип: Сборник задач

Издательство: Народная асвета

Год издания: 2020 - 2026

Цвет обложки: синий с графиками

Допущено Министерством образования Республики Беларусь

Популярные ГДЗ в 7 классе

9 класс. Параграф 39. Арифметическая прогрессия - номер 39.19, страница 196.

№39.19 (с. 196)
Условие. №39.19 (с. 196)
скриншот условия
Алгебра, 7-9 класс Сборник задач, авторы: Арефьева Ирина Глебовна, Пирютко Ольга Николаевна, издательство Народная асвета, Минск, 2020, страница 196, номер 39.19, Условие

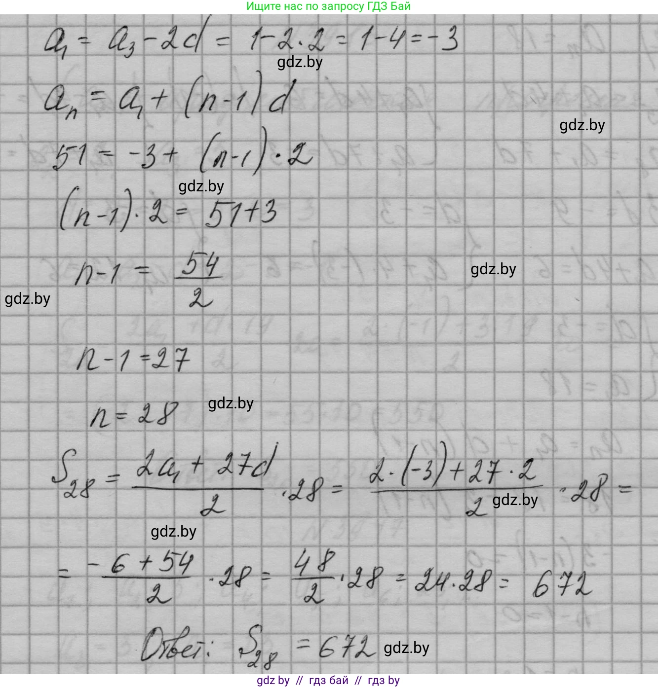
39.19. В арифметической прогрессии ($a_n$) известно, что $a_3 = 1, d = 2, a_n = 51$. Найдите сумму $n$ первых членов этой прогрессии.

Решение. №39.19 (с. 196)
Алгебра, 7-9 класс Сборник задач, авторы: Арефьева Ирина Глебовна, Пирютко Ольга Николаевна, издательство Народная асвета, Минск, 2020, страница 196, номер 39.19, Решение Алгебра, 7-9 класс Сборник задач, авторы: Арефьева Ирина Глебовна, Пирютко Ольга Николаевна, издательство Народная асвета, Минск, 2020, страница 196, номер 39.19, Решение (продолжение 2)
Решение 2. №39.19 (с. 196)

1. Найдем первый член прогрессии $a_1$
Формула для k-го члена арифметической прогрессии имеет вид: $a_k = a_1 + (k-1)d$.
По условию задачи нам известен третий член прогрессии $a_3 = 1$ и разность $d = 2$. Подставим эти значения в формулу для $k=3$, чтобы найти $a_1$:
$a_3 = a_1 + (3-1)d$
$1 = a_1 + 2 \cdot 2$
$1 = a_1 + 4$
$a_1 = 1 - 4$
$a_1 = -3$.

2. Найдем количество членов прогрессии $n$
Теперь, зная первый член $a_1 = -3$, разность $d = 2$ и n-й член $a_n = 51$, мы можем найти общее количество членов $n$.
Воспользуемся той же формулой для n-го члена $a_n = a_1 + (n-1)d$:
$51 = -3 + (n-1) \cdot 2$
Перенесем -3 в левую часть уравнения:
$51 + 3 = (n-1) \cdot 2$
$54 = (n-1) \cdot 2$
Разделим обе части уравнения на 2:
$n-1 = \frac{54}{2}$
$n-1 = 27$
Отсюда находим $n$:
$n = 27 + 1 = 28$.

3. Найдем сумму $n$ первых членов прогрессии $S_n$
Для вычисления суммы первых $n$ членов арифметической прогрессии используется формула: $S_n = \frac{a_1 + a_n}{2} \cdot n$.
Мы нашли все необходимые для этого значения: $a_1 = -3$, $a_n = 51$ и $n = 28$. Подставим их в формулу суммы:
$S_{28} = \frac{-3 + 51}{2} \cdot 28$
$S_{28} = \frac{48}{2} \cdot 28$
$S_{28} = 24 \cdot 28$
Выполним умножение:
$S_{28} = 672$.

Ответ: 672

Помогло решение? Оставьте отзыв в комментариях ниже.

Присоединяйтесь к Телеграм-группе @gdz_by_belarus

Присоединиться

Мы подготовили для вас ответ c подробным объяснением домашего задания по алгебре за 7-9 класс, для упражнения номер 39.19 расположенного на странице 196 к сборнику задач 2020 года издания для учащихся школ и гимназий.

Теперь на нашем сайте ГДЗ.ТОП вы всегда легко и бесплатно найдёте условие с правильным ответом на вопрос «Как решить ДЗ» и «Как сделать» задание по алгебре к упражнению №39.19 (с. 196), авторов: Арефьева (Ирина Глебовна), Пирютко (Ольга Николаевна), учебного пособия издательства Народная асвета.