Номер 39.23, страница 196 - гдз по алгебре 7-9 класс сборник задач Арефьева, Пирютко

Алгебра, 7-9 класс Сборник задач, авторы: Арефьева Ирина Глебовна, Пирютко Ольга Николаевна, издательство Народная асвета, Минск, 2020

Авторы: Арефьева И. Г., Пирютко О. Н.

Тип: Сборник задач

Издательство: Народная асвета

Год издания: 2020 - 2026

Цвет обложки: синий с графиками

Допущено Министерством образования Республики Беларусь

Популярные ГДЗ в 7 классе

9 класс. Параграф 39. Арифметическая прогрессия - номер 39.23, страница 196.

№39.23 (с. 196)
Условие. №39.23 (с. 196)
скриншот условия
Алгебра, 7-9 класс Сборник задач, авторы: Арефьева Ирина Глебовна, Пирютко Ольга Николаевна, издательство Народная асвета, Минск, 2020, страница 196, номер 39.23, Условие

39.23. Найдите, при каком значении переменной последовательность является арифметической прогрессией:

a) $x+1$; $4x-9$; $4x+2$; ...

б) $2x$; $3x^2$; $4$; ...

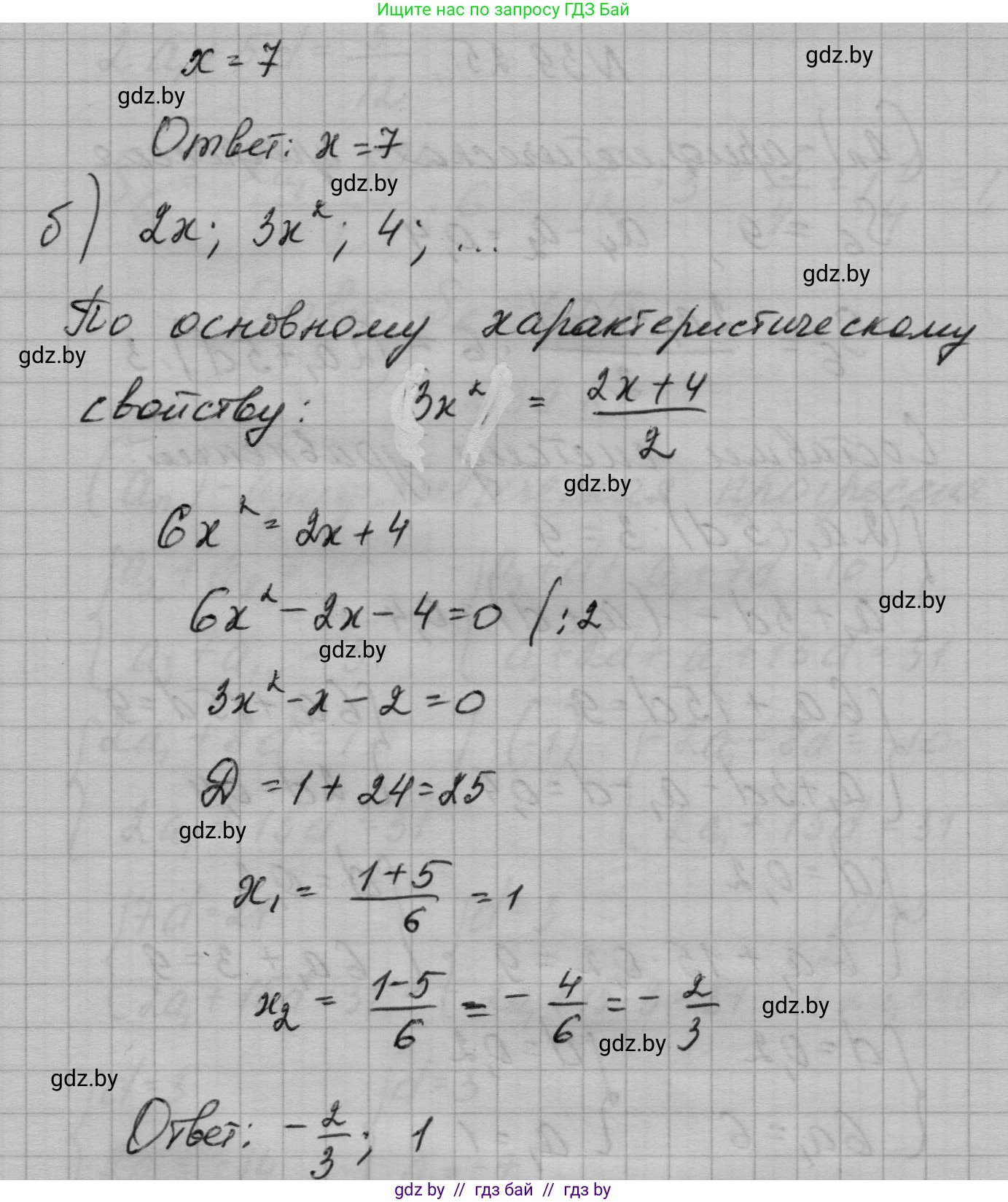
Решение. №39.23 (с. 196)
Алгебра, 7-9 класс Сборник задач, авторы: Арефьева Ирина Глебовна, Пирютко Ольга Николаевна, издательство Народная асвета, Минск, 2020, страница 196, номер 39.23, Решение Алгебра, 7-9 класс Сборник задач, авторы: Арефьева Ирина Глебовна, Пирютко Ольга Николаевна, издательство Народная асвета, Минск, 2020, страница 196, номер 39.23, Решение (продолжение 2)
Решение 2. №39.23 (с. 196)

а)

Последовательность является арифметической прогрессией, если разность между любым её членом, начиная со второго, и предыдущим членом постоянна. Эта постоянная разность называется разностью арифметической прогрессии ($d$).

Обозначим члены последовательности как $a_1 = x + 1$, $a_2 = 4x - 9$ и $a_3 = 4x + 2$.

Для арифметической прогрессии должно выполняться условие $a_2 - a_1 = a_3 - a_2$. Это также можно записать как $2a_2 = a_1 + a_3$ (каждый член, кроме первого, есть среднее арифметическое соседних с ним членов).

Подставим выражения для членов последовательности в равенство $a_2 - a_1 = a_3 - a_2$:

$(4x - 9) - (x + 1) = (4x + 2) - (4x - 9)$

Раскроем скобки и упростим обе части уравнения:

$4x - 9 - x - 1 = 4x + 2 - 4x + 9$

$3x - 10 = 11$

Теперь решим полученное линейное уравнение относительно $x$:

$3x = 11 + 10$

$3x = 21$

$x = \frac{21}{3}$

$x = 7$

Проверим: при $x=7$ последовательность принимает вид $7+1; 4(7)-9; 4(7)+2$, то есть $8; 19; 30$. Разность прогрессии $d = 19 - 8 = 11$ и $30 - 19 = 11$. Условие выполняется.

Ответ: $x=7$.

б)

Обозначим члены последовательности как $b_1 = 2x$, $b_2 = 3x^2$ и $b_3 = 4$.

Используем характеристическое свойство арифметической прогрессии: $b_2 - b_1 = b_3 - b_2$.

Подставим выражения для членов последовательности:

$3x^2 - 2x = 4 - 3x^2$

Перенесем все члены уравнения в одну сторону, чтобы получить квадратное уравнение:

$3x^2 - 2x + 3x^2 - 4 = 0$

$6x^2 - 2x - 4 = 0$

Разделим все уравнение на 2 для упрощения:

$3x^2 - x - 2 = 0$

Решим полученное квадратное уравнение с помощью дискриминанта. Формула дискриминанта: $D = b^2 - 4ac$.

$D = (-1)^2 - 4 \cdot 3 \cdot (-2) = 1 + 24 = 25$

Найдем корни уравнения по формуле $x = \frac{-b \pm \sqrt{D}}{2a}$:

$x_1 = \frac{-(-1) + \sqrt{25}}{2 \cdot 3} = \frac{1 + 5}{6} = \frac{6}{6} = 1$

$x_2 = \frac{-(-1) - \sqrt{25}}{2 \cdot 3} = \frac{1 - 5}{6} = \frac{-4}{6} = -\frac{2}{3}$

Проверим оба значения.

При $x=1$ последовательность: $2(1); 3(1)^2; 4$, то есть $2; 3; 4$. Это арифметическая прогрессия с разностью $d=1$.

При $x = -\frac{2}{3}$ последовательность: $2(-\frac{2}{3}); 3(-\frac{2}{3})^2; 4$, то есть $-\frac{4}{3}; 3(\frac{4}{9}); 4$, что равносильно $-\frac{4}{3}; \frac{4}{3}; 4$. Разность прогрессии $d = \frac{4}{3} - (-\frac{4}{3}) = \frac{8}{3}$ и $4 - \frac{4}{3} = \frac{12-4}{3} = \frac{8}{3}$. Условие выполняется.

Ответ: $x=1$ или $x=-\frac{2}{3}$.

Помогло решение? Оставьте отзыв в комментариях ниже.

Присоединяйтесь к Телеграм-группе @gdz_by_belarus

Присоединиться

Мы подготовили для вас ответ c подробным объяснением домашего задания по алгебре за 7-9 класс, для упражнения номер 39.23 расположенного на странице 196 к сборнику задач 2020 года издания для учащихся школ и гимназий.

Теперь на нашем сайте ГДЗ.ТОП вы всегда легко и бесплатно найдёте условие с правильным ответом на вопрос «Как решить ДЗ» и «Как сделать» задание по алгебре к упражнению №39.23 (с. 196), авторов: Арефьева (Ирина Глебовна), Пирютко (Ольга Николаевна), учебного пособия издательства Народная асвета.