Номер 12.26, страница 52 - гдз по алгебре 7-9 класс сборник задач Арефьева, Пирютко

Алгебра, 7-9 класс Сборник задач, авторы: Арефьева Ирина Глебовна, Пирютко Ольга Николаевна, издательство Народная асвета, Минск, 2020

Авторы: Арефьева И. Г., Пирютко О. Н.

Тип: Сборник задач

Издательство: Народная асвета

Год издания: 2020 - 2026

Цвет обложки: синий с графиками

Допущено Министерством образования Республики Беларусь

7 класс. Параграф 12. Формулы сокращенного умножения - номер 12.26, страница 52.

№12.26 (с. 52)
Условие. №12.26 (с. 52)
скриншот условия
Алгебра, 7-9 класс Сборник задач, авторы: Арефьева Ирина Глебовна, Пирютко Ольга Николаевна, издательство Народная асвета, Минск, 2020, страница 52, номер 12.26, Условие

12.26. Примените формулы квадрата суммы или квадрата разности и решите уравнение:

а) $(x - 2)^2 - x(x + 1.5) = 6;$

б) $(4 - x)^2 + x(3 - x) = 12;$

в) $(-3 - x)^2 - x(7 + x) = 5;$

г) $x(9 - x) + (-5 + x)^2 = 18.$

Решение. №12.26 (с. 52)
Алгебра, 7-9 класс Сборник задач, авторы: Арефьева Ирина Глебовна, Пирютко Ольга Николаевна, издательство Народная асвета, Минск, 2020, страница 52, номер 12.26, Решение Алгебра, 7-9 класс Сборник задач, авторы: Арефьева Ирина Глебовна, Пирютко Ольга Николаевна, издательство Народная асвета, Минск, 2020, страница 52, номер 12.26, Решение (продолжение 2)
Решение 2. №12.26 (с. 52)

а) $(x - 2)^2 - x(x + 1,5) = 6;$
Раскроем скобки. Для выражения $(x - 2)^2$ применим формулу квадрата разности $(a-b)^2 = a^2 - 2ab + b^2$. Вторую часть раскроем, умножив $-x$ на каждый член в скобках.
$(x^2 - 2 \cdot x \cdot 2 + 2^2) - (x \cdot x + x \cdot 1,5) = 6$
$(x^2 - 4x + 4) - (x^2 + 1,5x) = 6$
$x^2 - 4x + 4 - x^2 - 1,5x = 6$
Приведем подобные слагаемые:
$(x^2 - x^2) + (-4x - 1,5x) + 4 = 6$
$-5,5x + 4 = 6$
Перенесем 4 в правую часть уравнения, изменив знак:
$-5,5x = 6 - 4$
$-5,5x = 2$
Найдем $x$:
$x = \frac{2}{-5,5} = -\frac{20}{55} = -\frac{4}{11}$
Ответ: $-\frac{4}{11}$.

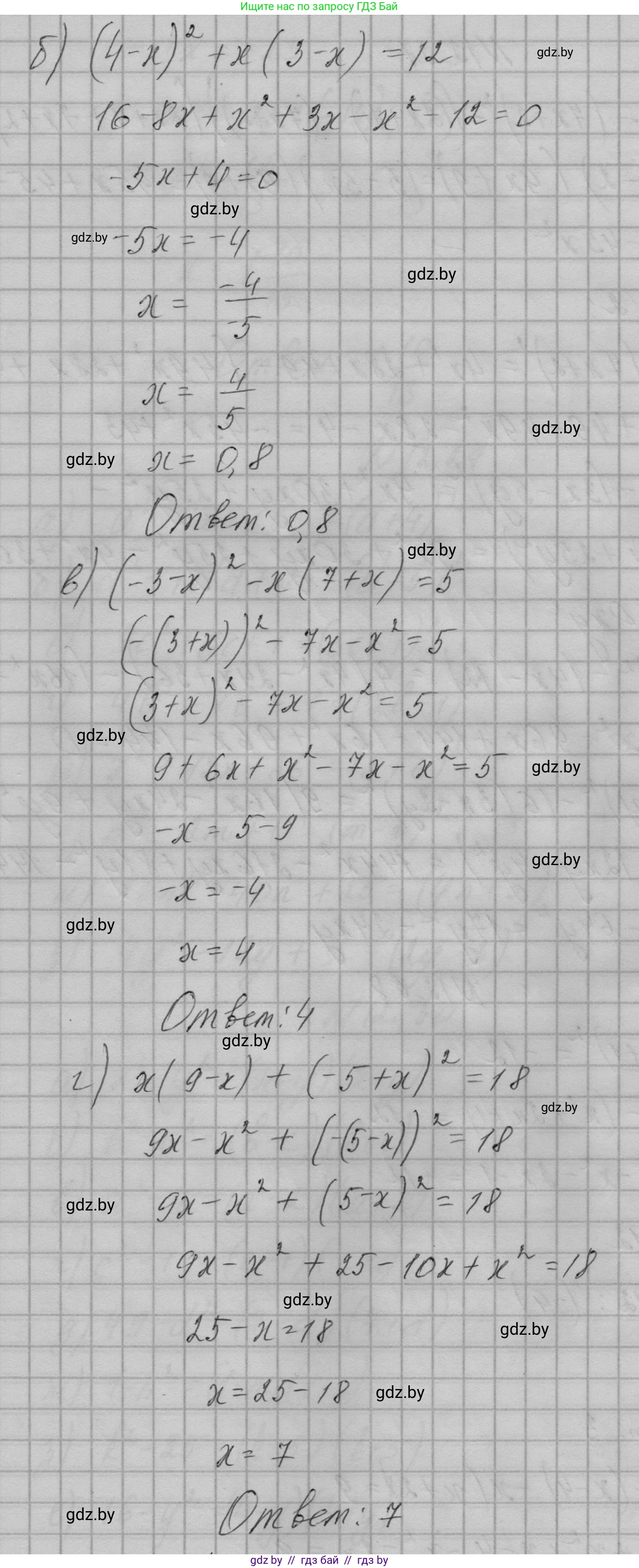
б) $(4 - x)^2 + x(3 - x) = 12;$
Раскроем скобки. Для $(4 - x)^2$ применим формулу квадрата разности $(a-b)^2 = a^2 - 2ab + b^2$.
$(4^2 - 2 \cdot 4 \cdot x + x^2) + (x \cdot 3 - x \cdot x) = 12$
$(16 - 8x + x^2) + (3x - x^2) = 12$
$16 - 8x + x^2 + 3x - x^2 = 12$
Приведем подобные слагаемые:
$(x^2 - x^2) + (-8x + 3x) + 16 = 12$
$-5x + 16 = 12$
Перенесем 16 в правую часть уравнения:
$-5x = 12 - 16$
$-5x = -4$
Найдем $x$:
$x = \frac{-4}{-5} = \frac{4}{5} = 0,8$
Ответ: $0,8$.

в) $(-3 - x)^2 - x(7 + x) = 5;$
Упростим первое слагаемое: $(-3 - x)^2 = (-(3 + x))^2 = (3 + x)^2$. Теперь применим формулу квадрата суммы $(a+b)^2 = a^2 + 2ab + b^2$ и раскроем остальные скобки.
$(3^2 + 2 \cdot 3 \cdot x + x^2) - (x \cdot 7 + x \cdot x) = 5$
$(9 + 6x + x^2) - (7x + x^2) = 5$
$9 + 6x + x^2 - 7x - x^2 = 5$
Приведем подобные слагаемые:
$(x^2 - x^2) + (6x - 7x) + 9 = 5$
$-x + 9 = 5$
Перенесем 9 в правую часть уравнения:
$-x = 5 - 9$
$-x = -4$
Найдем $x$:
$x = 4$
Ответ: $4$.

г) $x(9 - x) + (-5 + x)^2 = 18.$
Раскроем скобки. Выражение $(-5 + x)^2$ можно записать как $(x - 5)^2$ и применить формулу квадрата разности $(a-b)^2 = a^2 - 2ab + b^2$.
$(x \cdot 9 - x \cdot x) + (x^2 - 2 \cdot x \cdot 5 + 5^2) = 18$
$(9x - x^2) + (x^2 - 10x + 25) = 18$
$9x - x^2 + x^2 - 10x + 25 = 18$
Приведем подобные слагаемые:
$(-x^2 + x^2) + (9x - 10x) + 25 = 18$
$-x + 25 = 18$
Перенесем 25 в правую часть уравнения:
$-x = 18 - 25$
$-x = -7$
Найдем $x$:
$x = 7$
Ответ: $7$.

Помогло решение? Оставьте отзыв в комментариях ниже.

Присоединяйтесь к Телеграм-группе @gdz_by_belarus

Присоединиться

Мы подготовили для вас ответ c подробным объяснением домашего задания по алгебре за 7-9 класс, для упражнения номер 12.26 расположенного на странице 52 к сборнику задач 2020 года издания для учащихся школ и гимназий.

Теперь на нашем сайте ГДЗ.ТОП вы всегда легко и бесплатно найдёте условие с правильным ответом на вопрос «Как решить ДЗ» и «Как сделать» задание по алгебре к упражнению №12.26 (с. 52), авторов: Арефьева (Ирина Глебовна), Пирютко (Ольга Николаевна), учебного пособия издательства Народная асвета.