Номер 12.29, страница 52 - гдз по алгебре 7-9 класс сборник задач Арефьева, Пирютко

Алгебра, 7-9 класс Сборник задач, авторы: Арефьева Ирина Глебовна, Пирютко Ольга Николаевна, издательство Народная асвета, Минск, 2020

Авторы: Арефьева И. Г., Пирютко О. Н.

Тип: Сборник задач

Издательство: Народная асвета

Год издания: 2020 - 2026

Цвет обложки: синий с графиками

Допущено Министерством образования Республики Беларусь

Популярные ГДЗ в 7 классе

7 класс. Параграф 12. Формулы сокращенного умножения - номер 12.29, страница 52.

№12.29 (с. 52)
Условие. №12.29 (с. 52)
скриншот условия
Алгебра, 7-9 класс Сборник задач, авторы: Арефьева Ирина Глебовна, Пирютко Ольга Николаевна, издательство Народная асвета, Минск, 2020, страница 52, номер 12.29, Условие

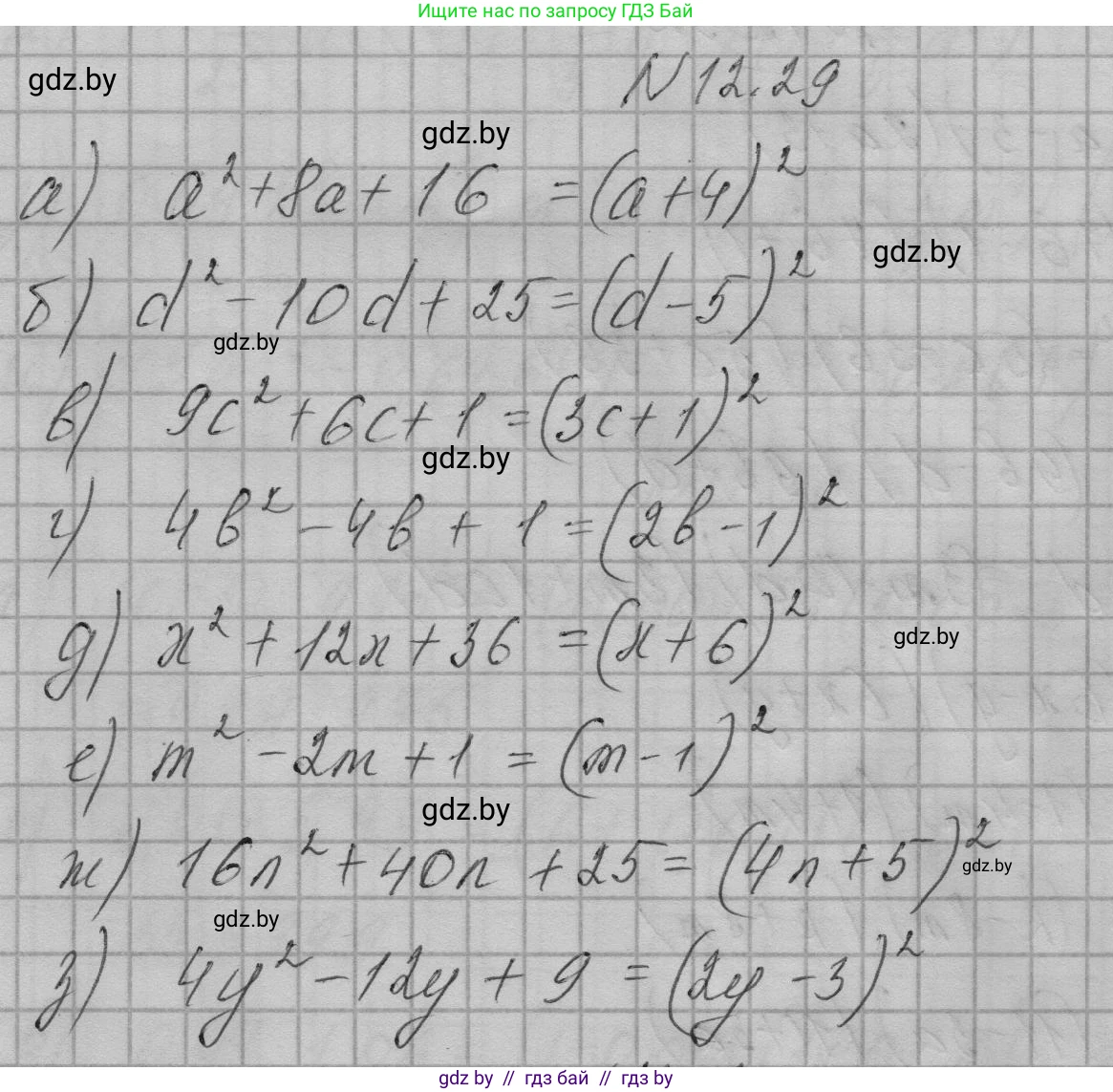
12.29. Представьте трехчлен в виде квадрата двучлена:

а) $a^2 + 8a + 16;$

б) $d^2 - 10d + 25;$

в) $9c^2 + 6c + 1;$

г) $4b^2 - 4b + 1;$

д) $x^2 + 12x + 36;$

е) $m^2 - 2m + 1;$

ж) $16n^2 + 40n + 25;$

з) $4y^2 - 12y + 9.$

Решение. №12.29 (с. 52)
Алгебра, 7-9 класс Сборник задач, авторы: Арефьева Ирина Глебовна, Пирютко Ольга Николаевна, издательство Народная асвета, Минск, 2020, страница 52, номер 12.29, Решение
Решение 2. №12.29 (с. 52)

Для решения данной задачи необходимо использовать формулы сокращенного умножения, а именно формулу квадрата суммы и квадрата разности:

  • Квадрат суммы двух выражений: $(a+b)^2 = a^2 + 2ab + b^2$
  • Квадрат разности двух выражений: $(a-b)^2 = a^2 - 2ab + b^2$

Каждый трехчлен в задании представляет собой правую часть одной из этих формул. Наша задача — определить, какой именно, и записать его в виде левой части.

а) Рассматриваем трехчлен $a^2 + 8a + 16$.
Первый член — это $a^2$, то есть квадрат выражения $a$.
Третий член — это $16$, что является квадратом числа $4$, так как $4^2 = 16$.
Средний член — $8a$. Проверим, является ли он удвоенным произведением $a$ и $4$: $2 \cdot a \cdot 4 = 8a$.
Поскольку средний член имеет знак «+», мы используем формулу квадрата суммы.
$a^2 + 8a + 16 = (a)^2 + 2 \cdot a \cdot 4 + 4^2 = (a+4)^2$.
Ответ: $(a+4)^2$.

б) Рассматриваем трехчлен $d^2 - 10d + 25$.
Первый член — это $d^2$, то есть квадрат выражения $d$.
Третий член — это $25$, что является квадратом числа $5$, так как $5^2 = 25$.
Средний член — $-10d$. Проверим, является ли он удвоенным произведением $d$ и $5$: $2 \cdot d \cdot 5 = 10d$.
Поскольку средний член имеет знак «-», мы используем формулу квадрата разности.
$d^2 - 10d + 25 = (d)^2 - 2 \cdot d \cdot 5 + 5^2 = (d-5)^2$.
Ответ: $(d-5)^2$.

в) Рассматриваем трехчлен $9c^2 + 6c + 1$.
Первый член — это $9c^2$, то есть квадрат выражения $3c$, так как $(3c)^2 = 9c^2$.
Третий член — это $1$, что является квадратом числа $1$, так как $1^2 = 1$.
Средний член — $6c$. Проверим, является ли он удвоенным произведением $3c$ и $1$: $2 \cdot (3c) \cdot 1 = 6c$.
Поскольку средний член имеет знак «+», мы используем формулу квадрата суммы.
$9c^2 + 6c + 1 = (3c)^2 + 2 \cdot (3c) \cdot 1 + 1^2 = (3c+1)^2$.
Ответ: $(3c+1)^2$.

г) Рассматриваем трехчлен $4b^2 - 4b + 1$.
Первый член — это $4b^2$, то есть квадрат выражения $2b$, так как $(2b)^2 = 4b^2$.
Третий член — это $1$, что является квадратом числа $1$, так как $1^2 = 1$.
Средний член — $-4b$. Проверим, является ли он удвоенным произведением $2b$ и $1$: $2 \cdot (2b) \cdot 1 = 4b$.
Поскольку средний член имеет знак «-», мы используем формулу квадрата разности.
$4b^2 - 4b + 1 = (2b)^2 - 2 \cdot (2b) \cdot 1 + 1^2 = (2b-1)^2$.
Ответ: $(2b-1)^2$.

д) Рассматриваем трехчлен $x^2 + 12x + 36$.
Первый член — это $x^2$, то есть квадрат выражения $x$.
Третий член — это $36$, что является квадратом числа $6$, так как $6^2 = 36$.
Средний член — $12x$. Проверим, является ли он удвоенным произведением $x$ и $6$: $2 \cdot x \cdot 6 = 12x$.
Поскольку средний член имеет знак «+», мы используем формулу квадрата суммы.
$x^2 + 12x + 36 = (x)^2 + 2 \cdot x \cdot 6 + 6^2 = (x+6)^2$.
Ответ: $(x+6)^2$.

е) Рассматриваем трехчлен $m^2 - 2m + 1$.
Первый член — это $m^2$, то есть квадрат выражения $m$.
Третий член — это $1$, что является квадратом числа $1$, так как $1^2 = 1$.
Средний член — $-2m$. Проверим, является ли он удвоенным произведением $m$ и $1$: $2 \cdot m \cdot 1 = 2m$.
Поскольку средний член имеет знак «-», мы используем формулу квадрата разности.
$m^2 - 2m + 1 = (m)^2 - 2 \cdot m \cdot 1 + 1^2 = (m-1)^2$.
Ответ: $(m-1)^2$.

ж) Рассматриваем трехчлен $16n^2 + 40n + 25$.
Первый член — это $16n^2$, то есть квадрат выражения $4n$, так как $(4n)^2 = 16n^2$.
Третий член — это $25$, что является квадратом числа $5$, так как $5^2 = 25$.
Средний член — $40n$. Проверим, является ли он удвоенным произведением $4n$ и $5$: $2 \cdot (4n) \cdot 5 = 40n$.
Поскольку средний член имеет знак «+», мы используем формулу квадрата суммы.
$16n^2 + 40n + 25 = (4n)^2 + 2 \cdot (4n) \cdot 5 + 5^2 = (4n+5)^2$.
Ответ: $(4n+5)^2$.

з) Рассматриваем трехчлен $4y^2 - 12y + 9$.
Первый член — это $4y^2$, то есть квадрат выражения $2y$, так как $(2y)^2 = 4y^2$.
Третий член — это $9$, что является квадратом числа $3$, так как $3^2 = 9$.
Средний член — $-12y$. Проверим, является ли он удвоенным произведением $2y$ и $3$: $2 \cdot (2y) \cdot 3 = 12y$.
Поскольку средний член имеет знак «-», мы используем формулу квадрата разности.
$4y^2 - 12y + 9 = (2y)^2 - 2 \cdot (2y) \cdot 3 + 3^2 = (2y-3)^2$.
Ответ: $(2y-3)^2$.

Помогло решение? Оставьте отзыв в комментариях ниже.

Присоединяйтесь к Телеграм-группе @gdz_by_belarus

Присоединиться

Мы подготовили для вас ответ c подробным объяснением домашего задания по алгебре за 7-9 класс, для упражнения номер 12.29 расположенного на странице 52 к сборнику задач 2020 года издания для учащихся школ и гимназий.

Теперь на нашем сайте ГДЗ.ТОП вы всегда легко и бесплатно найдёте условие с правильным ответом на вопрос «Как решить ДЗ» и «Как сделать» задание по алгебре к упражнению №12.29 (с. 52), авторов: Арефьева (Ирина Глебовна), Пирютко (Ольга Николаевна), учебного пособия издательства Народная асвета.