Номер 13.16, страница 57 - гдз по алгебре 7-9 класс сборник задач Арефьева, Пирютко

Алгебра, 7-9 класс Сборник задач, авторы: Арефьева Ирина Глебовна, Пирютко Ольга Николаевна, издательство Народная асвета, Минск, 2020

Авторы: Арефьева И. Г., Пирютко О. Н.

Тип: Сборник задач

Издательство: Народная асвета

Год издания: 2020 - 2026

Цвет обложки: синий с графиками

Допущено Министерством образования Республики Беларусь

Популярные ГДЗ в 7 классе

7 класс. Параграф 13. Разложение многочлена на множители - номер 13.16, страница 57.

№13.16 (с. 57)
Условие. №13.16 (с. 57)
скриншот условия
Алгебра, 7-9 класс Сборник задач, авторы: Арефьева Ирина Глебовна, Пирютко Ольга Николаевна, издательство Народная асвета, Минск, 2020, страница 57, номер 13.16, Условие

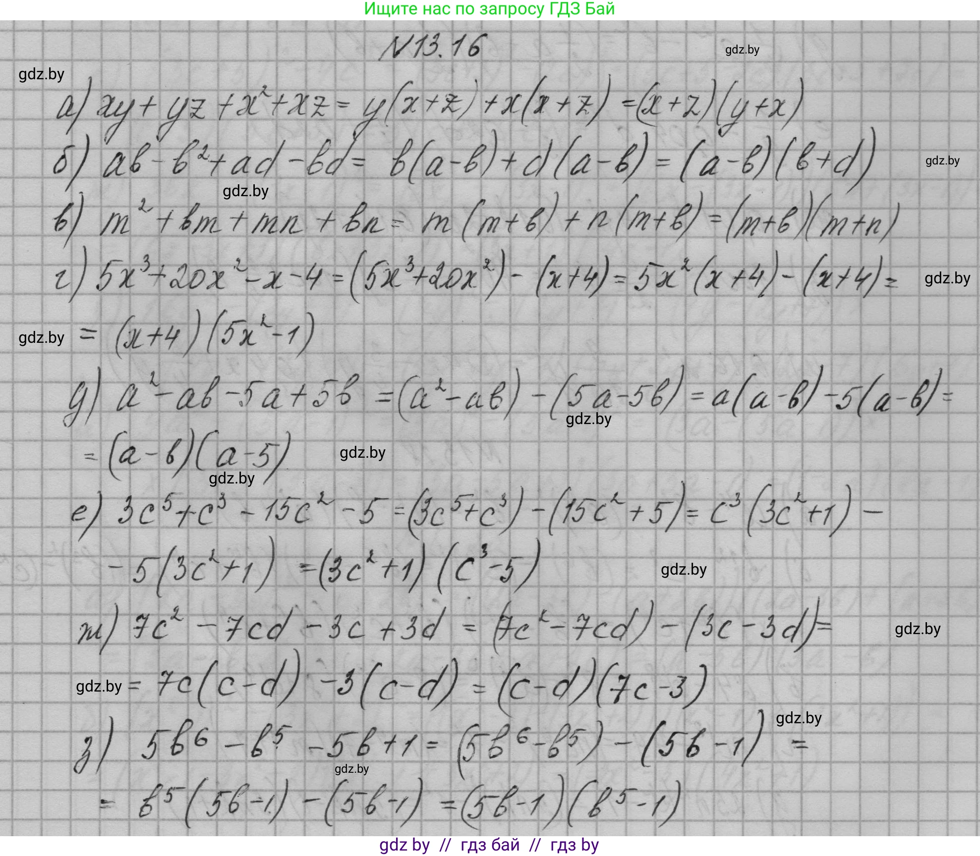
13.16. Представьте многочлен в виде произведения:

а) $xy + yz + x^2 + xz$;

б) $ab - b^2 + ad - bd$;

в) $m^2 + bm + mn + bn$;

г) $5x^3 + 20x^2 - x - 4$;

д) $a^2 - ab - 5a + 5b$;

е) $3c^5 + c^3 - 15c^2 - 5$;

ж) $7c^2 - 7cd - 3c + 3d$;

з) $5b^6 - b^5 - 5b + 1$;

и) $x^3 - 3x^2 + x - 3$;

к) $8b^2 - b - 8bc + c$;

л) $a^2 - 5ab - 2a + 10b$;

м) $2mn - 7m + 7n - 2n^2$.

Решение. №13.16 (с. 57)
Алгебра, 7-9 класс Сборник задач, авторы: Арефьева Ирина Глебовна, Пирютко Ольга Николаевна, издательство Народная асвета, Минск, 2020, страница 57, номер 13.16, Решение Алгебра, 7-9 класс Сборник задач, авторы: Арефьева Ирина Глебовна, Пирютко Ольга Николаевна, издательство Народная асвета, Минск, 2020, страница 57, номер 13.16, Решение (продолжение 2)
Решение 2. №13.16 (с. 57)

а) Для того чтобы представить многочлен $xy + yz + x^2 + xz$ в виде произведения, сгруппируем его члены. Удобно сгруппировать первое со вторым и третье с четвертым слагаемым: $(xy + yz) + (x^2 + xz)$.

В первой группе вынесем за скобки общий множитель $y$, а во второй — общий множитель $x$:

$y(x + z) + x(x + z)$

Теперь мы видим, что у обоих слагаемых есть общий множитель — скобка $(x + z)$. Вынесем его за скобки:

$(x + z)(y + x)$

Ответ: $(x + z)(x + y)$

б) Представим многочлен $ab - b^2 + ad - bd$ в виде произведения. Сгруппируем первое со вторым и третье с четвертым слагаемым: $(ab - b^2) + (ad - bd)$.

В первой группе вынесем за скобки общий множитель $b$, а во второй — общий множитель $d$:

$b(a - b) + d(a - b)$

Общим множителем является скобка $(a - b)$. Вынесем ее:

$(a - b)(b + d)$

Ответ: $(a - b)(b + d)$

в) Представим многочлен $m^2 + bm + mn + bn$ в виде произведения. Сгруппируем попарно: $(m^2 + bm) + (mn + bn)$.

Вынесем общие множители в каждой группе: $m(m + b) + n(m + b)$.

Вынесем общую скобку $(m + b)$:

$(m + b)(m + n)$

Ответ: $(m + b)(m + n)$

г) Представим многочлен $5x^3 + 20x^2 - x - 4$ в виде произведения. Сгруппируем первые два и последние два члена: $(5x^3 + 20x^2) - (x + 4)$.

Вынесем в первой группе за скобки $5x^2$:

$5x^2(x + 4) - 1(x + 4)$

Вынесем общую скобку $(x + 4)$:

$(x + 4)(5x^2 - 1)$

Ответ: $(x + 4)(5x^2 - 1)$

д) Представим многочлен $a^2 - ab - 5a + 5b$ в виде произведения. Сгруппируем слагаемые: $(a^2 - ab) - (5a - 5b)$.

Вынесем общие множители в каждой группе: $a(a - b) - 5(a - b)$.

Вынесем общую скобку $(a - b)$:

$(a - b)(a - 5)$

Ответ: $(a - 5)(a - b)$

е) Представим многочлен $3c^5 + c^3 - 15c^2 - 5$ в виде произведения. Сгруппируем слагаемые: $(3c^5 + c^3) - (15c^2 + 5)$.

Вынесем общие множители в каждой группе: $c^3(3c^2 + 1) - 5(3c^2 + 1)$.

Вынесем общую скобку $(3c^2 + 1)$:

$(3c^2 + 1)(c^3 - 5)$

Ответ: $(c^3 - 5)(3c^2 + 1)$

ж) Представим многочлен $7c^2 - 7cd - 3c + 3d$ в виде произведения. Сгруппируем слагаемые: $(7c^2 - 7cd) - (3c - 3d)$.

Вынесем общие множители в каждой группе: $7c(c - d) - 3(c - d)$.

Вынесем общую скобку $(c - d)$:

$(c - d)(7c - 3)$

Ответ: $(7c - 3)(c - d)$

з) Представим многочлен $5b^6 - b^5 - 5b + 1$ в виде произведения. Сгруппируем слагаемые: $(5b^6 - b^5) - (5b - 1)$.

Вынесем общие множители в каждой группе: $b^5(5b - 1) - 1(5b - 1)$.

Вынесем общую скобку $(5b - 1)$:

$(5b - 1)(b^5 - 1)$

Ответ: $(5b - 1)(b^5 - 1)$

и) Представим многочлен $x^3 - 3x^2 + x - 3$ в виде произведения. Сгруппируем слагаемые: $(x^3 - 3x^2) + (x - 3)$.

Вынесем общие множители в каждой группе: $x^2(x - 3) + 1(x - 3)$.

Вынесем общую скобку $(x - 3)$:

$(x - 3)(x^2 + 1)$

Ответ: $(x - 3)(x^2 + 1)$

к) Представим многочлен $8b^2 - b - 8bc + c$ в виде произведения. Перегруппируем слагаемые для удобства: $8b^2 - 8bc - b + c$.

Сгруппируем их: $(8b^2 - 8bc) - (b - c)$.

Вынесем общие множители в каждой группе: $8b(b - c) - 1(b - c)$.

Вынесем общую скобку $(b - c)$:

$(b - c)(8b - 1)$

Ответ: $(8b - 1)(b - c)$

л) Представим многочлен $a^2 - 5ab - 2a + 10b$ в виде произведения. Сгруппируем слагаемые: $(a^2 - 5ab) - (2a - 10b)$.

Вынесем общие множители в каждой группе: $a(a - 5b) - 2(a - 5b)$.

Вынесем общую скобку $(a - 5b)$:

$(a - 5b)(a - 2)$

Ответ: $(a - 2)(a - 5b)$

м) Представим многочлен $2mn - 7m + 7n - 2n^2$ в виде произведения. Перегруппируем слагаемые: $2mn - 2n^2 - 7m + 7n$.

Сгруппируем их: $(2mn - 2n^2) - (7m - 7n)$.

Вынесем общие множители в каждой группе: $2n(m - n) - 7(m - n)$.

Вынесем общую скобку $(m - n)$:

$(m - n)(2n - 7)$

Ответ: $(m - n)(2n - 7)$

Помогло решение? Оставьте отзыв в комментариях ниже.

Присоединяйтесь к Телеграм-группе @gdz_by_belarus

Присоединиться

Мы подготовили для вас ответ c подробным объяснением домашего задания по алгебре за 7-9 класс, для упражнения номер 13.16 расположенного на странице 57 к сборнику задач 2020 года издания для учащихся школ и гимназий.

Теперь на нашем сайте ГДЗ.ТОП вы всегда легко и бесплатно найдёте условие с правильным ответом на вопрос «Как решить ДЗ» и «Как сделать» задание по алгебре к упражнению №13.16 (с. 57), авторов: Арефьева (Ирина Глебовна), Пирютко (Ольга Николаевна), учебного пособия издательства Народная асвета.