Номер 13.19, страница 58 - гдз по алгебре 7-9 класс сборник задач Арефьева, Пирютко

Алгебра, 7-9 класс Сборник задач, авторы: Арефьева Ирина Глебовна, Пирютко Ольга Николаевна, издательство Народная асвета, Минск, 2020

Авторы: Арефьева И. Г., Пирютко О. Н.

Тип: Сборник задач

Издательство: Народная асвета

Год издания: 2020 - 2026

Цвет обложки: синий с графиками

Допущено Министерством образования Республики Беларусь

Популярные ГДЗ в 7 классе

7 класс. Параграф 13. Разложение многочлена на множители - номер 13.19, страница 58.

№13.19 (с. 58)
Условие. №13.19 (с. 58)
скриншот условия
Алгебра, 7-9 класс Сборник задач, авторы: Арефьева Ирина Глебовна, Пирютко Ольга Николаевна, издательство Народная асвета, Минск, 2020, страница 58, номер 13.19, Условие

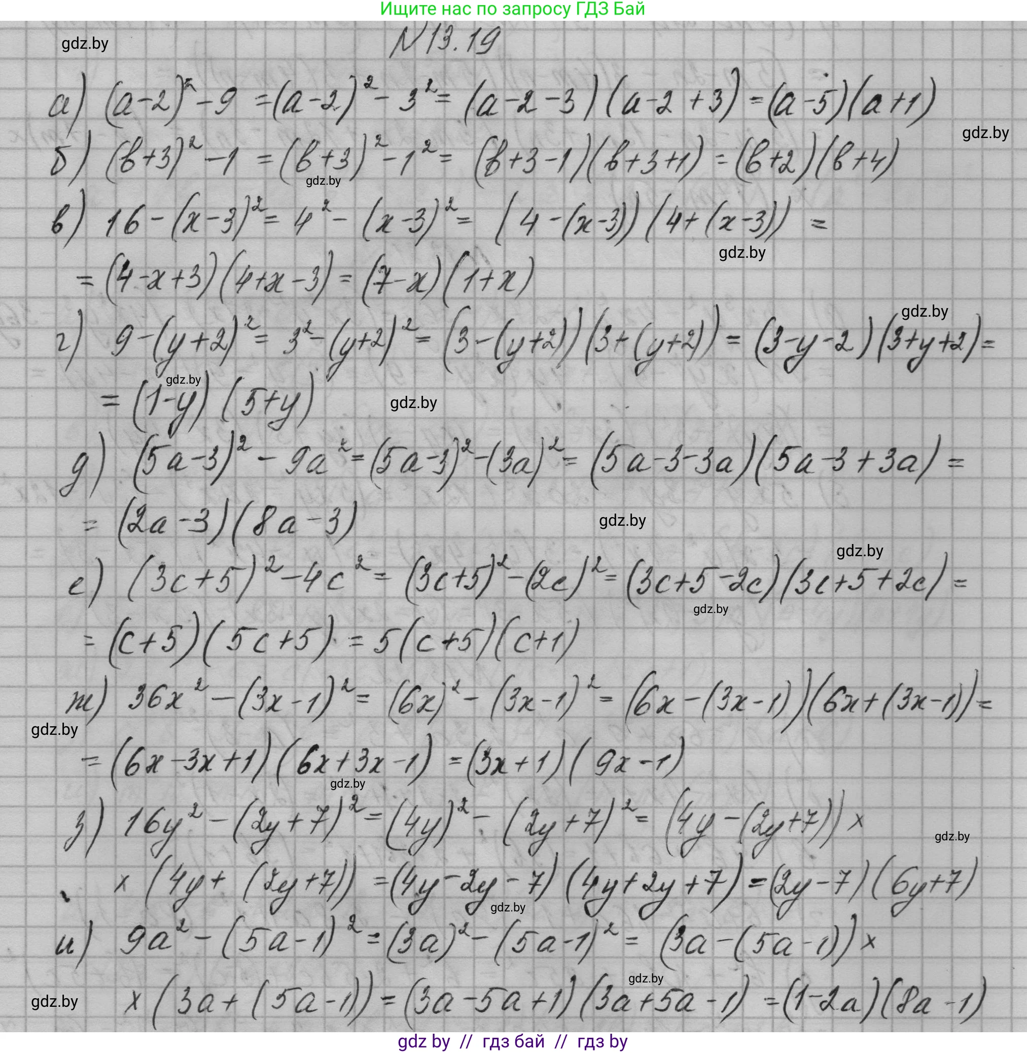
13.19. Разложите многочлен на множители, используя формулу разности квадратов:

а) $(a-2)^2 - 9$;

б) $(b+3)^2 - 1$;

в) $16 - (x-3)^2$;

г) $9 - (y+2)^2$;

д) $(5a-3)^2 - 9a^2$;

е) $(3c+5)^2 - 4c^2$;

ж) $36x^2 - (3x-1)^2$;

з) $16y^2 - (2y+7)^2$;

и) $9a^2 - (5a-1)^2$.

Решение. №13.19 (с. 58)
Алгебра, 7-9 класс Сборник задач, авторы: Арефьева Ирина Глебовна, Пирютко Ольга Николаевна, издательство Народная асвета, Минск, 2020, страница 58, номер 13.19, Решение
Решение 2. №13.19 (с. 58)

а) Для разложения многочлена $(a - 2)^2 - 9$ на множители используем формулу разности квадратов $x^2 - y^2 = (x - y)(x + y)$.
Представим $9$ как $3^2$. Тогда выражение примет вид $(a - 2)^2 - 3^2$.
В данном случае $x = a - 2$, а $y = 3$.
Подставим эти значения в формулу:
$(a - 2)^2 - 3^2 = ((a - 2) - 3)((a - 2) + 3)$.
Упростим выражения в скобках:
$(a - 2 - 3)(a - 2 + 3) = (a - 5)(a + 1)$.
Ответ: $(a - 5)(a + 1)$.

б) Для разложения многочлена $(b + 3)^2 - 1$ на множители используем формулу разности квадратов $x^2 - y^2 = (x - y)(x + y)$.
Представим $1$ как $1^2$. Тогда выражение примет вид $(b + 3)^2 - 1^2$.
Здесь $x = b + 3$, а $y = 1$.
Подставим в формулу:
$(b + 3)^2 - 1^2 = ((b + 3) - 1)((b + 3) + 1)$.
Упростим выражения в скобках:
$(b + 3 - 1)(b + 3 + 1) = (b + 2)(b + 4)$.
Ответ: $(b + 2)(b + 4)$.

в) Для разложения многочлена $16 - (x - 3)^2$ на множители используем формулу разности квадратов $a^2 - b^2 = (a - b)(a + b)$.
Представим $16$ как $4^2$. Выражение станет $4^2 - (x - 3)^2$.
Здесь $a = 4$, а $b = x - 3$.
Подставим в формулу:
$4^2 - (x - 3)^2 = (4 - (x - 3))(4 + (x - 3))$.
Раскроем внутренние скобки и упростим:
$(4 - x + 3)(4 + x - 3) = (7 - x)(x + 1)$.
Ответ: $(7 - x)(x + 1)$.

г) Для разложения многочлена $9 - (y + 2)^2$ на множители используем формулу разности квадратов $a^2 - b^2 = (a - b)(a + b)$.
Представим $9$ как $3^2$. Выражение примет вид $3^2 - (y + 2)^2$.
Здесь $a = 3$, а $b = y + 2$.
Подставим в формулу:
$3^2 - (y + 2)^2 = (3 - (y + 2))(3 + (y + 2))$.
Раскроем внутренние скобки и упростим:
$(3 - y - 2)(3 + y + 2) = (1 - y)(y + 5)$.
Ответ: $(1 - y)(y + 5)$.

д) Для разложения многочлена $(5a - 3)^2 - 9a^2$ на множители используем формулу разности квадратов $x^2 - y^2 = (x - y)(x + y)$.
Представим $9a^2$ как $(3a)^2$. Выражение примет вид $(5a - 3)^2 - (3a)^2$.
Здесь $x = 5a - 3$, а $y = 3a$.
Подставим в формулу:
$(5a - 3)^2 - (3a)^2 = ((5a - 3) - 3a)((5a - 3) + 3a)$.
Упростим выражения в скобках:
$(5a - 3 - 3a)(5a - 3 + 3a) = (2a - 3)(8a - 3)$.
Ответ: $(2a - 3)(8a - 3)$.

е) Для разложения многочлена $(3c + 5)^2 - 4c^2$ на множители используем формулу разности квадратов $x^2 - y^2 = (x - y)(x + y)$.
Представим $4c^2$ как $(2c)^2$. Выражение станет $(3c + 5)^2 - (2c)^2$.
Здесь $x = 3c + 5$, а $y = 2c$.
Подставим в формулу:
$(3c + 5)^2 - (2c)^2 = ((3c + 5) - 2c)((3c + 5) + 2c)$.
Упростим выражения в скобках:
$(3c + 5 - 2c)(3c + 5 + 2c) = (c + 5)(5c + 5)$.
Во втором множителе можно вынести общий множитель 5 за скобку:
$(c + 5) \cdot 5(c + 1) = 5(c + 1)(c + 5)$.
Ответ: $5(c + 1)(c + 5)$.

ж) Для разложения многочлена $36x^2 - (3x - 1)^2$ на множители используем формулу разности квадратов $a^2 - b^2 = (a - b)(a + b)$.
Представим $36x^2$ как $(6x)^2$. Выражение примет вид $(6x)^2 - (3x - 1)^2$.
Здесь $a = 6x$, а $b = 3x - 1$.
Подставим в формулу:
$(6x)^2 - (3x - 1)^2 = (6x - (3x - 1))(6x + (3x - 1))$.
Раскроем внутренние скобки и упростим:
$(6x - 3x + 1)(6x + 3x - 1) = (3x + 1)(9x - 1)$.
Ответ: $(3x + 1)(9x - 1)$.

з) Для разложения многочлена $16y^2 - (2y + 7)^2$ на множители используем формулу разности квадратов $a^2 - b^2 = (a - b)(a + b)$.
Представим $16y^2$ как $(4y)^2$. Выражение станет $(4y)^2 - (2y + 7)^2$.
Здесь $a = 4y$, а $b = 2y + 7$.
Подставим в формулу:
$(4y)^2 - (2y + 7)^2 = (4y - (2y + 7))(4y + (2y + 7))$.
Раскроем внутренние скобки и упростим:
$(4y - 2y - 7)(4y + 2y + 7) = (2y - 7)(6y + 7)$.
Ответ: $(2y - 7)(6y + 7)$.

и) Для разложения многочлена $9a^2 - (5a - 1)^2$ на множители используем формулу разности квадратов $x^2 - y^2 = (x - y)(x + y)$.
Представим $9a^2$ как $(3a)^2$. Выражение примет вид $(3a)^2 - (5a - 1)^2$.
Здесь $x = 3a$, а $y = 5a - 1$.
Подставим в формулу:
$(3a)^2 - (5a - 1)^2 = (3a - (5a - 1))(3a + (5a - 1))$.
Раскроем внутренние скобки и упростим:
$(3a - 5a + 1)(3a + 5a - 1) = (-2a + 1)(8a - 1)$.
Для удобства можно записать первый множитель как $(1 - 2a)$.
$(1 - 2a)(8a - 1)$.
Ответ: $(1 - 2a)(8a - 1)$.

Помогло решение? Оставьте отзыв в комментариях ниже.

Присоединяйтесь к Телеграм-группе @gdz_by_belarus

Присоединиться

Мы подготовили для вас ответ c подробным объяснением домашего задания по алгебре за 7-9 класс, для упражнения номер 13.19 расположенного на странице 58 к сборнику задач 2020 года издания для учащихся школ и гимназий.

Теперь на нашем сайте ГДЗ.ТОП вы всегда легко и бесплатно найдёте условие с правильным ответом на вопрос «Как решить ДЗ» и «Как сделать» задание по алгебре к упражнению №13.19 (с. 58), авторов: Арефьева (Ирина Глебовна), Пирютко (Ольга Николаевна), учебного пособия издательства Народная асвета.