Номер 14.20, страница 63 - гдз по алгебре 7-9 класс сборник задач Арефьева, Пирютко

Алгебра, 7-9 класс Сборник задач, авторы: Арефьева Ирина Глебовна, Пирютко Ольга Николаевна, издательство Народная асвета, Минск, 2020

Авторы: Арефьева И. Г., Пирютко О. Н.

Тип: Сборник задач

Издательство: Народная асвета

Год издания: 2020 - 2026

Цвет обложки: синий с графиками

Допущено Министерством образования Республики Беларусь

Популярные ГДЗ в 7 классе

7 класс. Параграф 14. Линейные уравнения с одной переменной. Решение текстовых задач с помощью линейных уравнений - номер 14.20, страница 63.

№14.20 (с. 63)
Условие. №14.20 (с. 63)
скриншот условия
Алгебра, 7-9 класс Сборник задач, авторы: Арефьева Ирина Глебовна, Пирютко Ольга Николаевна, издательство Народная асвета, Минск, 2020, страница 63, номер 14.20, Условие

14.20. Умножьте обе части уравнения на одно и то же число и решите уравнение:

а) $x - \frac{x}{8} = 5;$

б) $x + \frac{5x}{7} = 1;$

в) $\frac{4x - 1}{3} = x + 2;$

г) $\frac{1 - 7x}{4} = \frac{3x + 10}{3};$

д) $\frac{9 - 7x}{5} = \frac{3 - 2x}{4};$

е) $\frac{7x - 1}{12} = \frac{5 - x}{18}.$

Решение. №14.20 (с. 63)
Алгебра, 7-9 класс Сборник задач, авторы: Арефьева Ирина Глебовна, Пирютко Ольга Николаевна, издательство Народная асвета, Минск, 2020, страница 63, номер 14.20, Решение Алгебра, 7-9 класс Сборник задач, авторы: Арефьева Ирина Глебовна, Пирютко Ольга Николаевна, издательство Народная асвета, Минск, 2020, страница 63, номер 14.20, Решение (продолжение 2)
Решение 2. №14.20 (с. 63)

а)

Чтобы избавиться от знаменателя в уравнении $x - \frac{x}{8} = 5$, умножим обе части уравнения на 8:

$8 \cdot (x - \frac{x}{8}) = 8 \cdot 5$

$8x - x = 40$

$7x = 40$

$x = \frac{40}{7}$

$x = 5\frac{5}{7}$

Ответ: $5\frac{5}{7}$.

б)

Чтобы избавиться от знаменателя в уравнении $x + \frac{5x}{7} = 1$, умножим обе части уравнения на 7:

$7 \cdot (x + \frac{5x}{7}) = 7 \cdot 1$

$7x + 5x = 7$

$12x = 7$

$x = \frac{7}{12}$

Ответ: $\frac{7}{12}$.

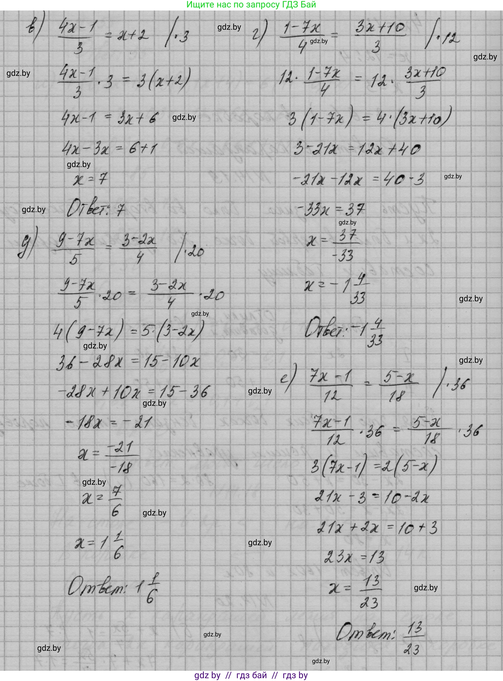
в)

Чтобы избавиться от знаменателя в уравнении $\frac{4x - 1}{3} = x + 2$, умножим обе части уравнения на 3:

$3 \cdot \frac{4x - 1}{3} = 3 \cdot (x + 2)$

$4x - 1 = 3x + 6$

Перенесем слагаемые с переменной $x$ в левую часть, а числа — в правую:

$4x - 3x = 6 + 1$

$x = 7$

Ответ: 7.

г)

В уравнении $\frac{1 - 7x}{4} = \frac{3x + 10}{3}$ есть два знаменателя: 4 и 3. Чтобы избавиться от них, умножим обе части уравнения на их наименьшее общее кратное, которое равно 12:

$12 \cdot \frac{1 - 7x}{4} = 12 \cdot \frac{3x + 10}{3}$

$3 \cdot (1 - 7x) = 4 \cdot (3x + 10)$

Раскроем скобки:

$3 - 21x = 12x + 40$

Перенесем слагаемые с переменной $x$ в левую часть, а числа — в правую:

$-21x - 12x = 40 - 3$

$-33x = 37$

$x = -\frac{37}{33} = -1\frac{4}{33}$

Ответ: $-1\frac{4}{33}$.

д)

В уравнении $\frac{9 - 7x}{5} = \frac{3 - 2x}{4}$ знаменатели равны 5 и 4. Умножим обе части уравнения на их наименьшее общее кратное, которое равно 20:

$20 \cdot \frac{9 - 7x}{5} = 20 \cdot \frac{3 - 2x}{4}$

$4 \cdot (9 - 7x) = 5 \cdot (3 - 2x)$

Раскроем скобки:

$36 - 28x = 15 - 10x$

Перенесем слагаемые с переменной $x$ в левую часть, а числа — в правую:

$-28x + 10x = 15 - 36$

$-18x = -21$

$x = \frac{-21}{-18} = \frac{7}{6} = 1\frac{1}{6}$

Ответ: $1\frac{1}{6}$.

е)

В уравнении $\frac{7x - 1}{12} = \frac{5 - x}{18}$ знаменатели равны 12 и 18. Их наименьшее общее кратное равно 36. Умножим обе части уравнения на 36:

$36 \cdot \frac{7x - 1}{12} = 36 \cdot \frac{5 - x}{18}$

$3 \cdot (7x - 1) = 2 \cdot (5 - x)$

Раскроем скобки:

$21x - 3 = 10 - 2x$

Перенесем слагаемые с переменной $x$ в левую часть, а числа — в правую:

$21x + 2x = 10 + 3$

$23x = 13$

$x = \frac{13}{23}$

Ответ: $\frac{13}{23}$.

Помогло решение? Оставьте отзыв в комментариях ниже.

Присоединяйтесь к Телеграм-группе @gdz_by_belarus

Присоединиться

Мы подготовили для вас ответ c подробным объяснением домашего задания по алгебре за 7-9 класс, для упражнения номер 14.20 расположенного на странице 63 к сборнику задач 2020 года издания для учащихся школ и гимназий.

Теперь на нашем сайте ГДЗ.ТОП вы всегда легко и бесплатно найдёте условие с правильным ответом на вопрос «Как решить ДЗ» и «Как сделать» задание по алгебре к упражнению №14.20 (с. 63), авторов: Арефьева (Ирина Глебовна), Пирютко (Ольга Николаевна), учебного пособия издательства Народная асвета.