Номер 14.24, страница 64 - гдз по алгебре 7-9 класс сборник задач Арефьева, Пирютко

Алгебра, 7-9 класс Сборник задач, авторы: Арефьева Ирина Глебовна, Пирютко Ольга Николаевна, издательство Народная асвета, Минск, 2020

Авторы: Арефьева И. Г., Пирютко О. Н.

Тип: Сборник задач

Издательство: Народная асвета

Год издания: 2020 - 2026

Цвет обложки: синий с графиками

Допущено Министерством образования Республики Беларусь

Популярные ГДЗ в 7 классе

7 класс. Параграф 14. Линейные уравнения с одной переменной. Решение текстовых задач с помощью линейных уравнений - номер 14.24, страница 64.

№14.24 (с. 64)
Условие. №14.24 (с. 64)
скриншот условия
Алгебра, 7-9 класс Сборник задач, авторы: Арефьева Ирина Глебовна, Пирютко Ольга Николаевна, издательство Народная асвета, Минск, 2020, страница 64, номер 14.24, Условие

14.24. Выполните необходимые тождественные преобразования и решите уравнение:

а) $ (3-x)(x+5) = x(1-x) $;

б) $ (x-1)(2x-2) = (2x-1)(x+2) $;

в) $ (x+1)(4x-3) = (2x-5)(2x+5)-1 $;

г) $ (x+7)(x-2) = (x+11)(x-6)-7 $.

Решение. №14.24 (с. 64)
Алгебра, 7-9 класс Сборник задач, авторы: Арефьева Ирина Глебовна, Пирютко Ольга Николаевна, издательство Народная асвета, Минск, 2020, страница 64, номер 14.24, Решение Алгебра, 7-9 класс Сборник задач, авторы: Арефьева Ирина Глебовна, Пирютко Ольга Николаевна, издательство Народная асвета, Минск, 2020, страница 64, номер 14.24, Решение (продолжение 2)
Решение 2. №14.24 (с. 64)

а) $(3 - x)(x + 5) = x(1 - x)$
Раскроем скобки в обеих частях уравнения:
$3x + 15 - x^2 - 5x = x - x^2$
Приведем подобные слагаемые в левой части:
$-x^2 - 2x + 15 = x - x^2$
Прибавим к обеим частям уравнения $x^2$. Слагаемые с $x^2$ взаимно уничтожатся:
$-2x + 15 = x$
Перенесем слагаемые с переменной $x$ в одну сторону, а свободные члены в другую:
$15 = x + 2x$
$15 = 3x$
Разделим обе части на 3, чтобы найти $x$:
$x = \frac{15}{3}$
$x = 5$
Ответ: $5$.

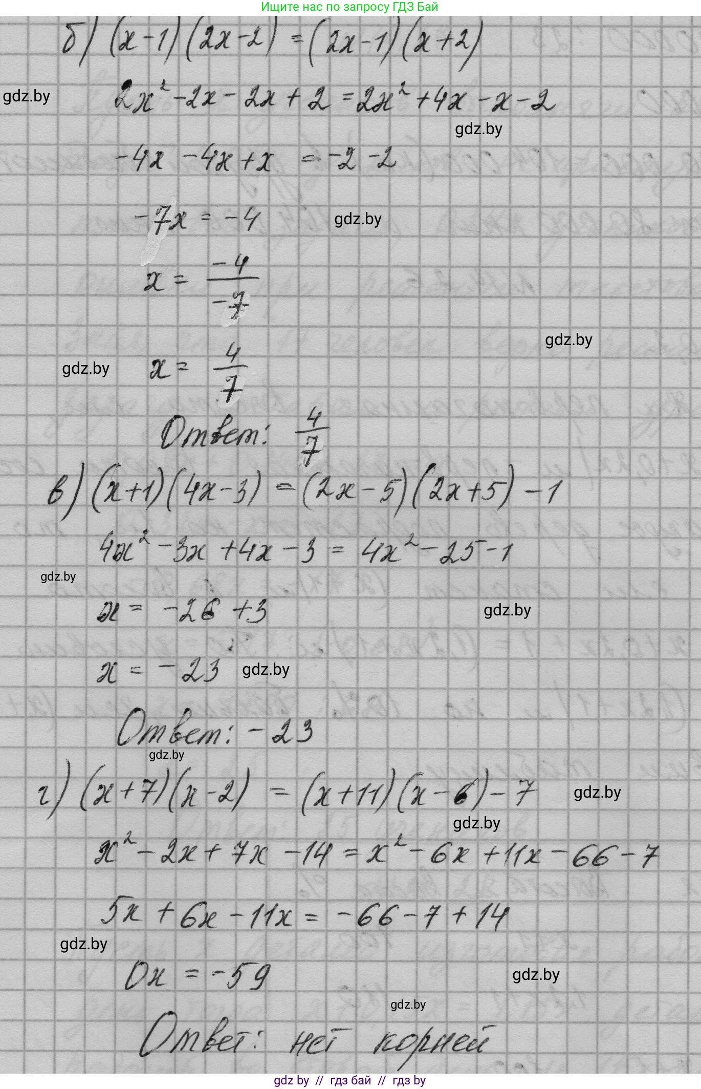
б) $(x - 1)(2x - 2) = (2x - 1)(x + 2)$
Раскроем скобки в обеих частях уравнения:
$2x^2 - 2x - 2x + 2 = 2x^2 + 4x - x - 2$
Приведем подобные слагаемые в каждой части:
$2x^2 - 4x + 2 = 2x^2 + 3x - 2$
Вычтем $2x^2$ из обеих частей уравнения:
$-4x + 2 = 3x - 2$
Перенесем слагаемые с $x$ в правую часть, а свободные члены - в левую:
$2 + 2 = 3x + 4x$
$4 = 7x$
Найдем $x$:
$x = \frac{4}{7}$
Ответ: $\frac{4}{7}$.

в) $(x + 1)(4x - 3) = (2x - 5)(2x + 5) - 1$
Раскроем скобки в левой части. В правой части используем формулу разности квадратов $(a - b)(a + b) = a^2 - b^2$:
$4x^2 - 3x + 4x - 3 = ((2x)^2 - 5^2) - 1$
$4x^2 + x - 3 = 4x^2 - 25 - 1$
Приведем подобные слагаемые:
$4x^2 + x - 3 = 4x^2 - 26$
Вычтем $4x^2$ из обеих частей уравнения:
$x - 3 = -26$
Перенесем -3 в правую часть, изменив знак:
$x = -26 + 3$
$x = -23$
Ответ: $-23$.

г) $(x + 7)(x - 2) = (x + 11)(x - 6) - 7$
Раскроем скобки в обеих частях уравнения:
$x^2 - 2x + 7x - 14 = (x^2 - 6x + 11x - 66) - 7$
Приведем подобные слагаемые в каждой части:
$x^2 + 5x - 14 = x^2 + 5x - 73$
Вычтем из обеих частей $x^2$ и $5x$:
$-14 = -73$
Получено неверное числовое равенство, не зависящее от $x$. Это означает, что уравнение не имеет решений.
Ответ: корней нет.

Помогло решение? Оставьте отзыв в комментариях ниже.

Присоединяйтесь к Телеграм-группе @gdz_by_belarus

Присоединиться

Мы подготовили для вас ответ c подробным объяснением домашего задания по алгебре за 7-9 класс, для упражнения номер 14.24 расположенного на странице 64 к сборнику задач 2020 года издания для учащихся школ и гимназий.

Теперь на нашем сайте ГДЗ.ТОП вы всегда легко и бесплатно найдёте условие с правильным ответом на вопрос «Как решить ДЗ» и «Как сделать» задание по алгебре к упражнению №14.24 (с. 64), авторов: Арефьева (Ирина Глебовна), Пирютко (Ольга Николаевна), учебного пособия издательства Народная асвета.