Номер 16.20, страница 72 - гдз по алгебре 7-9 класс сборник задач Арефьева, Пирютко

Алгебра, 7-9 класс Сборник задач, авторы: Арефьева Ирина Глебовна, Пирютко Ольга Николаевна, издательство Народная асвета, Минск, 2020

Авторы: Арефьева И. Г., Пирютко О. Н.

Тип: Сборник задач

Издательство: Народная асвета

Год издания: 2020 - 2026

Цвет обложки: синий с графиками

Допущено Министерством образования Республики Беларусь

Популярные ГДЗ в 7 классе

7 класс. Параграф 16. Линейное неравенство с одной переменной - номер 16.20, страница 72.

№16.20 (с. 72)
Условие. №16.20 (с. 72)
скриншот условия
Алгебра, 7-9 класс Сборник задач, авторы: Арефьева Ирина Глебовна, Пирютко Ольга Николаевна, издательство Народная асвета, Минск, 2020, страница 72, номер 16.20, Условие Алгебра, 7-9 класс Сборник задач, авторы: Арефьева Ирина Глебовна, Пирютко Ольга Николаевна, издательство Народная асвета, Минск, 2020, страница 72, номер 16.20, Условие (продолжение 2)

16.20. Выполните необходимые тождественные преобразования и решите неравенство:

а) $3x^2 - 3x(x - 6) \ge 2x + 2;$

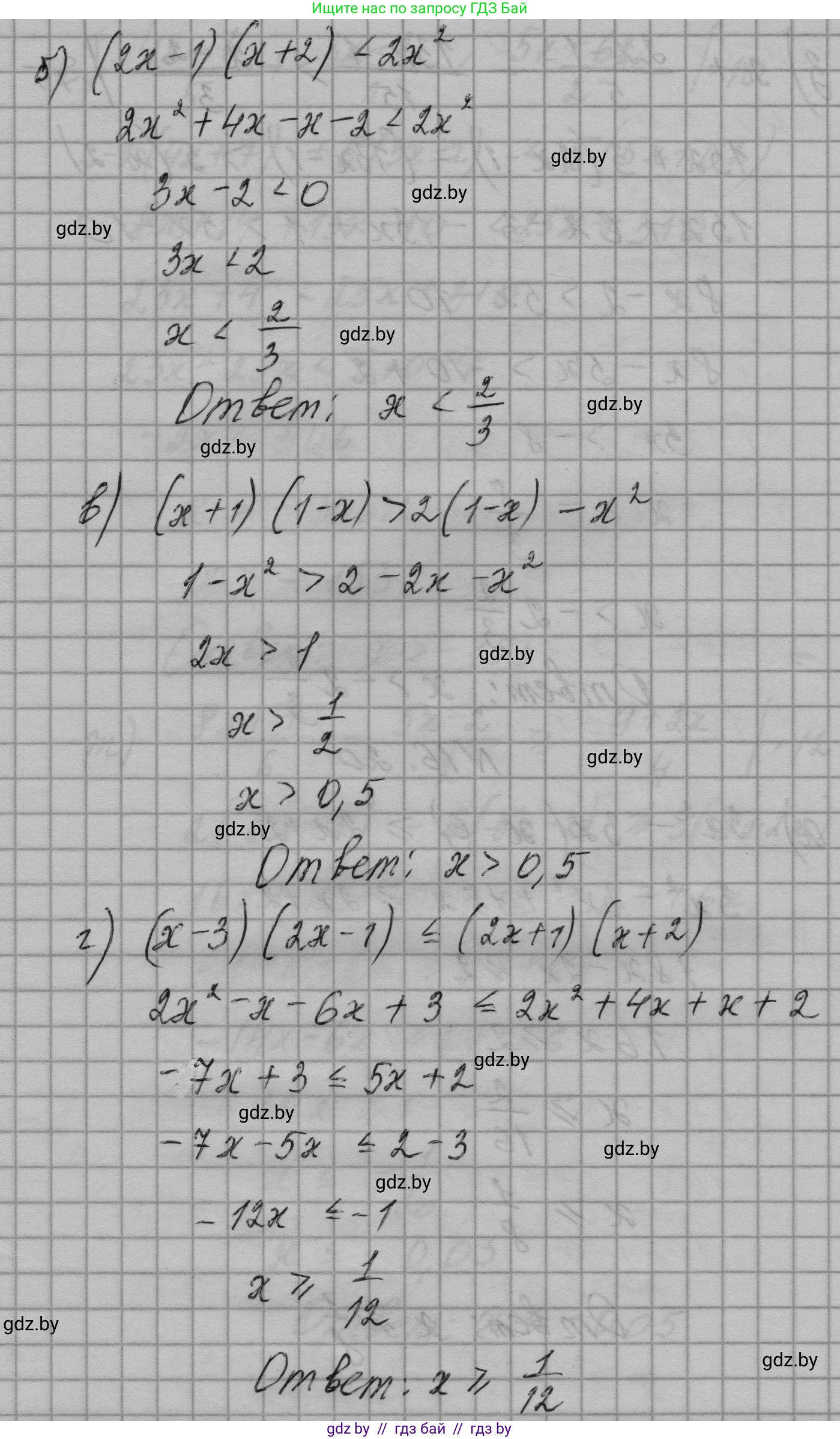
б) $(2x - 1)(x + 2) < 2x^2;$

в) $(x + 1)(1 - x) > 2(1 - x) - x^2;$

г) $(x - 3)(2x - 1) \le (2x + 1)(x + 2).$

Решение. №16.20 (с. 72)
Алгебра, 7-9 класс Сборник задач, авторы: Арефьева Ирина Глебовна, Пирютко Ольга Николаевна, издательство Народная асвета, Минск, 2020, страница 72, номер 16.20, Решение Алгебра, 7-9 класс Сборник задач, авторы: Арефьева Ирина Глебовна, Пирютко Ольга Николаевна, издательство Народная асвета, Минск, 2020, страница 72, номер 16.20, Решение (продолжение 2)
Решение 2. №16.20 (с. 72)

а) Решим неравенство $3x^2 - 3x(x - 6) \ge 2x + 2$.
Сначала раскроем скобки в левой части:
$3x^2 - 3x^2 + 18x \ge 2x + 2$
Приведем подобные слагаемые:
$18x \ge 2x + 2$
Теперь перенесем все слагаемые с переменной $x$ в левую часть, а числовые слагаемые оставим в правой:
$18x - 2x \ge 2$
$16x \ge 2$
Разделим обе части неравенства на 16:
$x \ge \frac{2}{16}$
Сократим дробь:
$x \ge \frac{1}{8}$

Ответ: $x \in [\frac{1}{8}, +\infty)$.

б) Решим неравенство $(2x - 1)(x + 2) < 2x^2$.
Раскроем скобки в левой части, перемножив многочлены:
$2x^2 + 4x - x - 2 < 2x^2$
Приведем подобные слагаемые в левой части:
$2x^2 + 3x - 2 < 2x^2$
Перенесем все слагаемые в левую часть:
$2x^2 + 3x - 2 - 2x^2 < 0$
$3x - 2 < 0$
Перенесем число в правую часть:
$3x < 2$
Разделим обе части на 3:
$x < \frac{2}{3}$

Ответ: $x \in (-\infty, \frac{2}{3})$.

в) Решим неравенство $(x + 1)(1 - x) > 2(1 - x) - x^2$.
В левой части используем формулу разности квадратов $(a+b)(a-b) = a^2-b^2$. В правой части раскроем скобки:
$1 - x^2 > 2 - 2x - x^2$
Перенесем все слагаемые в левую часть и приведем подобные:
$1 - x^2 - 2 + 2x + x^2 > 0$
$2x - 1 > 0$
Перенесем число в правую часть:
$2x > 1$
Разделим обе части на 2:
$x > \frac{1}{2}$

Ответ: $x \in (\frac{1}{2}, +\infty)$.

г) Решим неравенство $(x - 3)(2x - 1) \le (2x + 1)(x + 2)$.
Раскроем скобки в обеих частях неравенства:
$2x^2 - x - 6x + 3 \le 2x^2 + 4x + x + 2$
Приведем подобные слагаемые в каждой части:
$2x^2 - 7x + 3 \le 2x^2 + 5x + 2$
Перенесем слагаемые с $x^2$ и $x$ в правую часть, а числа — в левую, чтобы коэффициент при $x$ был положительным:
$3 - 2 \le 2x^2 - 2x^2 + 5x + 7x$
$1 \le 12x$
Запишем неравенство в более привычном виде и разделим на 12:
$12x \ge 1$
$x \ge \frac{1}{12}$

Ответ: $x \in [\frac{1}{12}, +\infty)$.

Помогло решение? Оставьте отзыв в комментариях ниже.

Присоединяйтесь к Телеграм-группе @gdz_by_belarus

Присоединиться

Мы подготовили для вас ответ c подробным объяснением домашего задания по алгебре за 7-9 класс, для упражнения номер 16.20 расположенного на странице 72 к сборнику задач 2020 года издания для учащихся школ и гимназий.

Теперь на нашем сайте ГДЗ.ТОП вы всегда легко и бесплатно найдёте условие с правильным ответом на вопрос «Как решить ДЗ» и «Как сделать» задание по алгебре к упражнению №16.20 (с. 72), авторов: Арефьева (Ирина Глебовна), Пирютко (Ольга Николаевна), учебного пособия издательства Народная асвета.