Номер 16.21, страница 73 - гдз по алгебре 7-9 класс сборник задач Арефьева, Пирютко

Алгебра, 7-9 класс Сборник задач, авторы: Арефьева Ирина Глебовна, Пирютко Ольга Николаевна, издательство Народная асвета, Минск, 2020

Авторы: Арефьева И. Г., Пирютко О. Н.

Тип: Сборник задач

Издательство: Народная асвета

Год издания: 2020 - 2026

Цвет обложки: синий с графиками

Допущено Министерством образования Республики Беларусь

7 класс. Параграф 16. Линейное неравенство с одной переменной - номер 16.21, страница 73.

№16.21 (с. 73)
Условие. №16.21 (с. 73)
скриншот условия
Алгебра, 7-9 класс Сборник задач, авторы: Арефьева Ирина Глебовна, Пирютко Ольга Николаевна, издательство Народная асвета, Минск, 2020, страница 73, номер 16.21, Условие

16.21. Примените формулы сокращенного умножения и решите неравенство:

а) $(x-7)^2 \ge x(x-14)$;

б) $(x-5)^2 < x(x-5) + 6$;

в) $(2x-3)^2 \ge (x+6)(4x-1)$;

г) $(x-2)^2 - (x+3)^2 \le 15$;

д) $(x-4)^2 - (x-8)^2 > 32;$

е) $(2x-5)^2 - 0,5x < (2x-1)(2x+1) - 15.$

Решение. №16.21 (с. 73)
Алгебра, 7-9 класс Сборник задач, авторы: Арефьева Ирина Глебовна, Пирютко Ольга Николаевна, издательство Народная асвета, Минск, 2020, страница 73, номер 16.21, Решение Алгебра, 7-9 класс Сборник задач, авторы: Арефьева Ирина Глебовна, Пирютко Ольга Николаевна, издательство Народная асвета, Минск, 2020, страница 73, номер 16.21, Решение (продолжение 2)
Решение 2. №16.21 (с. 73)

а) $(x-7)^2 \geq x(x-14)$
Раскроем скобки, используя формулу квадрата разности $(a-b)^2 = a^2 - 2ab + b^2$ для левой части и распределительный закон для правой:
$x^2 - 2 \cdot x \cdot 7 + 7^2 \geq x \cdot x - x \cdot 14$
$x^2 - 14x + 49 \geq x^2 - 14x$
Перенесем все члены в левую часть неравенства:
$x^2 - 14x + 49 - x^2 + 14x \geq 0$
Приведем подобные слагаемые:
$(x^2 - x^2) + (-14x + 14x) + 49 \geq 0$
$49 \geq 0$
Это неравенство верно при любом значении $x$.
Ответ: $x \in (-\infty; +\infty)$.

б) $(x-5)^2 < x(x-5) + 6$
Раскроем скобки в обеих частях неравенства:
$x^2 - 2 \cdot x \cdot 5 + 5^2 < x^2 - 5x + 6$
$x^2 - 10x + 25 < x^2 - 5x + 6$
Перенесем члены с $x$ в левую часть, а постоянные члены - в правую:
$x^2 - 10x - x^2 + 5x < 6 - 25$
$-5x < -19$
Разделим обе части на -5, изменив знак неравенства на противоположный:
$x > \frac{-19}{-5}$
$x > 3,8$
Ответ: $x \in (3,8; +\infty)$.

в) $(2x-3)^2 \geq (x+6)(4x-1)$
Раскроем скобки. В левой части применим формулу квадрата разности, в правой – правило умножения многочленов:
$(2x)^2 - 2 \cdot 2x \cdot 3 + 3^2 \geq 4x^2 - x + 24x - 6$
$4x^2 - 12x + 9 \geq 4x^2 + 23x - 6$
Перенесем члены с $x$ в левую часть, а постоянные члены - в правую:
$4x^2 - 12x - 4x^2 - 23x \geq -6 - 9$
$-35x \geq -15$
Разделим обе части на -35, изменив знак неравенства на противоположный:
$x \leq \frac{-15}{-35}$
$x \leq \frac{3}{7}$
Ответ: $x \in (-\infty; \frac{3}{7}]$.

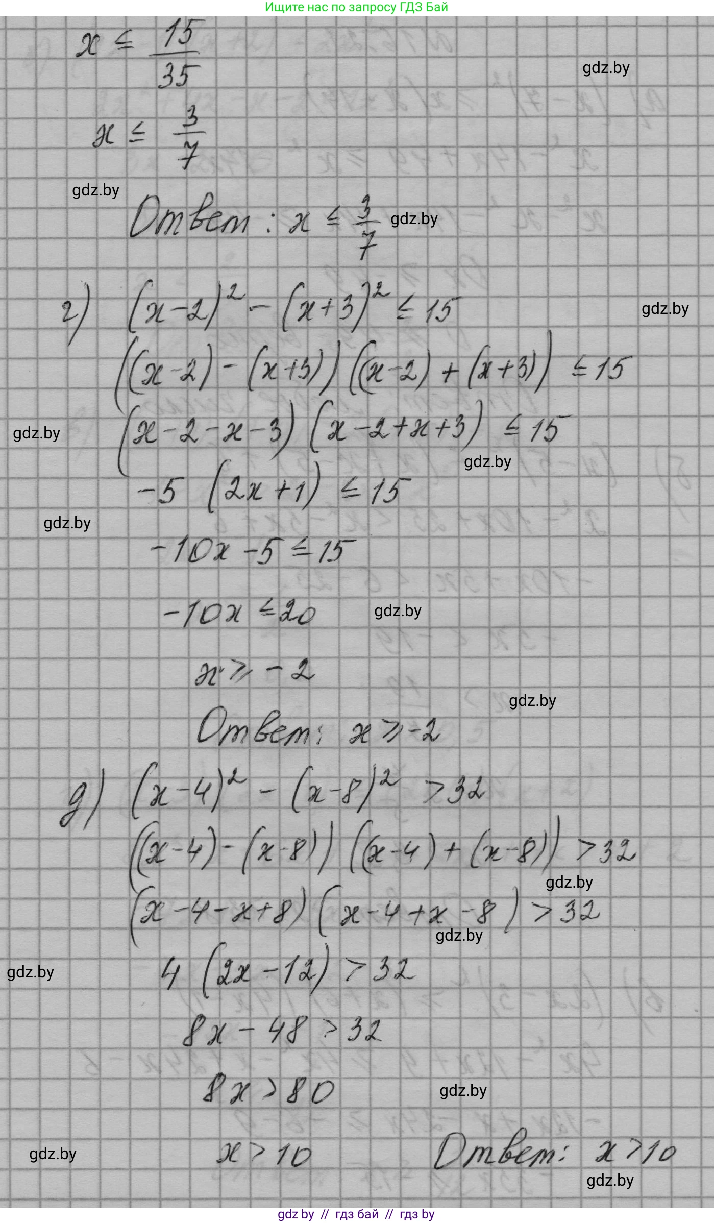
г) $(x-2)^2 - (x+3)^2 \leq 15$
Применим формулу разности квадратов $a^2 - b^2 = (a-b)(a+b)$, где $a = x-2$ и $b = x+3$:
$((x-2) - (x+3))((x-2) + (x+3)) \leq 15$
Раскроем внутренние скобки:
$(x-2-x-3)(x-2+x+3) \leq 15$
$(-5)(2x+1) \leq 15$
Разделим обе части на -5, изменив знак неравенства на противоположный:
$2x+1 \geq \frac{15}{-5}$
$2x+1 \geq -3$
$2x \geq -3 - 1$
$2x \geq -4$
$x \geq -2$
Ответ: $x \in [-2; +\infty)$.

д) $(x-4)^2 - (x-8)^2 > 32$
Применим формулу разности квадратов $a^2 - b^2 = (a-b)(a+b)$, где $a = x-4$ и $b = x-8$:
$((x-4) - (x-8))((x-4) + (x-8)) > 32$
Раскроем внутренние скобки:
$(x-4-x+8)(x-4+x-8) > 32$
$(4)(2x-12) > 32$
Разделим обе части на 4:
$2x-12 > 8$
$2x > 8+12$
$2x > 20$
$x > 10$
Ответ: $x \in (10; +\infty)$.

е) $(2x-5)^2 - 0,5x < (2x-1)(2x+1) - 15$
Раскроем скобки, используя формулу квадрата разности для левой части и формулу разности квадратов для правой:
$(4x^2 - 2 \cdot 2x \cdot 5 + 25) - 0,5x < ( (2x)^2 - 1^2 ) - 15$
$4x^2 - 20x + 25 - 0,5x < 4x^2 - 1 - 15$
Приведем подобные слагаемые в обеих частях:
$4x^2 - 20,5x + 25 < 4x^2 - 16$
Перенесем члены с $x$ в левую часть, а постоянные члены - в правую:
$4x^2 - 20,5x - 4x^2 < -16 - 25$
$-20,5x < -41$
Разделим обе части на -20,5, изменив знак неравенства на противоположный:
$x > \frac{-41}{-20,5}$
$x > 2$
Ответ: $x \in (2; +\infty)$.

Помогло решение? Оставьте отзыв в комментариях ниже.

Присоединяйтесь к Телеграм-группе @gdz_by_belarus

Присоединиться

Мы подготовили для вас ответ c подробным объяснением домашего задания по алгебре за 7-9 класс, для упражнения номер 16.21 расположенного на странице 73 к сборнику задач 2020 года издания для учащихся школ и гимназий.

Теперь на нашем сайте ГДЗ.ТОП вы всегда легко и бесплатно найдёте условие с правильным ответом на вопрос «Как решить ДЗ» и «Как сделать» задание по алгебре к упражнению №16.21 (с. 73), авторов: Арефьева (Ирина Глебовна), Пирютко (Ольга Николаевна), учебного пособия издательства Народная асвета.