Номер 20.18, страница 91 - гдз по алгебре 7-9 класс сборник задач Арефьева, Пирютко

Алгебра, 7-9 класс Сборник задач, авторы: Арефьева Ирина Глебовна, Пирютко Ольга Николаевна, издательство Народная асвета, Минск, 2020

Авторы: Арефьева И. Г., Пирютко О. Н.

Тип: Сборник задач

Издательство: Народная асвета

Год издания: 2020 - 2026

Цвет обложки: синий с графиками

Допущено Министерством образования Республики Беларусь

Популярные ГДЗ в 7 классе

7 класс. Параграф 20. Способы решения системы линейных уравнений с двумя переменными. Решение текстовых задач с помощью системы линейных уравнений - номер 20.18, страница 91.

№20.18 (с. 91)
Условие. №20.18 (с. 91)
скриншот условия
Алгебра, 7-9 класс Сборник задач, авторы: Арефьева Ирина Глебовна, Пирютко Ольга Николаевна, издательство Народная асвета, Минск, 2020, страница 91, номер 20.18, Условие

20.18*. Решите систему уравнений:

а) $\begin{cases} x - y = 2, \\ x^2 - y^2 = 8; \end{cases}$

б) $\begin{cases} x^2 - 4y^2 = 200, \\ x + 2y = 100; \end{cases}$

в) $\begin{cases} y^2 - 3xy = 21, \\ y - 3x = 7. \end{cases}$

Решение. №20.18 (с. 91)
Алгебра, 7-9 класс Сборник задач, авторы: Арефьева Ирина Глебовна, Пирютко Ольга Николаевна, издательство Народная асвета, Минск, 2020, страница 91, номер 20.18, Решение Алгебра, 7-9 класс Сборник задач, авторы: Арефьева Ирина Глебовна, Пирютко Ольга Николаевна, издательство Народная асвета, Минск, 2020, страница 91, номер 20.18, Решение (продолжение 2)
Решение 2. №20.18 (с. 91)

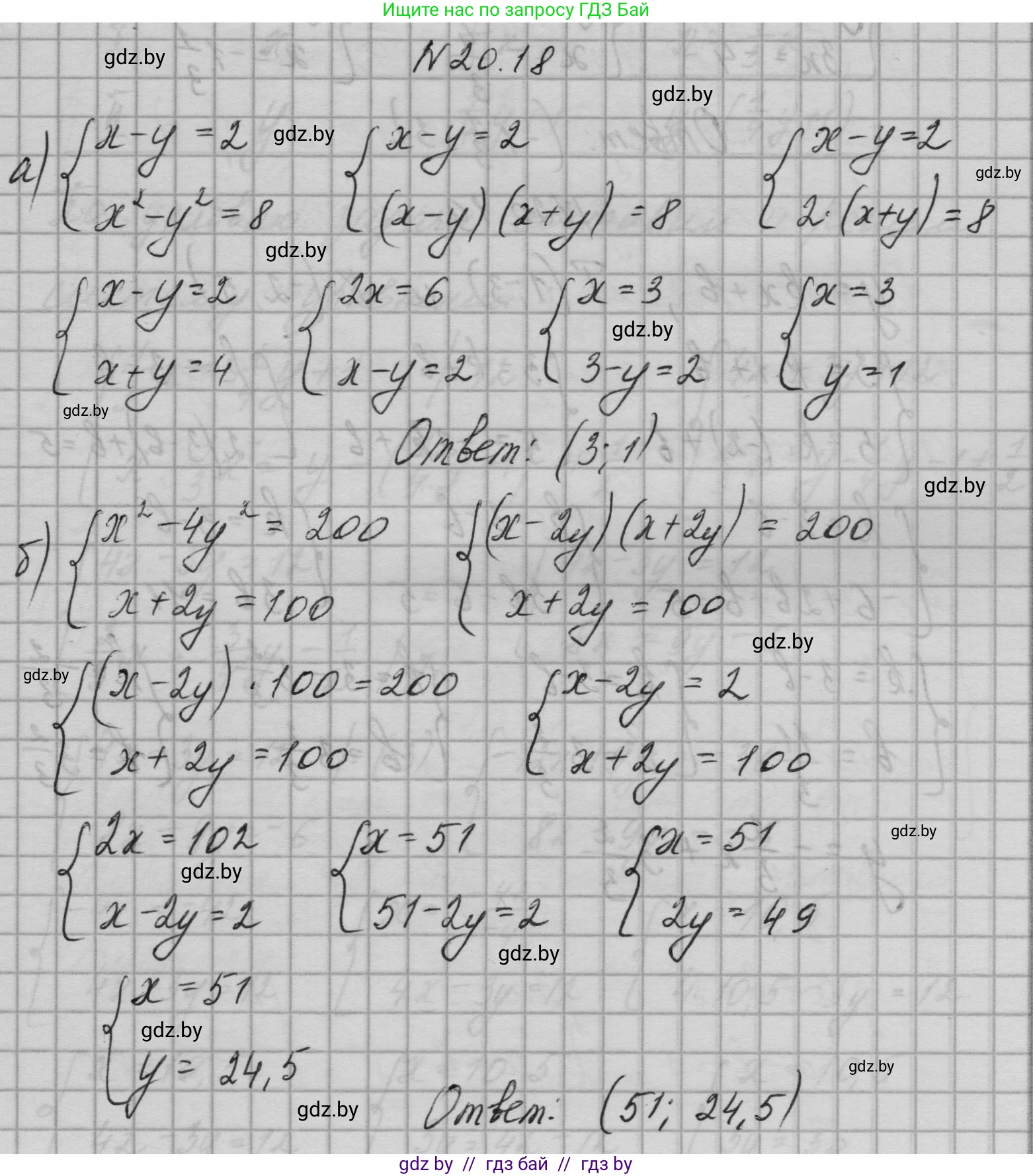
а) Дана система уравнений: $\begin{cases} x - y = 2, \\ x^2 - y^2 = 8. \end{cases}$

Во втором уравнении применим формулу разности квадратов $a^2 - b^2 = (a-b)(a+b)$. Это дает нам $x^2 - y^2 = (x - y)(x + y)$.

Теперь подставим в преобразованное второе уравнение значение $(x-y)$ из первого уравнения:

$2(x+y) = 8$

Отсюда находим, что $x+y = 4$.

Таким образом, исходная система сводится к более простой системе линейных уравнений:

$\begin{cases} x - y = 2, \\ x + y = 4. \end{cases}$

Сложив два уравнения, получим: $(x-y) + (x+y) = 2 + 4$, что упрощается до $2x = 6$, и, следовательно, $x = 3$.

Подставим значение $x = 3$ в уравнение $x+y = 4$, чтобы найти $y$: $3 + y = 4$, откуда $y = 1$.

Проверка: $3 - 1 = 2$ и $3^2 - 1^2 = 9 - 1 = 8$. Оба уравнения выполняются.

Ответ: $(3; 1)$.

б) Дана система уравнений: $\begin{cases} x^2 - 4y^2 = 200, \\ x + 2y = 100. \end{cases}$

В левой части первого уравнения мы видим разность квадратов: $x^2 - 4y^2 = x^2 - (2y)^2 = (x - 2y)(x + 2y)$.

Подставим в это выражение значение $(x + 2y)$ из второго уравнения:

$(x - 2y) \cdot 100 = 200$

Разделив обе части на 100, получим $x - 2y = 2$.

Теперь решаем систему линейных уравнений:

$\begin{cases} x + 2y = 100, \\ x - 2y = 2. \end{cases}$

Сложим эти два уравнения: $(x + 2y) + (x - 2y) = 100 + 2$, что дает $2x = 102$, и значит $x = 51$.

Подставим $x=51$ в уравнение $x + 2y = 100$: $51 + 2y = 100$. Отсюда $2y = 49$, и $y = \frac{49}{2} = 24.5$.

Проверка: $51 + 2(24.5) = 51 + 49 = 100$ и $51^2 - 4(24.5)^2 = 2601 - 4(600.25) = 2601 - 2401 = 200$. Оба уравнения выполняются.

Ответ: $(51; 24.5)$.

в) Дана система уравнений: $\begin{cases} y^2 - 3xy = 21, \\ y - 3x = 7. \end{cases}$

В первом уравнении можно вынести общий множитель $y$ за скобки: $y(y - 3x) = 21$.

Из второго уравнения мы знаем, что выражение в скобках, $(y - 3x)$, равно 7. Подставим это значение в первое уравнение:

$y \cdot 7 = 21$

Отсюда $y = \frac{21}{7} = 3$.

Теперь, зная $y=3$, подставим это значение во второе уравнение, чтобы найти $x$: $3 - 3x = 7$.

Вычтем 3 из обеих частей: $-3x = 4$. Отсюда $x = -\frac{4}{3}$.

Проверка: $3 - 3(-\frac{4}{3}) = 3 + 4 = 7$ и $3^2 - 3(-\frac{4}{3})(3) = 9 - (-4)(3) = 9 + 12 = 21$. Оба уравнения выполняются.

Ответ: $(-\frac{4}{3}; 3)$.

Помогло решение? Оставьте отзыв в комментариях ниже.

Присоединяйтесь к Телеграм-группе @gdz_by_belarus

Присоединиться

Мы подготовили для вас ответ c подробным объяснением домашего задания по алгебре за 7-9 класс, для упражнения номер 20.18 расположенного на странице 91 к сборнику задач 2020 года издания для учащихся школ и гимназий.

Теперь на нашем сайте ГДЗ.ТОП вы всегда легко и бесплатно найдёте условие с правильным ответом на вопрос «Как решить ДЗ» и «Как сделать» задание по алгебре к упражнению №20.18 (с. 91), авторов: Арефьева (Ирина Глебовна), Пирютко (Ольга Николаевна), учебного пособия издательства Народная асвета.