Номер 20.20, страница 91 - гдз по алгебре 7-9 класс сборник задач Арефьева, Пирютко

Алгебра, 7-9 класс Сборник задач, авторы: Арефьева Ирина Глебовна, Пирютко Ольга Николаевна, издательство Народная асвета, Минск, 2020

Авторы: Арефьева И. Г., Пирютко О. Н.

Тип: Сборник задач

Издательство: Народная асвета

Год издания: 2020 - 2026

Цвет обложки: синий с графиками

Допущено Министерством образования Республики Беларусь

Популярные ГДЗ в 7 классе

7 класс. Параграф 20. Способы решения системы линейных уравнений с двумя переменными. Решение текстовых задач с помощью системы линейных уравнений - номер 20.20, страница 91.

№20.20 (с. 91)
Условие. №20.20 (с. 91)
скриншот условия
Алгебра, 7-9 класс Сборник задач, авторы: Арефьева Ирина Глебовна, Пирютко Ольга Николаевна, издательство Народная асвета, Минск, 2020, страница 91, номер 20.20, Условие Алгебра, 7-9 класс Сборник задач, авторы: Арефьева Ирина Глебовна, Пирютко Ольга Николаевна, издательство Народная асвета, Минск, 2020, страница 91, номер 20.20, Условие (продолжение 2)

20.20*. Два друга решили купить футбольный мяч и на оставшиеся от покупки мяча деньги купить одну из пицц, стоимости которых размещены в таблице.

Вид пиццы Стоимость

«Детская» 5 р.

«Оригинальная» 6 р. 70 к.

«Острая» 7 р.

За мяч друзья заплатили поровну: первый дал $\frac{1}{3}$ своих денег, а второй — $\frac{1}{4}$ и еще 1 р. После покупки мяча у второго осталось на 50 к. меньше, чем у первого. Какую пиццу может выбрать себе каждый из друзей на оставшиеся деньги?

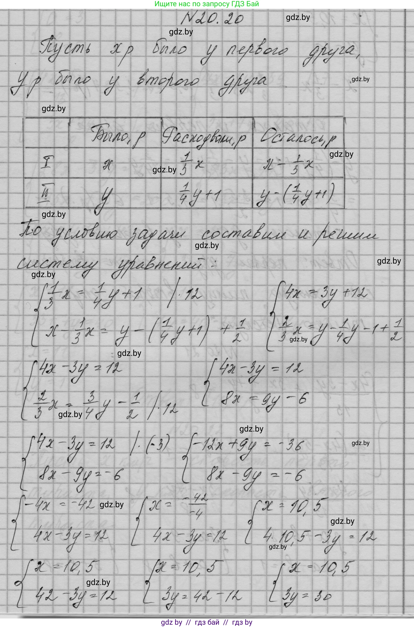
Решение. №20.20 (с. 91)
Алгебра, 7-9 класс Сборник задач, авторы: Арефьева Ирина Глебовна, Пирютко Ольга Николаевна, издательство Народная асвета, Минск, 2020, страница 91, номер 20.20, Решение Алгебра, 7-9 класс Сборник задач, авторы: Арефьева Ирина Глебовна, Пирютко Ольга Николаевна, издательство Народная асвета, Минск, 2020, страница 91, номер 20.20, Решение (продолжение 2)
Решение 2. №20.20 (с. 91)

Для решения задачи введем переменные и составим систему уравнений. Для удобства все расчеты будем вести в рублях, переведя копейки в десятичные дроби рубля (например, 50 копеек = 0,5 рубля, 6 рублей 70 копеек = 6,7 рубля).

Пусть $x$ — это первоначальная сумма денег у первого друга, а $y$ — первоначальная сумма денег у второго друга.

Согласно условию, первый друг заплатил за мяч $\frac{1}{3}$ своих денег, то есть его вклад составил $\frac{1}{3}x$ рублей.

Второй друг заплатил $\frac{1}{4}$ своих денег и еще 1 рубль, то есть его вклад составил $(\frac{1}{4}y + 1)$ рублей.

Так как друзья заплатили за мяч поровну, мы можем составить первое уравнение:

$\frac{1}{3}x = \frac{1}{4}y + 1$

Теперь определим, сколько денег осталось у каждого. У первого друга осталось: $x - \frac{1}{3}x = \frac{2}{3}x$.

У второго друга осталось: $y - (\frac{1}{4}y + 1) = \frac{3}{4}y - 1$.

Известно, что у второго друга осталось на 50 копеек (0,5 рубля) меньше, чем у первого. Составим второе уравнение:

$\frac{3}{4}y - 1 = \frac{2}{3}x - 0,5$

Мы получили систему из двух линейных уравнений с двумя переменными:

$\begin{cases} \frac{1}{3}x = \frac{1}{4}y + 1 \\ \frac{3}{4}y - 1 = \frac{2}{3}x - 0,5 \end{cases}$

Для решения системы удобно выразить $\frac{2}{3}x$ через первое уравнение. Заметим, что $\frac{2}{3}x = 2 \cdot (\frac{1}{3}x)$. Подставим выражение для $\frac{1}{3}x$ из первого уравнения во второе:

$\frac{3}{4}y - 1 = 2 \cdot (\frac{1}{4}y + 1) - 0,5$

Теперь решим полученное уравнение относительно $y$:

$\frac{3}{4}y - 1 = \frac{2}{4}y + 2 - 0,5$

$\frac{3}{4}y - 1 = \frac{1}{2}y + 1,5$

Перенесем слагаемые с $y$ в одну сторону, а числа — в другую:

$\frac{3}{4}y - \frac{1}{2}y = 1,5 + 1$

$\frac{3}{4}y - \frac{2}{4}y = 2,5$

$\frac{1}{4}y = 2,5$

$y = 2,5 \cdot 4 = 10$

Итак, у второго друга изначально было 10 рублей.

Найдем первоначальную сумму у первого друга ($x$), подставив значение $y$ в первое уравнение:

$\frac{1}{3}x = \frac{1}{4}(10) + 1$

$\frac{1}{3}x = 2,5 + 1$

$\frac{1}{3}x = 3,5$

$x = 3,5 \cdot 3 = 10,5$

У первого друга изначально было 10,5 рублей (10 рублей 50 копеек).

Теперь найдем, сколько денег осталось у каждого друга после покупки мяча. Каждый заплатил по 3,5 рубля.

  • Остаток у первого друга: $10,5 - 3,5 = 7$ рублей.
  • Остаток у второго друга: $10 - 3,5 = 6,5$ рублей (6 рублей 50 копеек).

Сравним оставшиеся у друзей суммы со стоимостью пиццы из таблицы:

  • «Детская»: 5 р.
  • «Оригинальная»: 6 р. 70 к. (6,7 р.)
  • «Острая»: 7 р.

Первый друг имеет 7 рублей. Он может купить:

  • «Детскую» пиццу, так как $7 \ge 5$.
  • «Оригинальную» пиццу, так как $7 \ge 6,7$.
  • «Острую» пиццу, так как $7 \ge 7$.

Второй друг имеет 6,5 рублей. Он может купить:

  • «Детскую» пиццу, так как $6,5 \ge 5$.
  • Он не может купить «Оригинальную» пиццу, так как $6,5 < 6,7$.
  • Он не может купить «Острую» пиццу, так как $6,5 < 7$.

Ответ: Первый друг на оставшиеся деньги может выбрать любую из трех пицц («Детскую», «Оригинальную» или «Острую»), а второй друг может выбрать только «Детскую» пиццу.

Помогло решение? Оставьте отзыв в комментариях ниже.

Присоединяйтесь к Телеграм-группе @gdz_by_belarus

Присоединиться

Мы подготовили для вас ответ c подробным объяснением домашего задания по алгебре за 7-9 класс, для упражнения номер 20.20 расположенного на странице 91 к сборнику задач 2020 года издания для учащихся школ и гимназий.

Теперь на нашем сайте ГДЗ.ТОП вы всегда легко и бесплатно найдёте условие с правильным ответом на вопрос «Как решить ДЗ» и «Как сделать» задание по алгебре к упражнению №20.20 (с. 91), авторов: Арефьева (Ирина Глебовна), Пирютко (Ольга Николаевна), учебного пособия издательства Народная асвета.