Номер 23.27, страница 108 - гдз по алгебре 7-9 класс сборник задач Арефьева, Пирютко

Алгебра, 7-9 класс Сборник задач, авторы: Арефьева Ирина Глебовна, Пирютко Ольга Николаевна, издательство Народная асвета, Минск, 2020

Авторы: Арефьева И. Г., Пирютко О. Н.

Тип: Сборник задач

Издательство: Народная асвета

Год издания: 2020 - 2026

Цвет обложки: синий с графиками

Допущено Министерством образования Республики Беларусь

8 класс. Параграф 23. Применение свойств квадратных корней - номер 23.27, страница 108.

№23.27 (с. 108)
Условие. №23.27 (с. 108)
скриншот условия
Алгебра, 7-9 класс Сборник задач, авторы: Арефьева Ирина Глебовна, Пирютко Ольга Николаевна, издательство Народная асвета, Минск, 2020, страница 108, номер 23.27, Условие Алгебра, 7-9 класс Сборник задач, авторы: Арефьева Ирина Глебовна, Пирютко Ольга Николаевна, издательство Народная асвета, Минск, 2020, страница 108, номер 23.27, Условие (продолжение 2)

23.27. Упростите выражение:

а) $\sqrt{3} + \frac{6}{\sqrt{3}};$

б) $\frac{12}{\sqrt{6}} - 7\sqrt{6};$

в) $(\frac{14}{\sqrt{7}} + \sqrt{7}) \cdot \sqrt{7};$

г) $(\frac{15}{\sqrt{5}} - \sqrt{5}) : \frac{\sqrt{5}}{7};$

д) $\frac{2\sqrt{2}}{\sqrt{3}} - \frac{\sqrt{6}}{3};$

е) $\frac{2\sqrt{3}}{\sqrt{5}} - \frac{2\sqrt{15}}{5}.$

Решение. №23.27 (с. 108)
Алгебра, 7-9 класс Сборник задач, авторы: Арефьева Ирина Глебовна, Пирютко Ольга Николаевна, издательство Народная асвета, Минск, 2020, страница 108, номер 23.27, Решение
Решение 2. №23.27 (с. 108)

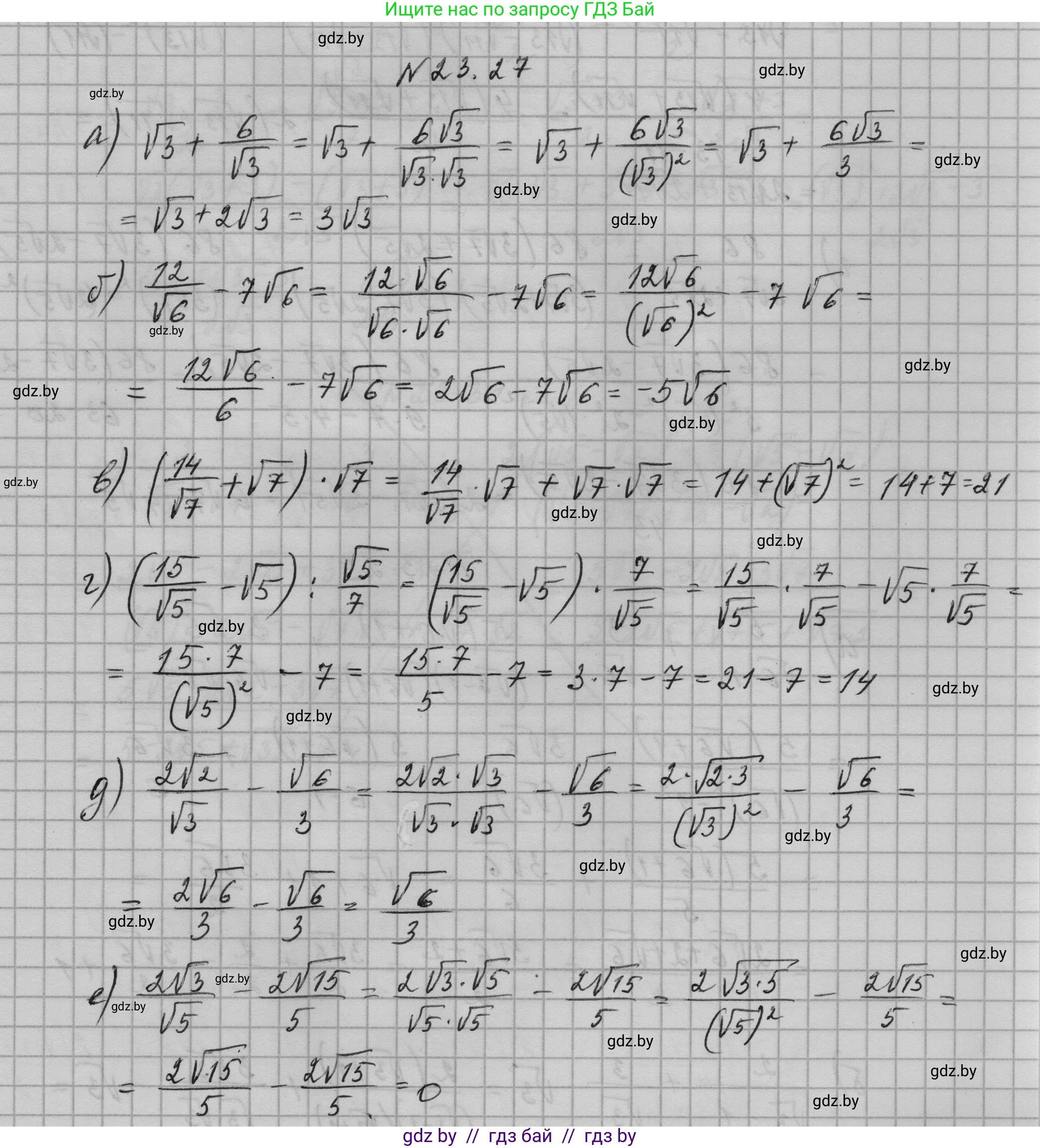
а) Чтобы упростить выражение $\sqrt{3} + \frac{6}{\sqrt{3}}$, избавимся от иррациональности в знаменателе дроби. Для этого умножим числитель и знаменатель дроби на $\sqrt{3}$:

$\frac{6}{\sqrt{3}} = \frac{6 \cdot \sqrt{3}}{\sqrt{3} \cdot \sqrt{3}} = \frac{6\sqrt{3}}{3} = 2\sqrt{3}$

Теперь вернемся к исходному выражению и сложим полученные слагаемые:

$\sqrt{3} + 2\sqrt{3} = (1+2)\sqrt{3} = 3\sqrt{3}$

Ответ: $3\sqrt{3}$

б) Чтобы упростить выражение $\frac{12}{\sqrt{6}} - 7\sqrt{6}$, сначала избавимся от иррациональности в знаменателе первого слагаемого. Умножим числитель и знаменатель дроби на $\sqrt{6}$:

$\frac{12}{\sqrt{6}} = \frac{12 \cdot \sqrt{6}}{\sqrt{6} \cdot \sqrt{6}} = \frac{12\sqrt{6}}{6} = 2\sqrt{6}$

Теперь выполним вычитание:

$2\sqrt{6} - 7\sqrt{6} = (2-7)\sqrt{6} = -5\sqrt{6}$

Ответ: $-5\sqrt{6}$

в) Чтобы упростить выражение $(\frac{14}{\sqrt{7}} + \sqrt{7}) \cdot \sqrt{7}$, воспользуемся распределительным свойством умножения. Умножим каждый член в скобках на $\sqrt{7}$:

$(\frac{14}{\sqrt{7}} + \sqrt{7}) \cdot \sqrt{7} = \frac{14}{\sqrt{7}} \cdot \sqrt{7} + \sqrt{7} \cdot \sqrt{7}$

Упростим каждое слагаемое:

$\frac{14 \cdot \sqrt{7}}{\sqrt{7}} + (\sqrt{7})^2 = 14 + 7 = 21$

Ответ: $21$

г) Чтобы упростить выражение $(\frac{15}{\sqrt{5}} - \sqrt{5}) : \frac{\sqrt{5}}{7}$, сначала выполним действие в скобках. Упростим первое слагаемое, избавившись от иррациональности в знаменателе:

$\frac{15}{\sqrt{5}} = \frac{15 \cdot \sqrt{5}}{\sqrt{5} \cdot \sqrt{5}} = \frac{15\sqrt{5}}{5} = 3\sqrt{5}$

Теперь выполним вычитание в скобках:

$3\sqrt{5} - \sqrt{5} = (3-1)\sqrt{5} = 2\sqrt{5}$

Далее выполним деление. Деление на дробь равносильно умножению на обратную ей дробь:

$2\sqrt{5} : \frac{\sqrt{5}}{7} = 2\sqrt{5} \cdot \frac{7}{\sqrt{5}} = \frac{2\sqrt{5} \cdot 7}{\sqrt{5}} = 2 \cdot 7 = 14$

Ответ: $14$

д) Чтобы упростить выражение $\frac{2\sqrt{2}}{\sqrt{3}} - \frac{\sqrt{6}}{3}$, приведем дроби к общему знаменателю. Для этого избавимся от иррациональности в знаменателе первой дроби, умножив ее числитель и знаменатель на $\sqrt{3}$:

$\frac{2\sqrt{2}}{\sqrt{3}} = \frac{2\sqrt{2} \cdot \sqrt{3}}{\sqrt{3} \cdot \sqrt{3}} = \frac{2\sqrt{2 \cdot 3}}{3} = \frac{2\sqrt{6}}{3}$

Теперь выполним вычитание дробей с одинаковыми знаменателями:

$\frac{2\sqrt{6}}{3} - \frac{\sqrt{6}}{3} = \frac{2\sqrt{6} - \sqrt{6}}{3} = \frac{(2-1)\sqrt{6}}{3} = \frac{\sqrt{6}}{3}$

Ответ: $\frac{\sqrt{6}}{3}$

е) Чтобы упростить выражение $\frac{2\sqrt{3}}{\sqrt{5}} - \frac{2\sqrt{15}}{5}$, приведем дроби к общему знаменателю. Для этого избавимся от иррациональности в знаменателе первой дроби, умножив ее числитель и знаменатель на $\sqrt{5}$:

$\frac{2\sqrt{3}}{\sqrt{5}} = \frac{2\sqrt{3} \cdot \sqrt{5}}{\sqrt{5} \cdot \sqrt{5}} = \frac{2\sqrt{3 \cdot 5}}{5} = \frac{2\sqrt{15}}{5}$

Теперь выполним вычитание дробей:

$\frac{2\sqrt{15}}{5} - \frac{2\sqrt{15}}{5} = 0$

Ответ: $0$

Помогло решение? Оставьте отзыв в комментариях ниже.

Присоединяйтесь к Телеграм-группе @gdz_by_belarus

Присоединиться

Мы подготовили для вас ответ c подробным объяснением домашего задания по алгебре за 7-9 класс, для упражнения номер 23.27 расположенного на странице 108 к сборнику задач 2020 года издания для учащихся школ и гимназий.

Теперь на нашем сайте ГДЗ.ТОП вы всегда легко и бесплатно найдёте условие с правильным ответом на вопрос «Как решить ДЗ» и «Как сделать» задание по алгебре к упражнению №23.27 (с. 108), авторов: Арефьева (Ирина Глебовна), Пирютко (Ольга Николаевна), учебного пособия издательства Народная асвета.