Номер 23.32, страница 109 - гдз по алгебре 7-9 класс сборник задач Арефьева, Пирютко

Алгебра, 7-9 класс Сборник задач, авторы: Арефьева Ирина Глебовна, Пирютко Ольга Николаевна, издательство Народная асвета, Минск, 2020

Авторы: Арефьева И. Г., Пирютко О. Н.

Тип: Сборник задач

Издательство: Народная асвета

Год издания: 2020 - 2026

Цвет обложки: синий с графиками

Допущено Министерством образования Республики Беларусь

Популярные ГДЗ в 7 классе

8 класс. Параграф 23. Применение свойств квадратных корней - номер 23.32, страница 109.

№23.32 (с. 109)
Условие. №23.32 (с. 109)
скриншот условия
Алгебра, 7-9 класс Сборник задач, авторы: Арефьева Ирина Глебовна, Пирютко Ольга Николаевна, издательство Народная асвета, Минск, 2020, страница 109, номер 23.32, Условие

23.32. Упростите выражение:

а) $\frac{9}{5-\sqrt{7}} + \frac{22}{7+\sqrt{5}} - \frac{1}{\sqrt{7}+\sqrt{5}};

б) $\frac{11}{5-\sqrt{3}} + \frac{1}{\sqrt{3}+\sqrt{5}} + \frac{2}{3+\sqrt{5}};

В) $\frac{9}{4-\sqrt{7}} + \frac{33}{6-\sqrt{3}} - \frac{4}{\sqrt{7}-\sqrt{3}};

Г) $\frac{12}{\sqrt{13}-1} + \frac{2}{3+\sqrt{11}} - \frac{2}{\sqrt{13}-\sqrt{11}}.$

Решение. №23.32 (с. 109)
Алгебра, 7-9 класс Сборник задач, авторы: Арефьева Ирина Глебовна, Пирютко Ольга Николаевна, издательство Народная асвета, Минск, 2020, страница 109, номер 23.32, Решение Алгебра, 7-9 класс Сборник задач, авторы: Арефьева Ирина Глебовна, Пирютко Ольга Николаевна, издательство Народная асвета, Минск, 2020, страница 109, номер 23.32, Решение (продолжение 2)
Решение 2. №23.32 (с. 109)

а) $ \frac{9}{5-\sqrt{7}} + \frac{22}{7+\sqrt{5}} - \frac{1}{\sqrt{7}+\sqrt{5}} $

Для упрощения данного выражения необходимо избавиться от иррациональности в знаменателе каждой дроби. Это делается путем умножения числителя и знаменателя на сопряженное знаменателю выражение. Мы будем использовать формулу разности квадратов: $ (a-b)(a+b) = a^2-b^2 $.

Упростим каждую дробь по отдельности:

1. $ \frac{9}{5-\sqrt{7}} = \frac{9(5+\sqrt{7})}{(5-\sqrt{7})(5+\sqrt{7})} = \frac{9(5+\sqrt{7})}{5^2 - (\sqrt{7})^2} = \frac{9(5+\sqrt{7})}{25 - 7} = \frac{9(5+\sqrt{7})}{18} = \frac{5+\sqrt{7}}{2} $.

2. $ \frac{22}{7+\sqrt{5}} = \frac{22(7-\sqrt{5})}{(7+\sqrt{5})(7-\sqrt{5})} = \frac{22(7-\sqrt{5})}{7^2 - (\sqrt{5})^2} = \frac{22(7-\sqrt{5})}{49 - 5} = \frac{22(7-\sqrt{5})}{44} = \frac{7-\sqrt{5}}{2} $.

3. $ \frac{1}{\sqrt{7}+\sqrt{5}} = \frac{1(\sqrt{7}-\sqrt{5})}{(\sqrt{7}+\sqrt{5})(\sqrt{7}-\sqrt{5})} = \frac{\sqrt{7}-\sqrt{5}}{(\sqrt{7})^2 - (\sqrt{5})^2} = \frac{\sqrt{7}-\sqrt{5}}{7-5} = \frac{\sqrt{7}-\sqrt{5}}{2} $.

Теперь подставим упрощенные дроби обратно в исходное выражение и выполним действия:

$ \frac{5+\sqrt{7}}{2} + \frac{7-\sqrt{5}}{2} - \frac{\sqrt{7}-\sqrt{5}}{2} = \frac{(5+\sqrt{7}) + (7-\sqrt{5}) - (\sqrt{7}-\sqrt{5})}{2} = \frac{5+\sqrt{7} + 7-\sqrt{5} - \sqrt{7}+\sqrt{5}}{2} = \frac{5+7}{2} = \frac{12}{2} = 6 $.

Ответ: 6

б) $ \frac{11}{5-\sqrt{3}} + \frac{1}{\sqrt{3}+\sqrt{5}} + \frac{2}{3+\sqrt{5}} $

Упростим каждое слагаемое, избавившись от иррациональности в знаменателе.

1. $ \frac{11}{5-\sqrt{3}} = \frac{11(5+\sqrt{3})}{(5-\sqrt{3})(5+\sqrt{3})} = \frac{11(5+\sqrt{3})}{5^2 - (\sqrt{3})^2} = \frac{11(5+\sqrt{3})}{25 - 3} = \frac{11(5+\sqrt{3})}{22} = \frac{5+\sqrt{3}}{2} $.

2. $ \frac{1}{\sqrt{3}+\sqrt{5}} = \frac{1(\sqrt{3}-\sqrt{5})}{(\sqrt{3}+\sqrt{5})(\sqrt{3}-\sqrt{5})} = \frac{\sqrt{3}-\sqrt{5}}{(\sqrt{3})^2 - (\sqrt{5})^2} = \frac{\sqrt{3}-\sqrt{5}}{3 - 5} = \frac{\sqrt{3}-\sqrt{5}}{-2} = \frac{\sqrt{5}-\sqrt{3}}{2} $.

3. $ \frac{2}{3+\sqrt{5}} = \frac{2(3-\sqrt{5})}{(3+\sqrt{5})(3-\sqrt{5})} = \frac{2(3-\sqrt{5})}{3^2 - (\sqrt{5})^2} = \frac{2(3-\sqrt{5})}{9 - 5} = \frac{2(3-\sqrt{5})}{4} = \frac{3-\sqrt{5}}{2} $.

Сложим полученные выражения:

$ \frac{5+\sqrt{3}}{2} + \frac{\sqrt{5}-\sqrt{3}}{2} + \frac{3-\sqrt{5}}{2} = \frac{5+\sqrt{3} + \sqrt{5}-\sqrt{3} + 3-\sqrt{5}}{2} = \frac{5+3}{2} = \frac{8}{2} = 4 $.

Ответ: 4

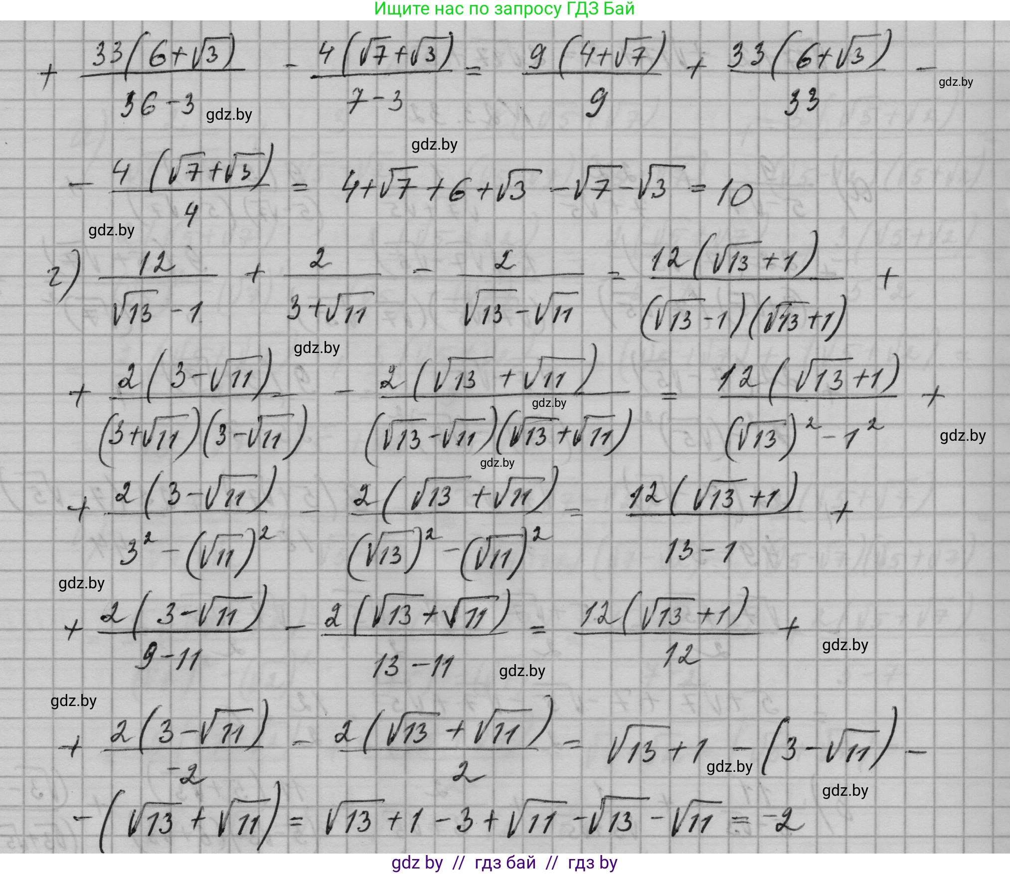
в) $ \frac{9}{4-\sqrt{7}} + \frac{33}{6-\sqrt{3}} - \frac{4}{\sqrt{7}-\sqrt{3}} $

Упростим каждое слагаемое, избавившись от иррациональности в знаменателе.

1. $ \frac{9}{4-\sqrt{7}} = \frac{9(4+\sqrt{7})}{(4-\sqrt{7})(4+\sqrt{7})} = \frac{9(4+\sqrt{7})}{4^2 - (\sqrt{7})^2} = \frac{9(4+\sqrt{7})}{16 - 7} = \frac{9(4+\sqrt{7})}{9} = 4+\sqrt{7} $.

2. $ \frac{33}{6-\sqrt{3}} = \frac{33(6+\sqrt{3})}{(6-\sqrt{3})(6+\sqrt{3})} = \frac{33(6+\sqrt{3})}{6^2 - (\sqrt{3})^2} = \frac{33(6+\sqrt{3})}{36 - 3} = \frac{33(6+\sqrt{3})}{33} = 6+\sqrt{3} $.

3. $ \frac{4}{\sqrt{7}-\sqrt{3}} = \frac{4(\sqrt{7}+\sqrt{3})}{(\sqrt{7}-\sqrt{3})(\sqrt{7}+\sqrt{3})} = \frac{4(\sqrt{7}+\sqrt{3})}{(\sqrt{7})^2 - (\sqrt{3})^2} = \frac{4(\sqrt{7}+\sqrt{3})}{7 - 3} = \frac{4(\sqrt{7}+\sqrt{3})}{4} = \sqrt{7}+\sqrt{3} $.

Подставим упрощенные выражения и выполним действия:

$ (4+\sqrt{7}) + (6+\sqrt{3}) - (\sqrt{7}+\sqrt{3}) = 4+\sqrt{7} + 6+\sqrt{3} - \sqrt{7} - \sqrt{3} = (4+6) + (\sqrt{7}-\sqrt{7}) + (\sqrt{3}-\sqrt{3}) = 10 $.

Ответ: 10

г) $ \frac{12}{\sqrt{13}-1} + \frac{2}{3+\sqrt{11}} - \frac{2}{\sqrt{13}-\sqrt{11}} $

Упростим каждое слагаемое, избавившись от иррациональности в знаменателе.

1. $ \frac{12}{\sqrt{13}-1} = \frac{12(\sqrt{13}+1)}{(\sqrt{13}-1)(\sqrt{13}+1)} = \frac{12(\sqrt{13}+1)}{(\sqrt{13})^2 - 1^2} = \frac{12(\sqrt{13}+1)}{13 - 1} = \frac{12(\sqrt{13}+1)}{12} = \sqrt{13}+1 $.

2. $ \frac{2}{3+\sqrt{11}} = \frac{2(3-\sqrt{11})}{(3+\sqrt{11})(3-\sqrt{11})} = \frac{2(3-\sqrt{11})}{3^2 - (\sqrt{11})^2} = \frac{2(3-\sqrt{11})}{9 - 11} = \frac{2(3-\sqrt{11})}{-2} = -(3-\sqrt{11}) = \sqrt{11}-3 $.

3. $ \frac{2}{\sqrt{13}-\sqrt{11}} = \frac{2(\sqrt{13}+\sqrt{11})}{(\sqrt{13}-\sqrt{11})(\sqrt{13}+\sqrt{11})} = \frac{2(\sqrt{13}+\sqrt{11})}{(\sqrt{13})^2 - (\sqrt{11})^2} = \frac{2(\sqrt{13}+\sqrt{11})}{13 - 11} = \frac{2(\sqrt{13}+\sqrt{11})}{2} = \sqrt{13}+\sqrt{11} $.

Подставим упрощенные выражения и выполним действия:

$ (\sqrt{13}+1) + (\sqrt{11}-3) - (\sqrt{13}+\sqrt{11}) = \sqrt{13}+1 + \sqrt{11}-3 - \sqrt{13} - \sqrt{11} = (1-3) + (\sqrt{13}-\sqrt{13}) + (\sqrt{11}-\sqrt{11}) = -2 $.

Ответ: -2

Помогло решение? Оставьте отзыв в комментариях ниже.

Присоединяйтесь к Телеграм-группе @gdz_by_belarus

Присоединиться

Мы подготовили для вас ответ c подробным объяснением домашего задания по алгебре за 7-9 класс, для упражнения номер 23.32 расположенного на странице 109 к сборнику задач 2020 года издания для учащихся школ и гимназий.

Теперь на нашем сайте ГДЗ.ТОП вы всегда легко и бесплатно найдёте условие с правильным ответом на вопрос «Как решить ДЗ» и «Как сделать» задание по алгебре к упражнению №23.32 (с. 109), авторов: Арефьева (Ирина Глебовна), Пирютко (Ольга Николаевна), учебного пособия издательства Народная асвета.