Номер 23.36, страница 110 - гдз по алгебре 7-9 класс сборник задач Арефьева, Пирютко

Алгебра, 7-9 класс Сборник задач, авторы: Арефьева Ирина Глебовна, Пирютко Ольга Николаевна, издательство Народная асвета, Минск, 2020

Авторы: Арефьева И. Г., Пирютко О. Н.

Тип: Сборник задач

Издательство: Народная асвета

Год издания: 2020 - 2026

Цвет обложки: синий с графиками

Допущено Министерством образования Республики Беларусь

Популярные ГДЗ в 7 классе

8 класс. Параграф 23. Применение свойств квадратных корней - номер 23.36, страница 110.

№23.36 (с. 110)
Условие. №23.36 (с. 110)
скриншот условия
Алгебра, 7-9 класс Сборник задач, авторы: Арефьева Ирина Глебовна, Пирютко Ольга Николаевна, издательство Народная асвета, Минск, 2020, страница 110, номер 23.36, Условие

23.36. Сократите дробь, разложив числитель и знаменатель на множители:

a)$\frac{(\sqrt{5}+1)^2}{12+4\sqrt{5}}$

б)$\frac{(\sqrt{7}-\sqrt{5})^2}{6-\sqrt{35}}$

В)$\frac{20-10\sqrt{3}}{(1-\sqrt{3})^2}$

Г)$\frac{62+20\sqrt{6}}{(5+\sqrt{6})^2}$

Решение. №23.36 (с. 110)
Алгебра, 7-9 класс Сборник задач, авторы: Арефьева Ирина Глебовна, Пирютко Ольга Николаевна, издательство Народная асвета, Минск, 2020, страница 110, номер 23.36, Решение Алгебра, 7-9 класс Сборник задач, авторы: Арефьева Ирина Глебовна, Пирютко Ольга Николаевна, издательство Народная асвета, Минск, 2020, страница 110, номер 23.36, Решение (продолжение 2)
Решение 2. №23.36 (с. 110)

a) Рассмотрим дробь $ \frac{(\sqrt{5}+1)^2}{12+4\sqrt{5}} $. Чтобы ее сократить, разложим знаменатель на множители. Вынесем общий множитель 2 за скобки в знаменателе: $ 12+4\sqrt{5} = 2(6+2\sqrt{5}) $. Заметим, что выражение в скобках является полным квадратом, так как $ 6+2\sqrt{5} = 5+2\sqrt{5}+1 = (\sqrt{5})^2 + 2 \cdot \sqrt{5} \cdot 1 + 1^2 = (\sqrt{5}+1)^2 $. Таким образом, знаменатель равен $ 2(\sqrt{5}+1)^2 $. Подставим это выражение в исходную дробь: $ \frac{(\sqrt{5}+1)^2}{2(\sqrt{5}+1)^2} $. Сокращаем дробь на общий множитель $ (\sqrt{5}+1)^2 $ и получаем $ \frac{1}{2} $.
Ответ: $ \frac{1}{2} $.

б) Рассмотрим дробь $ \frac{(\sqrt{7}-\sqrt{5})^2}{6-\sqrt{35}} $. Разложим числитель, для этого сначала раскроем квадрат разности по формуле $ (a-b)^2 = a^2 - 2ab + b^2 $: $ (\sqrt{7}-\sqrt{5})^2 = (\sqrt{7})^2 - 2\sqrt{7}\sqrt{5} + (\sqrt{5})^2 = 7 - 2\sqrt{35} + 5 = 12 - 2\sqrt{35} $. Теперь вынесем общий множитель 2 из полученного выражения: $ 12 - 2\sqrt{35} = 2(6 - \sqrt{35}) $. Подставим полученное выражение в числитель дроби: $ \frac{2(6 - \sqrt{35})}{6-\sqrt{35}} $. Сократив дробь на общий множитель $ (6 - \sqrt{35}) $, получим 2.
Ответ: 2.

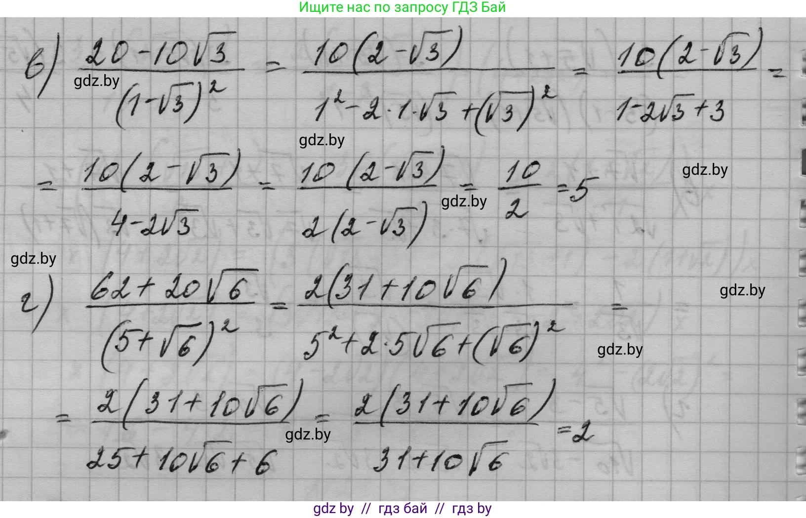
в) Рассмотрим дробь $ \frac{20-10\sqrt{3}}{(1-\sqrt{3})^2} $. Разложим на множители числитель и знаменатель. В числителе вынесем общий множитель 10: $ 20-10\sqrt{3} = 10(2-\sqrt{3}) $. Знаменатель раскроем по формуле квадрата разности: $ (1-\sqrt{3})^2 = 1^2 - 2 \cdot 1 \cdot \sqrt{3} + (\sqrt{3})^2 = 1 - 2\sqrt{3} + 3 = 4 - 2\sqrt{3} $. В полученном выражении вынесем общий множитель 2: $ 4 - 2\sqrt{3} = 2(2-\sqrt{3}) $. Теперь подставим разложенные числитель и знаменатель в дробь: $ \frac{10(2-\sqrt{3})}{2(2-\sqrt{3})} $. Сокращаем на $ (2-\sqrt{3}) $ и получаем $ \frac{10}{2} = 5 $.
Ответ: 5.

г) Рассмотрим дробь $ \frac{62+20\sqrt{6}}{(5+\sqrt{6})^2} $. Разложим на множители числитель и знаменатель. В числителе вынесем общий множитель 2: $ 62+20\sqrt{6} = 2(31+10\sqrt{6}) $. Знаменатель раскроем по формуле квадрата суммы $ (a+b)^2 = a^2 + 2ab + b^2 $: $ (5+\sqrt{6})^2 = 5^2 + 2 \cdot 5 \cdot \sqrt{6} + (\sqrt{6})^2 = 25 + 10\sqrt{6} + 6 = 31+10\sqrt{6} $. Подставим полученные выражения в дробь: $ \frac{2(31+10\sqrt{6})}{31+10\sqrt{6}} $. Сократив дробь на общий множитель $ (31+10\sqrt{6}) $, получим 2.
Ответ: 2.

Помогло решение? Оставьте отзыв в комментариях ниже.

Присоединяйтесь к Телеграм-группе @gdz_by_belarus

Присоединиться

Мы подготовили для вас ответ c подробным объяснением домашего задания по алгебре за 7-9 класс, для упражнения номер 23.36 расположенного на странице 110 к сборнику задач 2020 года издания для учащихся школ и гимназий.

Теперь на нашем сайте ГДЗ.ТОП вы всегда легко и бесплатно найдёте условие с правильным ответом на вопрос «Как решить ДЗ» и «Как сделать» задание по алгебре к упражнению №23.36 (с. 110), авторов: Арефьева (Ирина Глебовна), Пирютко (Ольга Николаевна), учебного пособия издательства Народная асвета.