Номер 23.41, страница 110 - гдз по алгебре 7-9 класс сборник задач Арефьева, Пирютко

Алгебра, 7-9 класс Сборник задач, авторы: Арефьева Ирина Глебовна, Пирютко Ольга Николаевна, издательство Народная асвета, Минск, 2020

Авторы: Арефьева И. Г., Пирютко О. Н.

Тип: Сборник задач

Издательство: Народная асвета

Год издания: 2020 - 2026

Цвет обложки: синий с графиками

Допущено Министерством образования Республики Беларусь

Популярные ГДЗ в 7 классе

8 класс. Параграф 23. Применение свойств квадратных корней - номер 23.41, страница 110.

№23.41 (с. 110)
Условие. №23.41 (с. 110)
скриншот условия
Алгебра, 7-9 класс Сборник задач, авторы: Арефьева Ирина Глебовна, Пирютко Ольга Николаевна, издательство Народная асвета, Минск, 2020, страница 110, номер 23.41, Условие

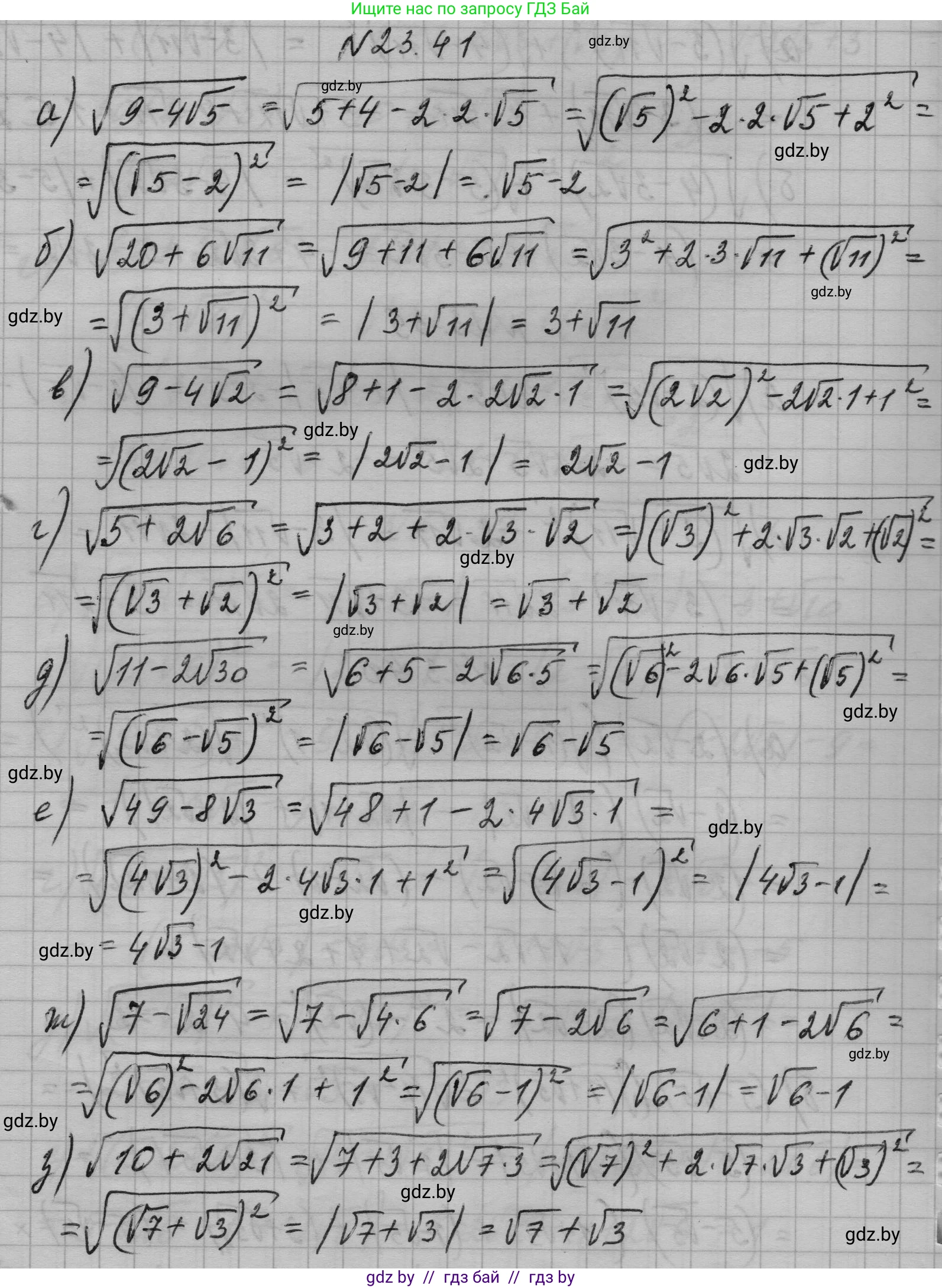
23.41*. Упростите выражение, представив подкоренное выражение в виде полного квадрата:

а) $\sqrt{9 - 4\sqrt{5}}$;

б) $\sqrt{20 + 6\sqrt{11}}$;

в) $\sqrt{9 - 4\sqrt{2}}$;

г) $\sqrt{5 + 2\sqrt{6}}$;

д) $\sqrt{11 - 2\sqrt{30}}$;

е) $\sqrt{49 - 8\sqrt{3}}$;

ж) $\sqrt{7 - \sqrt{24}}$;

з) $\sqrt{10 + 2\sqrt{21}}$;

и) $\sqrt{13 - 4\sqrt{10}}$.

Решение. №23.41 (с. 110)
Алгебра, 7-9 класс Сборник задач, авторы: Арефьева Ирина Глебовна, Пирютко Ольга Николаевна, издательство Народная асвета, Минск, 2020, страница 110, номер 23.41, Решение Алгебра, 7-9 класс Сборник задач, авторы: Арефьева Ирина Глебовна, Пирютко Ольга Николаевна, издательство Народная асвета, Минск, 2020, страница 110, номер 23.41, Решение (продолжение 2)
Решение 2. №23.41 (с. 110)

а) Для того чтобы упростить выражение $\sqrt{9-4\sqrt{5}}$, необходимо представить подкоренное выражение в виде полного квадрата. Воспользуемся формулой квадрата разности: $(a-b)^2 = a^2 - 2ab + b^2$.

Преобразуем выражение $9-4\sqrt{5}$, выделив удвоенное произведение. $4\sqrt{5} = 2 \cdot 2\sqrt{5} = 2 \cdot \sqrt{4 \cdot 5} = 2\sqrt{20}$.

Таким образом, подкоренное выражение можно записать как $9-2\sqrt{20}$. Теперь нам нужно найти два числа $x$ и $y$ такие, что их сумма $x+y=9$, а произведение $xy=20$. Методом подбора или по теореме Виета находим, что это числа 5 и 4.

Представим $9-2\sqrt{20}$ как $(5+4) - 2\sqrt{5 \cdot 4}$. Это можно переписать в виде $(\sqrt{5})^2 - 2\sqrt{5}\sqrt{4} + (\sqrt{4})^2$, что является полным квадратом $(\sqrt{5}-\sqrt{4})^2 = (\sqrt{5}-2)^2$.

Следовательно, $\sqrt{9-4\sqrt{5}} = \sqrt{(\sqrt{5}-2)^2} = |\sqrt{5}-2|$.

Так как $\sqrt{5} > \sqrt{4}=2$, то $\sqrt{5}-2 > 0$, и модуль можно опустить.

Ответ: $\sqrt{5}-2$.

б) Упростим $\sqrt{20+6\sqrt{11}}$, представив подкоренное выражение в виде полного квадрата суммы $(a+b)^2 = a^2 + 2ab + b^2$.

Преобразуем $6\sqrt{11} = 2 \cdot 3\sqrt{11} = 2\sqrt{9 \cdot 11} = 2\sqrt{99}$.

Выражение принимает вид $\sqrt{20+2\sqrt{99}}$. Ищем два числа $x$ и $y$ такие, что $x+y=20$ и $xy=99$. Это числа 11 и 9.

Тогда $20+2\sqrt{99} = (11+9) + 2\sqrt{11 \cdot 9} = (\sqrt{11})^2 + 2\sqrt{11}\sqrt{9} + (\sqrt{9})^2 = (\sqrt{11}+3)^2$.

Следовательно, $\sqrt{20+6\sqrt{11}} = \sqrt{(\sqrt{11}+3)^2} = |\sqrt{11}+3|$. Сумма положительных чисел положительна, поэтому модуль можно опустить.

Ответ: $\sqrt{11}+3$.

в) Упростим $\sqrt{9-4\sqrt{2}}$, представив подкоренное выражение $9-4\sqrt{2}$ как полный квадрат.

Преобразуем $4\sqrt{2} = 2 \cdot 2\sqrt{2} = 2\sqrt{4 \cdot 2} = 2\sqrt{8}$.

Выражение принимает вид $\sqrt{9-2\sqrt{8}}$. Ищем два числа $x$ и $y$ такие, что $x+y=9$ и $xy=8$. Это числа 8 и 1.

Тогда $9-2\sqrt{8} = (8+1) - 2\sqrt{8 \cdot 1} = (\sqrt{8})^2 - 2\sqrt{8}\sqrt{1} + (\sqrt{1})^2 = (\sqrt{8}-1)^2$.

Упростим $\sqrt{8} = \sqrt{4 \cdot 2} = 2\sqrt{2}$. Получаем $(2\sqrt{2}-1)^2$.

Следовательно, $\sqrt{9-4\sqrt{2}} = \sqrt{(2\sqrt{2}-1)^2} = |2\sqrt{2}-1|$. Так как $(2\sqrt{2})^2=8$ и $1^2=1$, то $2\sqrt{2} > 1$, и разность положительна.

Ответ: $2\sqrt{2}-1$.

г) Упростим $\sqrt{5+2\sqrt{6}}$. Подкоренное выражение уже имеет вид $X+2\sqrt{Y}$.

Ищем два числа $x$ и $y$ такие, что $x+y=5$ и $xy=6$. Это числа 3 и 2.

Тогда $5+2\sqrt{6} = (3+2) + 2\sqrt{3 \cdot 2} = (\sqrt{3})^2 + 2\sqrt{3}\sqrt{2} + (\sqrt{2})^2 = (\sqrt{3}+\sqrt{2})^2$.

Следовательно, $\sqrt{5+2\sqrt{6}} = \sqrt{(\sqrt{3}+\sqrt{2})^2} = |\sqrt{3}+\sqrt{2}| = \sqrt{3}+\sqrt{2}$.

Ответ: $\sqrt{3}+\sqrt{2}$.

д) Упростим $\sqrt{11-2\sqrt{30}}$.

Ищем два числа $x$ и $y$ такие, что $x+y=11$ и $xy=30$. Это числа 6 и 5.

Тогда $11-2\sqrt{30} = (6+5) - 2\sqrt{6 \cdot 5} = (\sqrt{6})^2 - 2\sqrt{6}\sqrt{5} + (\sqrt{5})^2 = (\sqrt{6}-\sqrt{5})^2$.

Следовательно, $\sqrt{11-2\sqrt{30}} = \sqrt{(\sqrt{6}-\sqrt{5})^2} = |\sqrt{6}-\sqrt{5}|$. Так как $6>5$, то $\sqrt{6}>\sqrt{5}$, и разность положительна.

Ответ: $\sqrt{6}-\sqrt{5}$.

е) Упростим $\sqrt{49-8\sqrt{3}}$.

Преобразуем $8\sqrt{3} = 2 \cdot 4\sqrt{3} = 2\sqrt{16 \cdot 3} = 2\sqrt{48}$.

Выражение принимает вид $\sqrt{49-2\sqrt{48}}$. Ищем два числа $x$ и $y$ такие, что $x+y=49$ и $xy=48$. Это числа 48 и 1.

Тогда $49-2\sqrt{48} = (48+1) - 2\sqrt{48 \cdot 1} = (\sqrt{48})^2 - 2\sqrt{48}\sqrt{1} + (\sqrt{1})^2 = (\sqrt{48}-1)^2$.

Упростим $\sqrt{48} = \sqrt{16 \cdot 3} = 4\sqrt{3}$. Получаем $(4\sqrt{3}-1)^2$.

Следовательно, $\sqrt{49-8\sqrt{3}} = \sqrt{(4\sqrt{3}-1)^2} = |4\sqrt{3}-1|$. Так как $(4\sqrt{3})^2=48 > 1$, разность положительна.

Ответ: $4\sqrt{3}-1$.

ж) Упростим $\sqrt{7-\sqrt{24}}$.

Преобразуем $\sqrt{24} = \sqrt{4 \cdot 6} = 2\sqrt{6}$.

Выражение принимает вид $\sqrt{7-2\sqrt{6}}$. Ищем два числа $x$ и $y$ такие, что $x+y=7$ и $xy=6$. Это числа 6 и 1.

Тогда $7-2\sqrt{6} = (6+1) - 2\sqrt{6 \cdot 1} = (\sqrt{6})^2 - 2\sqrt{6}\sqrt{1} + (\sqrt{1})^2 = (\sqrt{6}-1)^2$.

Следовательно, $\sqrt{7-\sqrt{24}} = \sqrt{(\sqrt{6}-1)^2} = |\sqrt{6}-1|$. Так как $\sqrt{6} > \sqrt{1}=1$, разность положительна.

Ответ: $\sqrt{6}-1$.

з) Упростим $\sqrt{10+2\sqrt{21}}$.

Ищем два числа $x$ и $y$ такие, что $x+y=10$ и $xy=21$. Это числа 7 и 3.

Тогда $10+2\sqrt{21} = (7+3) + 2\sqrt{7 \cdot 3} = (\sqrt{7})^2 + 2\sqrt{7}\sqrt{3} + (\sqrt{3})^2 = (\sqrt{7}+\sqrt{3})^2$.

Следовательно, $\sqrt{10+2\sqrt{21}} = \sqrt{(\sqrt{7}+\sqrt{3})^2} = |\sqrt{7}+\sqrt{3}| = \sqrt{7}+\sqrt{3}$.

Ответ: $\sqrt{7}+\sqrt{3}$.

и) Упростим $\sqrt{13-4\sqrt{10}}$.

Преобразуем $4\sqrt{10} = 2 \cdot 2\sqrt{10} = 2\sqrt{4 \cdot 10} = 2\sqrt{40}$.

Выражение принимает вид $\sqrt{13-2\sqrt{40}}$. Ищем два числа $x$ и $y$ такие, что $x+y=13$ и $xy=40$. Это числа 8 и 5.

Тогда $13-2\sqrt{40} = (8+5) - 2\sqrt{8 \cdot 5} = (\sqrt{8})^2 - 2\sqrt{8}\sqrt{5} + (\sqrt{5})^2 = (\sqrt{8}-\sqrt{5})^2$.

Упростим $\sqrt{8} = 2\sqrt{2}$. Получаем $(2\sqrt{2}-\sqrt{5})^2$.

Следовательно, $\sqrt{13-4\sqrt{10}} = \sqrt{(2\sqrt{2}-\sqrt{5})^2} = |2\sqrt{2}-\sqrt{5}|$. Сравним $(2\sqrt{2})^2=8$ и $(\sqrt{5})^2=5$. Так как $8>5$, то $2\sqrt{2}>\sqrt{5}$, и разность положительна.

Ответ: $2\sqrt{2}-\sqrt{5}$.

Помогло решение? Оставьте отзыв в комментариях ниже.

Присоединяйтесь к Телеграм-группе @gdz_by_belarus

Присоединиться

Мы подготовили для вас ответ c подробным объяснением домашего задания по алгебре за 7-9 класс, для упражнения номер 23.41 расположенного на странице 110 к сборнику задач 2020 года издания для учащихся школ и гимназий.

Теперь на нашем сайте ГДЗ.ТОП вы всегда легко и бесплатно найдёте условие с правильным ответом на вопрос «Как решить ДЗ» и «Как сделать» задание по алгебре к упражнению №23.41 (с. 110), авторов: Арефьева (Ирина Глебовна), Пирютко (Ольга Николаевна), учебного пособия издательства Народная асвета.