Номер 23.45, страница 111 - гдз по алгебре 7-9 класс сборник задач Арефьева, Пирютко

Алгебра, 7-9 класс Сборник задач, авторы: Арефьева Ирина Глебовна, Пирютко Ольга Николаевна, издательство Народная асвета, Минск, 2020

Авторы: Арефьева И. Г., Пирютко О. Н.

Тип: Сборник задач

Издательство: Народная асвета

Год издания: 2020 - 2026

Цвет обложки: синий с графиками

Допущено Министерством образования Республики Беларусь

Популярные ГДЗ в 7 классе

8 класс. Параграф 23. Применение свойств квадратных корней - номер 23.45, страница 111.

№23.45 (с. 111)
Условие. №23.45 (с. 111)
скриншот условия
Алгебра, 7-9 класс Сборник задач, авторы: Арефьева Ирина Глебовна, Пирютко Ольга Николаевна, издательство Народная асвета, Минск, 2020, страница 111, номер 23.45, Условие

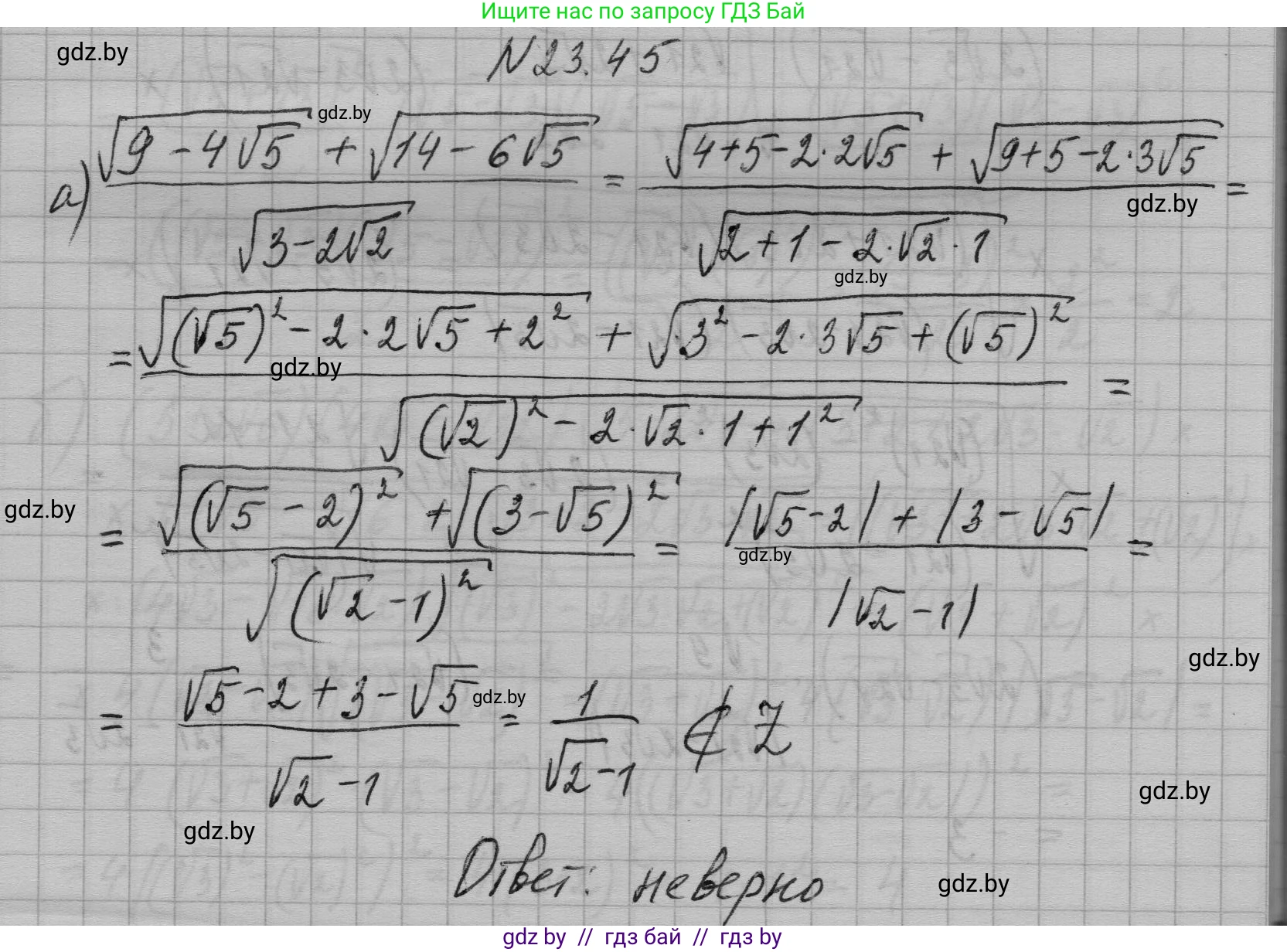
23.45*. Верно ли, что значение выражения является целым числом:

a) $\frac{\sqrt{9-4\sqrt{5}} + \sqrt{14-6\sqrt{5}}}{\sqrt{3-2\sqrt{2}}}$;

б) $\frac{\sqrt{19-8\sqrt{3}} - \sqrt{7-4\sqrt{3}}}{\sqrt{7+4\sqrt{3}}}$?

Решение. №23.45 (с. 111)
Алгебра, 7-9 класс Сборник задач, авторы: Арефьева Ирина Глебовна, Пирютко Ольга Николаевна, издательство Народная асвета, Минск, 2020, страница 111, номер 23.45, Решение Алгебра, 7-9 класс Сборник задач, авторы: Арефьева Ирина Глебовна, Пирютко Ольга Николаевна, издательство Народная асвета, Минск, 2020, страница 111, номер 23.45, Решение (продолжение 2)
Решение 2. №23.45 (с. 111)

а) Чтобы выяснить, является ли значение выражения $ \frac{\sqrt{9-4\sqrt{5}} + \sqrt{14-6\sqrt{5}}}{\sqrt{3-2\sqrt{2}}} $ целым числом, необходимо его упростить. Для этого представим подкоренные выражения в виде полных квадратов, используя формулу $ (a \pm b)^2 = a^2 \pm 2ab + b^2 $.

Сначала упростим числитель $ \sqrt{9-4\sqrt{5}} + \sqrt{14-6\sqrt{5}} $.
$ \sqrt{9-4\sqrt{5}} = \sqrt{5 - 2 \cdot 2 \cdot \sqrt{5} + 4} = \sqrt{(\sqrt{5}-2)^2} = |\sqrt{5}-2| = \sqrt{5}-2 $.
$ \sqrt{14-6\sqrt{5}} = \sqrt{9 - 2 \cdot 3 \cdot \sqrt{5} + 5} = \sqrt{(3-\sqrt{5})^2} = |3-\sqrt{5}| = 3-\sqrt{5} $.
Тогда числитель равен $ (\sqrt{5}-2) + (3-\sqrt{5}) = 1 $.

Теперь упростим знаменатель $ \sqrt{3-2\sqrt{2}} $.
$ \sqrt{3-2\sqrt{2}} = \sqrt{2 - 2 \cdot \sqrt{2} \cdot 1 + 1} = \sqrt{(\sqrt{2}-1)^2} = |\sqrt{2}-1| = \sqrt{2}-1 $.

В результате получаем дробь $ \frac{1}{\sqrt{2}-1} $. Избавимся от иррациональности в знаменателе, умножив числитель и знаменатель на сопряженное выражение $ \sqrt{2}+1 $:
$ \frac{1 \cdot (\sqrt{2}+1)}{(\sqrt{2}-1)(\sqrt{2}+1)} = \frac{\sqrt{2}+1}{(\sqrt{2})^2-1^2} = \frac{\sqrt{2}+1}{2-1} = \sqrt{2}+1 $.

Значение выражения равно $ \sqrt{2}+1 $, что не является целым числом.

Ответ: нет, не верно.

б) Упростим выражение $ \frac{\sqrt{19-8\sqrt{3}} - \sqrt{7-4\sqrt{3}}}{\sqrt{7+4\sqrt{3}}} $ по тому же принципу.

Сначала упростим числитель $ \sqrt{19-8\sqrt{3}} - \sqrt{7-4\sqrt{3}} $.
$ \sqrt{19-8\sqrt{3}} = \sqrt{16 - 2 \cdot 4 \cdot \sqrt{3} + 3} = \sqrt{(4-\sqrt{3})^2} = |4-\sqrt{3}| = 4-\sqrt{3} $.
$ \sqrt{7-4\sqrt{3}} = \sqrt{4 - 2 \cdot 2 \cdot \sqrt{3} + 3} = \sqrt{(2-\sqrt{3})^2} = |2-\sqrt{3}| = 2-\sqrt{3} $.
Тогда числитель равен $ (4-\sqrt{3}) - (2-\sqrt{3}) = 4-\sqrt{3}-2+\sqrt{3} = 2 $.

Теперь упростим знаменатель $ \sqrt{7+4\sqrt{3}} $.
$ \sqrt{7+4\sqrt{3}} = \sqrt{4 + 2 \cdot 2 \cdot \sqrt{3} + 3} = \sqrt{(2+\sqrt{3})^2} = |2+\sqrt{3}| = 2+\sqrt{3} $.

В результате получаем дробь $ \frac{2}{2+\sqrt{3}} $. Избавимся от иррациональности в знаменателе:
$ \frac{2 \cdot (2-\sqrt{3})}{(2+\sqrt{3})(2-\sqrt{3})} = \frac{2(2-\sqrt{3})}{2^2-(\sqrt{3})^2} = \frac{2(2-\sqrt{3})}{4-3} = 4-2\sqrt{3} $.

Значение выражения равно $ 4-2\sqrt{3} $, что не является целым числом.

Ответ: нет, не верно.

Помогло решение? Оставьте отзыв в комментариях ниже.

Присоединяйтесь к Телеграм-группе @gdz_by_belarus

Присоединиться

Мы подготовили для вас ответ c подробным объяснением домашего задания по алгебре за 7-9 класс, для упражнения номер 23.45 расположенного на странице 111 к сборнику задач 2020 года издания для учащихся школ и гимназий.

Теперь на нашем сайте ГДЗ.ТОП вы всегда легко и бесплатно найдёте условие с правильным ответом на вопрос «Как решить ДЗ» и «Как сделать» задание по алгебре к упражнению №23.45 (с. 111), авторов: Арефьева (Ирина Глебовна), Пирютко (Ольга Николаевна), учебного пособия издательства Народная асвета.