Номер 23.52, страница 112 - гдз по алгебре 7-9 класс сборник задач Арефьева, Пирютко

Алгебра, 7-9 класс Сборник задач, авторы: Арефьева Ирина Глебовна, Пирютко Ольга Николаевна, издательство Народная асвета, Минск, 2020

Авторы: Арефьева И. Г., Пирютко О. Н.

Тип: Сборник задач

Издательство: Народная асвета

Год издания: 2020 - 2026

Цвет обложки: синий с графиками

Допущено Министерством образования Республики Беларусь

Популярные ГДЗ в 7 классе

8 класс. Параграф 23. Применение свойств квадратных корней - номер 23.52, страница 112.

№23.52 (с. 112)
Условие. №23.52 (с. 112)
скриншот условия
Алгебра, 7-9 класс Сборник задач, авторы: Арефьева Ирина Глебовна, Пирютко Ольга Николаевна, издательство Народная асвета, Минск, 2020, страница 112, номер 23.52, Условие

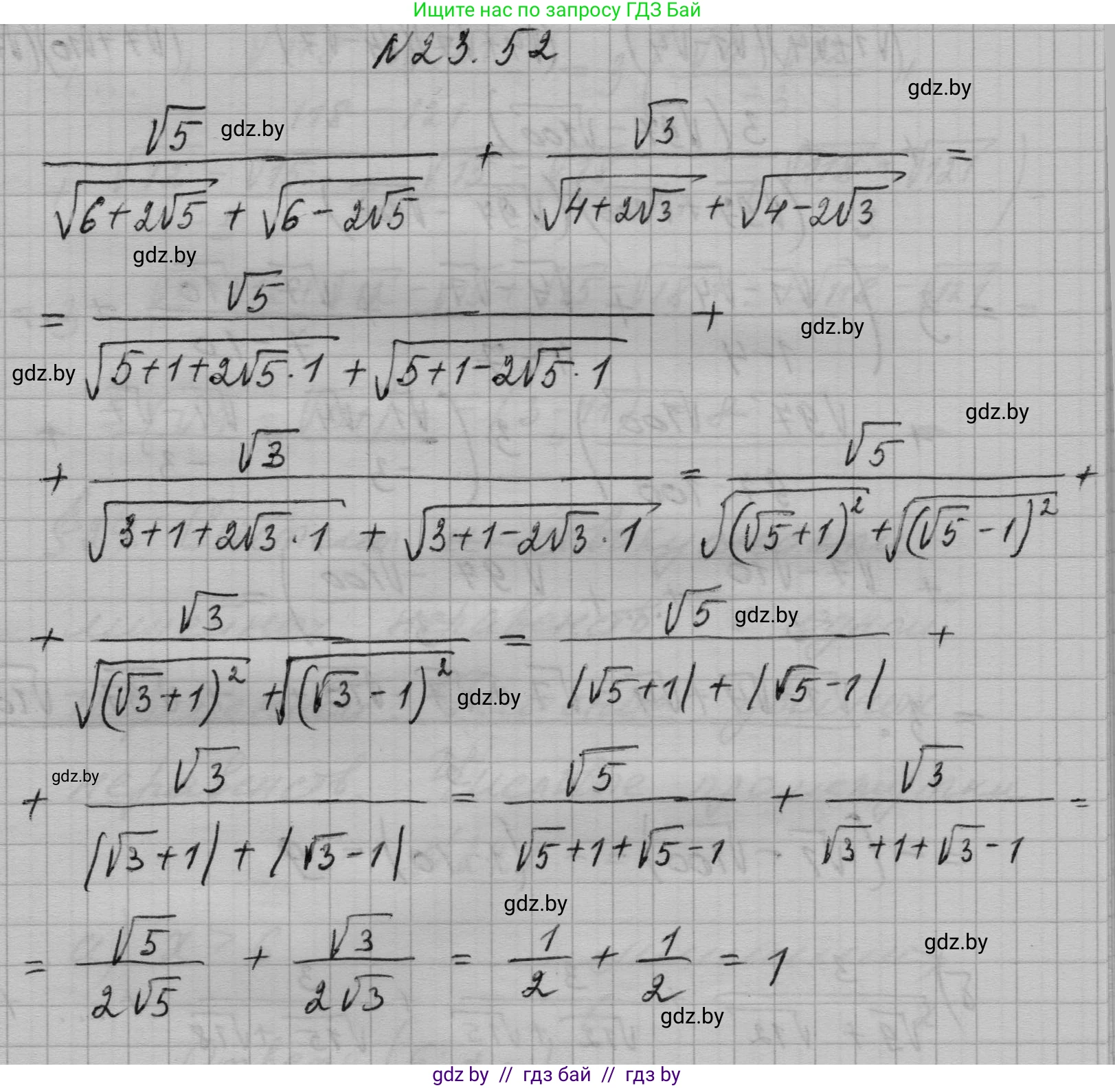
23.52* Найдите значение выражения

$\frac{\sqrt{5}}{\sqrt{6+2\sqrt{5}} + \sqrt{6-2\sqrt{5}}} + \frac{\sqrt{3}}{\sqrt{4+2\sqrt{3}} + \sqrt{4-2\sqrt{3}}}$.

Решение. №23.52 (с. 112)
Алгебра, 7-9 класс Сборник задач, авторы: Арефьева Ирина Глебовна, Пирютко Ольга Николаевна, издательство Народная асвета, Минск, 2020, страница 112, номер 23.52, Решение
Решение 2. №23.52 (с. 112)

Для решения данной задачи необходимо упростить каждое слагаемое по отдельности. Мы будем использовать формулу для упрощения вложенных радикалов вида $ \sqrt{A \pm 2\sqrt{B}} $.

Эта формула основана на выделении полного квадрата под корнем: $ A \pm 2\sqrt{B} = x+y \pm 2\sqrt{xy} = (\sqrt{x} \pm \sqrt{y})^2 $.

Таким образом, $ \sqrt{A \pm 2\sqrt{B}} = \sqrt{(\sqrt{x} \pm \sqrt{y})^2} = |\sqrt{x} \pm \sqrt{y}| $, где числа $x$ и $y$ подбираются так, чтобы $ x+y=A $ и $ xy=B $.

Упрощение первого слагаемого $ \frac{\sqrt{5}}{\sqrt{6+2\sqrt{5}} + \sqrt{6-2\sqrt{5}}} $

Сначала упростим знаменатель. Рассмотрим радикал $ \sqrt{6+2\sqrt{5}} $.

Здесь $ A=6 $ и $ B=5 $. Нам нужно найти два числа $x$ и $y$, для которых $ x+y=6 $ и $ xy=5 $. Эти числа — $ 5 $ и $ 1 $.

Тогда $ 6+2\sqrt{5} = 5+1+2\sqrt{5 \cdot 1} = (\sqrt{5}+\sqrt{1})^2 = (\sqrt{5}+1)^2 $.

Следовательно, $ \sqrt{6+2\sqrt{5}} = \sqrt{(\sqrt{5}+1)^2} = \sqrt{5}+1 $.

Теперь рассмотрим радикал $ \sqrt{6-2\sqrt{5}} $.

Аналогично, $ 6-2\sqrt{5} = 5+1-2\sqrt{5 \cdot 1} = (\sqrt{5}-\sqrt{1})^2 = (\sqrt{5}-1)^2 $.

Следовательно, $ \sqrt{6-2\sqrt{5}} = \sqrt{(\sqrt{5}-1)^2} = |\sqrt{5}-1| $. Так как $ \sqrt{5} > 1 $, выражение $ \sqrt{5}-1 $ положительно, поэтому $ |\sqrt{5}-1| = \sqrt{5}-1 $.

Знаменатель первого слагаемого равен сумме упрощенных радикалов:

$ (\sqrt{5}+1) + (\sqrt{5}-1) = 2\sqrt{5} $.

Теперь мы можем вычислить значение первого слагаемого:

$ \frac{\sqrt{5}}{2\sqrt{5}} = \frac{1}{2} $.

Упрощение второго слагаемого $ \frac{\sqrt{3}}{\sqrt{4+2\sqrt{3}} + \sqrt{4-2\sqrt{3}}} $

Упростим знаменатель по той же схеме. Рассмотрим радикал $ \sqrt{4+2\sqrt{3}} $.

Здесь $ A=4 $ и $ B=3 $. Нам нужно найти два числа $x$ и $y$, для которых $ x+y=4 $ и $ xy=3 $. Эти числа — $ 3 $ и $ 1 $.

Тогда $ 4+2\sqrt{3} = 3+1+2\sqrt{3 \cdot 1} = (\sqrt{3}+\sqrt{1})^2 = (\sqrt{3}+1)^2 $.

Следовательно, $ \sqrt{4+2\sqrt{3}} = \sqrt{(\sqrt{3}+1)^2} = \sqrt{3}+1 $.

Теперь рассмотрим радикал $ \sqrt{4-2\sqrt{3}} $.

Аналогично, $ 4-2\sqrt{3} = 3+1-2\sqrt{3 \cdot 1} = (\sqrt{3}-\sqrt{1})^2 = (\sqrt{3}-1)^2 $.

Следовательно, $ \sqrt{4-2\sqrt{3}} = \sqrt{(\sqrt{3}-1)^2} = |\sqrt{3}-1| $. Так как $ \sqrt{3} > 1 $, выражение $ \sqrt{3}-1 $ положительно, поэтому $ |\sqrt{3}-1| = \sqrt{3}-1 $.

Знаменатель второго слагаемого равен сумме упрощенных радикалов:

$ (\sqrt{3}+1) + (\sqrt{3}-1) = 2\sqrt{3} $.

Теперь мы можем вычислить значение второго слагаемого:

$ \frac{\sqrt{3}}{2\sqrt{3}} = \frac{1}{2} $.

Нахождение итогового значения выражения

Сложим значения двух упрощенных слагаемых:

$ \frac{1}{2} + \frac{1}{2} = 1 $.

Ответ: 1

Помогло решение? Оставьте отзыв в комментариях ниже.

Присоединяйтесь к Телеграм-группе @gdz_by_belarus

Присоединиться

Мы подготовили для вас ответ c подробным объяснением домашего задания по алгебре за 7-9 класс, для упражнения номер 23.52 расположенного на странице 112 к сборнику задач 2020 года издания для учащихся школ и гимназий.

Теперь на нашем сайте ГДЗ.ТОП вы всегда легко и бесплатно найдёте условие с правильным ответом на вопрос «Как решить ДЗ» и «Как сделать» задание по алгебре к упражнению №23.52 (с. 112), авторов: Арефьева (Ирина Глебовна), Пирютко (Ольга Николаевна), учебного пособия издательства Народная асвета.