Номер 23.43, страница 111 - гдз по алгебре 7-9 класс сборник задач Арефьева, Пирютко

Алгебра, 7-9 класс Сборник задач, авторы: Арефьева Ирина Глебовна, Пирютко Ольга Николаевна, издательство Народная асвета, Минск, 2020

Авторы: Арефьева И. Г., Пирютко О. Н.

Тип: Сборник задач

Издательство: Народная асвета

Год издания: 2020 - 2026

Цвет обложки: синий с графиками

Допущено Министерством образования Республики Беларусь

Популярные ГДЗ в 7 классе

8 класс. Параграф 23. Применение свойств квадратных корней - номер 23.43, страница 111.

№23.43 (с. 111)
Условие. №23.43 (с. 111)
скриншот условия
Алгебра, 7-9 класс Сборник задач, авторы: Арефьева Ирина Глебовна, Пирютко Ольга Николаевна, издательство Народная асвета, Минск, 2020, страница 111, номер 23.43, Условие

23.43*. Найдите значение выражения:

а) $\sqrt{21-12\sqrt{3}-2\sqrt{3}}$;

б) $\sqrt{5-\sqrt{24}-2+\sqrt{2}}$;

в) $\sqrt{13-4\sqrt{3}}+\sqrt{13+4\sqrt{3}}$;

г) $\sqrt{10-4\sqrt{6}}+\sqrt{15-6\sqrt{6}}$.

Решение. №23.43 (с. 111)
Алгебра, 7-9 класс Сборник задач, авторы: Арефьева Ирина Глебовна, Пирютко Ольга Николаевна, издательство Народная асвета, Минск, 2020, страница 111, номер 23.43, Решение Алгебра, 7-9 класс Сборник задач, авторы: Арефьева Ирина Глебовна, Пирютко Ольга Николаевна, издательство Народная асвета, Минск, 2020, страница 111, номер 23.43, Решение (продолжение 2)
Решение 2. №23.43 (с. 111)

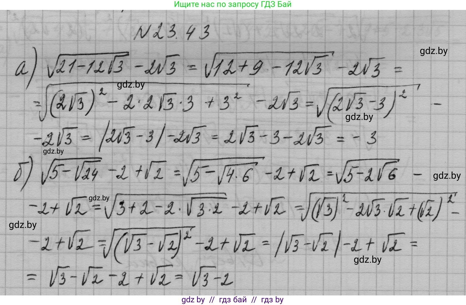
а) Для того чтобы найти значение выражения $\sqrt{21 - 12\sqrt{3}} - 2\sqrt{3}$, необходимо упростить корень $\sqrt{21 - 12\sqrt{3}}$.
Воспользуемся методом выделения полного квадрата под корнем, используя формулу $(a-b)^2 = a^2 - 2ab + b^2$.
Преобразуем подкоренное выражение: $21 - 12\sqrt{3} = 21 - 2 \cdot 6\sqrt{3}$. Нам нужно найти такие $a$ и $b$, чтобы $a^2+b^2=21$ и $ab=6\sqrt{3}$.
Проверим пару чисел $a=2\sqrt{3}$ и $b=3$.
$a^2+b^2 = (2\sqrt{3})^2 + 3^2 = 4 \cdot 3 + 9 = 12 + 9 = 21$.
$2ab = 2 \cdot (2\sqrt{3}) \cdot 3 = 12\sqrt{3}$.
Оба условия выполняются. Значит, $21 - 12\sqrt{3} = (2\sqrt{3} - 3)^2$.
Следовательно, $\sqrt{21 - 12\sqrt{3}} = \sqrt{(2\sqrt{3} - 3)^2} = |2\sqrt{3} - 3|$.
Сравним $2\sqrt{3}$ и $3$. Поскольку $(2\sqrt{3})^2 = 12$, а $3^2 = 9$, то $2\sqrt{3} > 3$, и $2\sqrt{3} - 3$ - положительное число.
Таким образом, $|2\sqrt{3} - 3| = 2\sqrt{3} - 3$.
Подставим полученный результат в исходное выражение:
$(2\sqrt{3} - 3) - 2\sqrt{3} = 2\sqrt{3} - 3 - 2\sqrt{3} = -3$.
Ответ: $-3$.

б) Рассмотрим выражение $\sqrt{5 - \sqrt{24}} - 2 + \sqrt{2}$.
Сначала упростим $\sqrt{24} = \sqrt{4 \cdot 6} = 2\sqrt{6}$.
Выражение примет вид: $\sqrt{5 - 2\sqrt{6}} - 2 + \sqrt{2}$.
Упростим корень $\sqrt{5 - 2\sqrt{6}}$, представив подкоренное выражение в виде полного квадрата $(a-b)^2$.
Ищем $a$ и $b$ такие, что $a^2+b^2=5$ и $2ab=2\sqrt{6}$, то есть $ab=\sqrt{6}$.
Очевидные кандидаты — $a=\sqrt{3}$ и $b=\sqrt{2}$.
Проверим: $a^2+b^2 = (\sqrt{3})^2 + (\sqrt{2})^2 = 3+2=5$. Условие выполняется.
Значит, $5 - 2\sqrt{6} = (\sqrt{3} - \sqrt{2})^2$.
Тогда $\sqrt{5 - 2\sqrt{6}} = \sqrt{(\sqrt{3} - \sqrt{2})^2} = |\sqrt{3} - \sqrt{2}|$.
Так как $\sqrt{3} > \sqrt{2}$, то $|\sqrt{3} - \sqrt{2}| = \sqrt{3} - \sqrt{2}$.
Подставим в выражение:
$(\sqrt{3} - \sqrt{2}) - 2 + \sqrt{2} = \sqrt{3} - \sqrt{2} - 2 + \sqrt{2} = \sqrt{3} - 2$.
Ответ: $\sqrt{3} - 2$.

в) Найдем значение выражения $\sqrt{13 - 4\sqrt{3}} + \sqrt{13 + 4\sqrt{3}}$.
Упростим каждый корень отдельно, выделяя полный квадрат.
Для первого корня $\sqrt{13 - 4\sqrt{3}} = \sqrt{13 - 2 \cdot 2\sqrt{3}}$.
Ищем $a$ и $b$ такие, что $a^2+b^2=13$ и $ab=2\sqrt{3}$. Попробуем $a=2\sqrt{3}, b=1$.
Проверка: $a^2+b^2 = (2\sqrt{3})^2 + 1^2 = 12+1=13$. Подходит.
Значит, $13 - 4\sqrt{3} = (2\sqrt{3} - 1)^2$.
$\sqrt{13 - 4\sqrt{3}} = \sqrt{(2\sqrt{3}-1)^2} = |2\sqrt{3}-1| = 2\sqrt{3}-1$ (так как $2\sqrt{3}>1$).
Для второго корня $\sqrt{13 + 4\sqrt{3}} = \sqrt{13 + 2 \cdot 2\sqrt{3}}$.
Аналогично, $13 + 4\sqrt{3} = (2\sqrt{3} + 1)^2$.
$\sqrt{13 + 4\sqrt{3}} = \sqrt{(2\sqrt{3}+1)^2} = |2\sqrt{3}+1| = 2\sqrt{3}+1$.
Теперь сложим полученные значения:
$(2\sqrt{3} - 1) + (2\sqrt{3} + 1) = 2\sqrt{3} - 1 + 2\sqrt{3} + 1 = 4\sqrt{3}$.
Ответ: $4\sqrt{3}$.

г) Найдем значение выражения $\sqrt{10 - 4\sqrt{6}} + \sqrt{15 - 6\sqrt{6}}$.
Упростим каждое слагаемое.
Первое слагаемое: $\sqrt{10 - 4\sqrt{6}} = \sqrt{10 - 2 \cdot 2\sqrt{6}}$.
Ищем $a,b$ так, чтобы $a^2+b^2=10$ и $ab=2\sqrt{6}$. Возьмем $a=\sqrt{6}, b=2$.
Проверка: $a^2+b^2 = (\sqrt{6})^2 + 2^2 = 6+4=10$. Подходит.
Следовательно, $10 - 4\sqrt{6} = (\sqrt{6}-2)^2$.
$\sqrt{10 - 4\sqrt{6}} = \sqrt{(\sqrt{6}-2)^2} = |\sqrt{6}-2| = \sqrt{6}-2$ (так как $\sqrt{6} > \sqrt{4}=2$).
Второе слагаемое: $\sqrt{15 - 6\sqrt{6}} = \sqrt{15 - 2 \cdot 3\sqrt{6}}$.
Ищем $a,b$ так, чтобы $a^2+b^2=15$ и $ab=3\sqrt{6}$. Возьмем $a=3, b=\sqrt{6}$.
Проверка: $a^2+b^2 = 3^2 + (\sqrt{6})^2 = 9+6=15$. Подходит.
Следовательно, $15 - 6\sqrt{6} = (3-\sqrt{6})^2$.
$\sqrt{15 - 6\sqrt{6}} = \sqrt{(3-\sqrt{6})^2} = |3-\sqrt{6}| = 3-\sqrt{6}$ (так как $3=\sqrt{9} > \sqrt{6}$).
Сложим полученные результаты:
$(\sqrt{6} - 2) + (3 - \sqrt{6}) = \sqrt{6} - 2 + 3 - \sqrt{6} = 1$.
Ответ: $1$.

Помогло решение? Оставьте отзыв в комментариях ниже.

Присоединяйтесь к Телеграм-группе @gdz_by_belarus

Присоединиться

Мы подготовили для вас ответ c подробным объяснением домашего задания по алгебре за 7-9 класс, для упражнения номер 23.43 расположенного на странице 111 к сборнику задач 2020 года издания для учащихся школ и гимназий.

Теперь на нашем сайте ГДЗ.ТОП вы всегда легко и бесплатно найдёте условие с правильным ответом на вопрос «Как решить ДЗ» и «Как сделать» задание по алгебре к упражнению №23.43 (с. 111), авторов: Арефьева (Ирина Глебовна), Пирютко (Ольга Николаевна), учебного пособия издательства Народная асвета.