Номер 23.42, страница 111 - гдз по алгебре 7-9 класс сборник задач Арефьева, Пирютко

Алгебра, 7-9 класс Сборник задач, авторы: Арефьева Ирина Глебовна, Пирютко Ольга Николаевна, издательство Народная асвета, Минск, 2020

Авторы: Арефьева И. Г., Пирютко О. Н.

Тип: Сборник задач

Издательство: Народная асвета

Год издания: 2020 - 2026

Цвет обложки: синий с графиками

Допущено Министерством образования Республики Беларусь

Популярные ГДЗ в 7 классе

8 класс. Параграф 23. Применение свойств квадратных корней - номер 23.42, страница 111.

№23.42 (с. 111)
Условие. №23.42 (с. 111)
скриншот условия
Алгебра, 7-9 класс Сборник задач, авторы: Арефьева Ирина Глебовна, Пирютко Ольга Николаевна, издательство Народная асвета, Минск, 2020, страница 111, номер 23.42, Условие

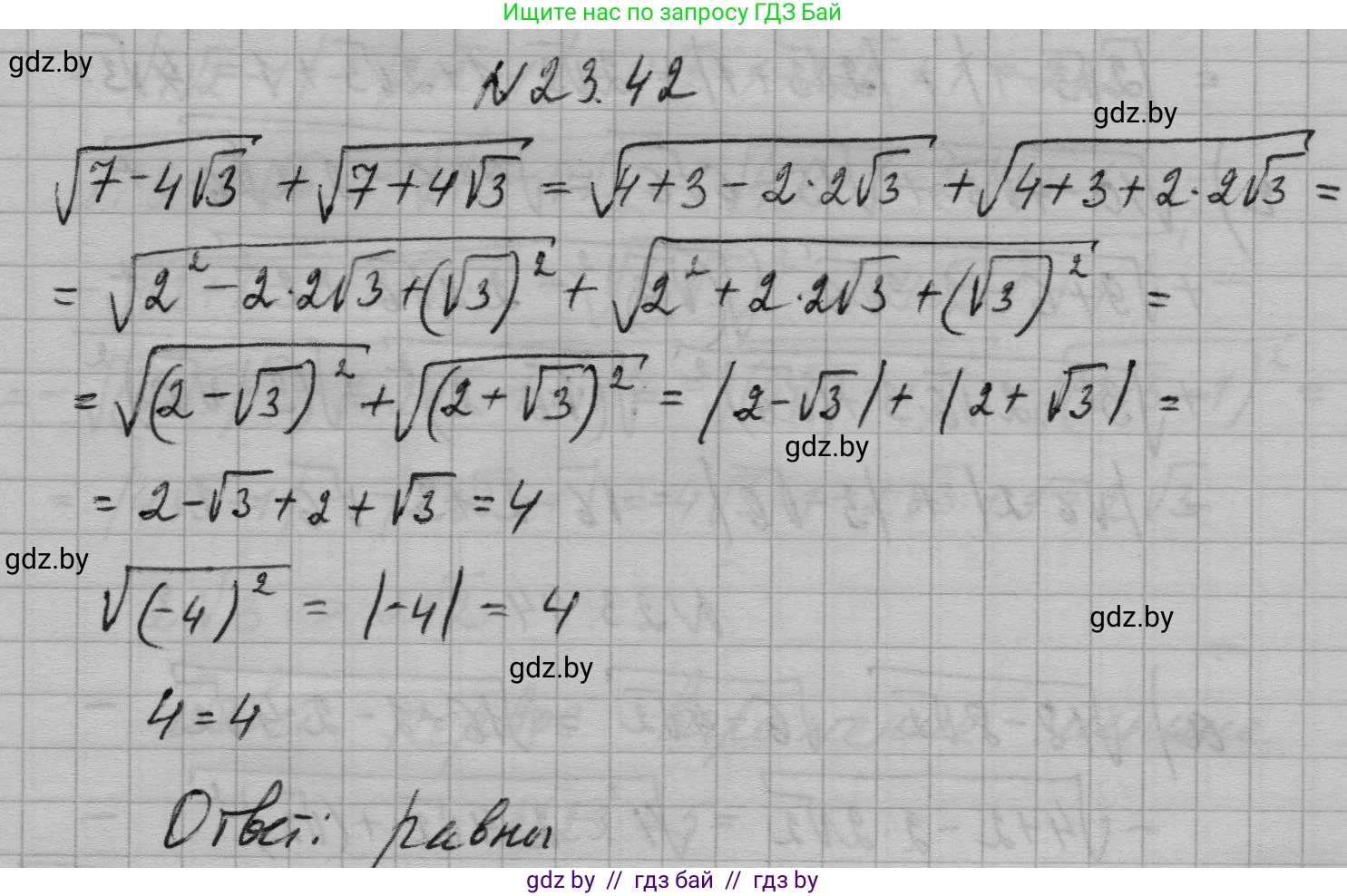
23.42*. Сравните значения выражений $\sqrt{7-4\sqrt{3}} + \sqrt{7+4\sqrt{3}}$ и $\sqrt{(-4)^2}$.

Решение. №23.42 (с. 111)
Алгебра, 7-9 класс Сборник задач, авторы: Арефьева Ирина Глебовна, Пирютко Ольга Николаевна, издательство Народная асвета, Минск, 2020, страница 111, номер 23.42, Решение
Решение 2. №23.42 (с. 111)

Для того чтобы сравнить значения выражений, необходимо упростить каждое из них.

Сначала вычислим значение первого выражения: $\sqrt{7-4\sqrt{3}} + \sqrt{7+4\sqrt{3}}$.

Обозначим это выражение буквой $A$. Поскольку оба слагаемых являются арифметическими квадратными корнями, их значения неотрицательны, а значит, их сумма $A$ также неотрицательна ($A \ge 0$).

Возведем выражение $A$ в квадрат:

$A^2 = (\sqrt{7-4\sqrt{3}} + \sqrt{7+4\sqrt{3}})^2$

Используя формулу квадрата суммы $(a+b)^2 = a^2 + 2ab + b^2$, получаем:

$A^2 = (\sqrt{7-4\sqrt{3}})^2 + 2 \cdot \sqrt{7-4\sqrt{3}} \cdot \sqrt{7+4\sqrt{3}} + (\sqrt{7+4\sqrt{3}})^2$

Упростим полученное выражение:

$A^2 = (7-4\sqrt{3}) + 2 \cdot \sqrt{(7-4\sqrt{3})(7+4\sqrt{3})} + (7+4\sqrt{3})$

Сгруппируем слагаемые и применим формулу разности квадратов $(a-b)(a+b) = a^2 - b^2$ для выражения под корнем:

$A^2 = 7 - 4\sqrt{3} + 7 + 4\sqrt{3} + 2 \cdot \sqrt{7^2 - (4\sqrt{3})^2}$

$A^2 = 14 + 2 \cdot \sqrt{49 - 16 \cdot 3}$

$A^2 = 14 + 2 \cdot \sqrt{49 - 48}$

$A^2 = 14 + 2 \cdot \sqrt{1}$

$A^2 = 14 + 2 = 16$

Так как $A \ge 0$, то, извлекая корень из обеих частей равенства $A^2=16$, получаем $A = \sqrt{16} = 4$.

Теперь вычислим значение второго выражения: $\sqrt{(-4)^2}$.

Используя свойство арифметического квадратного корня $\sqrt{a^2} = |a|$, имеем:

$\sqrt{(-4)^2} = |-4| = 4$.

Сравнивая полученные результаты, видим, что значение первого выражения равно 4 и значение второго выражения также равно 4.

Следовательно, значения данных выражений равны.

Ответ: Значения выражений равны.

Помогло решение? Оставьте отзыв в комментариях ниже.

Присоединяйтесь к Телеграм-группе @gdz_by_belarus

Присоединиться

Мы подготовили для вас ответ c подробным объяснением домашего задания по алгебре за 7-9 класс, для упражнения номер 23.42 расположенного на странице 111 к сборнику задач 2020 года издания для учащихся школ и гимназий.

Теперь на нашем сайте ГДЗ.ТОП вы всегда легко и бесплатно найдёте условие с правильным ответом на вопрос «Как решить ДЗ» и «Как сделать» задание по алгебре к упражнению №23.42 (с. 111), авторов: Арефьева (Ирина Глебовна), Пирютко (Ольга Николаевна), учебного пособия издательства Народная асвета.