Номер 23.40, страница 110 - гдз по алгебре 7-9 класс сборник задач Арефьева, Пирютко

Алгебра, 7-9 класс Сборник задач, авторы: Арефьева Ирина Глебовна, Пирютко Ольга Николаевна, издательство Народная асвета, Минск, 2020

Авторы: Арефьева И. Г., Пирютко О. Н.

Тип: Сборник задач

Издательство: Народная асвета

Год издания: 2020 - 2026

Цвет обложки: синий с графиками

Допущено Министерством образования Республики Беларусь

Популярные ГДЗ в 7 классе

8 класс. Параграф 23. Применение свойств квадратных корней - номер 23.40, страница 110.

№23.40 (с. 110)
Условие. №23.40 (с. 110)
скриншот условия
Алгебра, 7-9 класс Сборник задач, авторы: Арефьева Ирина Глебовна, Пирютко Ольга Николаевна, издательство Народная асвета, Минск, 2020, страница 110, номер 23.40, Условие

23.40*. Найдите значение выражения:

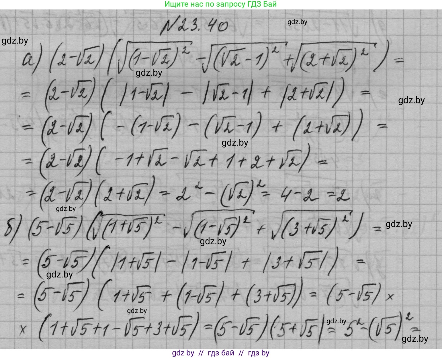
а) $$(2-\sqrt{2})(\sqrt{(1-\sqrt{2})^2} - \sqrt{(\sqrt{2}-1)^2} + \sqrt{(2+\sqrt{2})^2});$$

б) $$(5-\sqrt{5})(\sqrt{(1+\sqrt{5})^2} - \sqrt{(1-\sqrt{5})^2} + \sqrt{(3+\sqrt{5})^2}).$$

Решение. №23.40 (с. 110)
Алгебра, 7-9 класс Сборник задач, авторы: Арефьева Ирина Глебовна, Пирютко Ольга Николаевна, издательство Народная асвета, Минск, 2020, страница 110, номер 23.40, Решение Алгебра, 7-9 класс Сборник задач, авторы: Арефьева Ирина Глебовна, Пирютко Ольга Николаевна, издательство Народная асвета, Минск, 2020, страница 110, номер 23.40, Решение (продолжение 2)
Решение 2. №23.40 (с. 110)

а) $(2-\sqrt{2})(\sqrt{(1-\sqrt{2})^2} - \sqrt{(\sqrt{2}-1)^2} + \sqrt{(2+\sqrt{2})^2})$

Для упрощения выражения воспользуемся свойством арифметического квадратного корня: $\sqrt{a^2} = |a|$.

Раскроем модули в скобках, учитывая знаки подмодульных выражений:

1. $\sqrt{(1-\sqrt{2})^2} = |1-\sqrt{2}|$. Так как $1 < \sqrt{2}$ (потому что $1^2 < (\sqrt{2})^2$, то есть $1<2$), то выражение $1-\sqrt{2}$ отрицательное. Следовательно, $|1-\sqrt{2}| = -(1-\sqrt{2}) = \sqrt{2}-1$.

2. $\sqrt{(\sqrt{2}-1)^2} = |\sqrt{2}-1|$. Так как $\sqrt{2} > 1$, то выражение $\sqrt{2}-1$ положительное. Следовательно, $|\sqrt{2}-1| = \sqrt{2}-1$.

3. $\sqrt{(2+\sqrt{2})^2} = |2+\sqrt{2}|$. Выражение $2+\sqrt{2}$ положительное. Следовательно, $|2+\sqrt{2}| = 2+\sqrt{2}$.

Теперь подставим полученные значения обратно в выражение в скобках:

$(\sqrt{2}-1) - (\sqrt{2}-1) + (2+\sqrt{2}) = \sqrt{2}-1 - \sqrt{2}+1 + 2+\sqrt{2} = 2+\sqrt{2}$.

Исходное выражение принимает вид:

$(2-\sqrt{2})(2+\sqrt{2})$

Это формула разности квадратов $(a-b)(a+b) = a^2 - b^2$, где $a=2$ и $b=\sqrt{2}$.

$(2-\sqrt{2})(2+\sqrt{2}) = 2^2 - (\sqrt{2})^2 = 4 - 2 = 2$.

Ответ: $2$

б) $(5-\sqrt{5})(\sqrt{(1+\sqrt{5})^2} - \sqrt{(1-\sqrt{5})^2} + \sqrt{(3+\sqrt{5})^2})$

Используем свойство $\sqrt{a^2} = |a|$.

Раскроем модули в скобках:

1. $\sqrt{(1+\sqrt{5})^2} = |1+\sqrt{5}|$. Выражение $1+\sqrt{5}$ положительное. Следовательно, $|1+\sqrt{5}| = 1+\sqrt{5}$.

2. $\sqrt{(1-\sqrt{5})^2} = |1-\sqrt{5}|$. Так как $1 < \sqrt{5}$ (потому что $1^2 < (\sqrt{5})^2$, то есть $1<5$), то выражение $1-\sqrt{5}$ отрицательное. Следовательно, $|1-\sqrt{5}| = -(1-\sqrt{5}) = \sqrt{5}-1$.

3. $\sqrt{(3+\sqrt{5})^2} = |3+\sqrt{5}|$. Выражение $3+\sqrt{5}$ положительное. Следовательно, $|3+\sqrt{5}| = 3+\sqrt{5}$.

Подставим полученные значения в выражение в скобках:

$(1+\sqrt{5}) - (\sqrt{5}-1) + (3+\sqrt{5}) = 1+\sqrt{5} - \sqrt{5}+1 + 3+\sqrt{5} = 1+1+3+\sqrt{5} = 5+\sqrt{5}$.

Исходное выражение принимает вид:

$(5-\sqrt{5})(5+\sqrt{5})$

Применим формулу разности квадратов $(a-b)(a+b) = a^2 - b^2$, где $a=5$ и $b=\sqrt{5}$.

$(5-\sqrt{5})(5+\sqrt{5}) = 5^2 - (\sqrt{5})^2 = 25 - 5 = 20$.

Ответ: $20$

Помогло решение? Оставьте отзыв в комментариях ниже.

Присоединяйтесь к Телеграм-группе @gdz_by_belarus

Присоединиться

Мы подготовили для вас ответ c подробным объяснением домашего задания по алгебре за 7-9 класс, для упражнения номер 23.40 расположенного на странице 110 к сборнику задач 2020 года издания для учащихся школ и гимназий.

Теперь на нашем сайте ГДЗ.ТОП вы всегда легко и бесплатно найдёте условие с правильным ответом на вопрос «Как решить ДЗ» и «Как сделать» задание по алгебре к упражнению №23.40 (с. 110), авторов: Арефьева (Ирина Глебовна), Пирютко (Ольга Николаевна), учебного пособия издательства Народная асвета.