Номер 24.24, страница 117 - гдз по алгебре 7-9 класс сборник задач Арефьева, Пирютко

Алгебра, 7-9 класс Сборник задач, авторы: Арефьева Ирина Глебовна, Пирютко Ольга Николаевна, издательство Народная асвета, Минск, 2020

Авторы: Арефьева И. Г., Пирютко О. Н.

Тип: Сборник задач

Издательство: Народная асвета

Год издания: 2020 - 2026

Цвет обложки: синий с графиками

Допущено Министерством образования Республики Беларусь

8 класс. Параграф 24. Системы и совокупности линейных неравенств с одной переменной. Решение двойных неравенств. Числовые промежутки - номер 24.24, страница 117.

№24.24 (с. 117)
Условие. №24.24 (с. 117)
скриншот условия
Алгебра, 7-9 класс Сборник задач, авторы: Арефьева Ирина Глебовна, Пирютко Ольга Николаевна, издательство Народная асвета, Минск, 2020, страница 117, номер 24.24, Условие

24.24. Решите совокупность неравенств:

a) $\begin{cases} x + 9 < 19, \\ 2(x - 1) \ge 18; \end{cases}$

б) $\begin{cases} 6 - 2x \le 1 - 3(x - 1), \\ 6x - 4(x - 1) < x + 3; \end{cases}$

в) $\begin{cases} 2(x - 1) - 3(x + 4) > x, \\ 6x + 14 \ge 5 - x; \end{cases}$

г) $\begin{cases} \frac{2x - 1}{3} > 1, \\ x - \frac{6x}{5} \ge -\frac{2}{5}; \end{cases}$

д) $\begin{cases} \frac{2x - 1}{2} \ge \frac{x + 2}{3}, \\ 2x + 3 < \frac{x + 2}{2}; \end{cases}$

e) $\begin{cases} \frac{3 - 2x}{5} < \frac{1 - x}{2}, \\ 2 - 3x > x; \end{cases}$

ж) $\begin{cases} \frac{4x + 1}{7} - \frac{x}{2} > 0, \\ (x + 2)(x - 3) \ge x^2; \end{cases}$

з) $\begin{cases} \frac{x + 1}{3} - \frac{x}{4} > 0, \\ (x + 3)(x - 4) \le x^2. \end{cases}$

Решение. №24.24 (с. 117)
Алгебра, 7-9 класс Сборник задач, авторы: Арефьева Ирина Глебовна, Пирютко Ольга Николаевна, издательство Народная асвета, Минск, 2020, страница 117, номер 24.24, Решение Алгебра, 7-9 класс Сборник задач, авторы: Арефьева Ирина Глебовна, Пирютко Ольга Николаевна, издательство Народная асвета, Минск, 2020, страница 117, номер 24.24, Решение (продолжение 2)
Решение 2. №24.24 (с. 117)

а) Решим каждое неравенство совокупности:

1) $x + 9 < 19$

$x < 19 - 9$

$x < 10$

2) $2(x - 1) \ge 18$

$x - 1 \ge \frac{18}{2}$

$x - 1 \ge 9$

$x \ge 10$

Решением совокупности является объединение решений двух неравенств: $x < 10$ и $x \ge 10$. Объединение этих двух множеств, $(-\infty; 10) \cup [10; +\infty)$, дает все действительные числа.

Ответ: $x \in (-\infty; +\infty)$.

б) Решим каждое неравенство совокупности:

1) $6 - 2x \le 1 - 3(x - 1)$

$6 - 2x \le 1 - 3x + 3$

$6 - 2x \le 4 - 3x$

$3x - 2x \le 4 - 6$

$x \le -2$

2) $6x - 4(x - 1) < x + 3$

$6x - 4x + 4 < x + 3$

$2x + 4 < x + 3$

$2x - x < 3 - 4$

$x < -1$

Решением совокупности является объединение решений $x \le -2$ и $x < -1$. Так как промежуток $(-\infty; -2]$ полностью содержится в промежутке $(-\infty; -1)$, их объединением будет больший промежуток.

Ответ: $x \in (-\infty; -1)$.

в) Решим каждое неравенство совокупности:

1) $2(x - 1) - 3(x + 4) > x$

$2x - 2 - 3x - 12 > x$

$-x - 14 > x$

$-14 > 2x$

$x < -7$

2) $6x + 14 \ge 5 - x$

$6x + x \ge 5 - 14$

$7x \ge -9$

$x \ge -\frac{9}{7}$

Решением совокупности является объединение решений $x < -7$ и $x \ge -\frac{9}{7}$. Эти промежутки не пересекаются.

Ответ: $x \in (-\infty; -7) \cup [-\frac{9}{7}; +\infty)$.

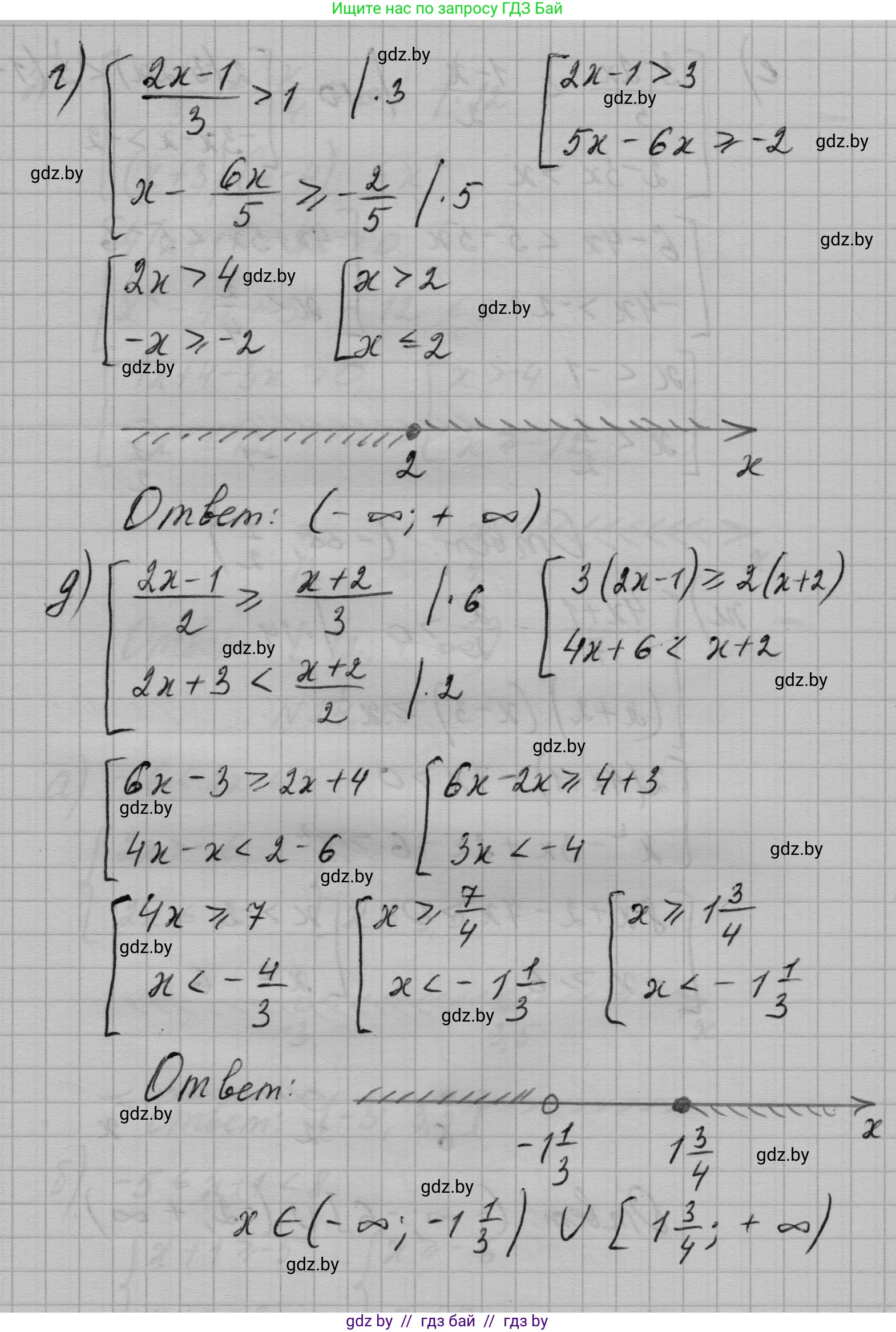
г) Решим каждое неравенство совокупности:

1) $\frac{2x - 1}{3} > 1$

$2x - 1 > 3$

$2x > 4$

$x > 2$

2) $x - \frac{6x}{5} \ge -\frac{2}{5}$

Умножим обе части на 5:

$5x - 6x \ge -2$

$-x \ge -2$

$x \le 2$

Решением совокупности является объединение решений $x > 2$ и $x \le 2$. Объединение этих двух множеств, $(-\infty; 2] \cup (2; +\infty)$, дает все действительные числа.

Ответ: $x \in (-\infty; +\infty)$.

д) Решим каждое неравенство совокупности:

1) $\frac{2x - 1}{2} \ge \frac{x + 2}{3}$

Умножим обе части на 6:

$3(2x - 1) \ge 2(x + 2)$

$6x - 3 \ge 2x + 4$

$4x \ge 7$

$x \ge \frac{7}{4}$

2) $2x + 3 < \frac{x + 2}{2}$

Умножим обе части на 2:

$2(2x + 3) < x + 2$

$4x + 6 < x + 2$

$3x < -4$

$x < -\frac{4}{3}$

Решением совокупности является объединение решений $x \ge \frac{7}{4}$ и $x < -\frac{4}{3}$. Эти промежутки не пересекаются.

Ответ: $x \in (-\infty; -\frac{4}{3}) \cup [\frac{7}{4}; +\infty)$.

е) Решим каждое неравенство совокупности:

1) $\frac{3 - 2x}{5} < \frac{1 - x}{2}$

Умножим обе части на 10:

$2(3 - 2x) < 5(1 - x)$

$6 - 4x < 5 - 5x$

$x < -1$

2) $2 - 3x > x$

$2 > 4x$

$x < \frac{1}{2}$

Решением совокупности является объединение решений $x < -1$ и $x < \frac{1}{2}$. Так как промежуток $(-\infty; -1)$ полностью содержится в промежутке $(-\infty; \frac{1}{2})$, их объединением будет больший промежуток.

Ответ: $x \in (-\infty; \frac{1}{2})$.

ж) Решим каждое неравенство совокупности:

1) $\frac{4x + 1}{7} - \frac{x}{2} > 0$

Умножим обе части на 14:

$2(4x + 1) - 7x > 0$

$8x + 2 - 7x > 0$

$x + 2 > 0$

$x > -2$

2) $(x + 2)(x - 3) \ge x^2$

$x^2 - 3x + 2x - 6 \ge x^2$

$x^2 - x - 6 \ge x^2$

$-x - 6 \ge 0$

$-x \ge 6$

$x \le -6$

Решением совокупности является объединение решений $x > -2$ и $x \le -6$. Эти промежутки не пересекаются.

Ответ: $x \in (-\infty; -6] \cup (-2; +\infty)$.

з) Решим каждое неравенство совокупности:

1) $\frac{x + 1}{3} - \frac{x}{4} > 0$

Умножим обе части на 12:

$4(x + 1) - 3x > 0$

$4x + 4 - 3x > 0$

$x + 4 > 0$

$x > -4$

2) $(x + 3)(x - 4) \le x^2$

$x^2 - 4x + 3x - 12 \le x^2$

$x^2 - x - 12 \le x^2$

$-x - 12 \le 0$

$-x \le 12$

$x \ge -12$

Решением совокупности является объединение решений $x > -4$ и $x \ge -12$. Так как промежуток $(-4; +\infty)$ полностью содержится в промежутке $[-12; +\infty)$, их объединением будет больший промежуток.

Ответ: $x \in [-12; +\infty)$.

Помогло решение? Оставьте отзыв в комментариях ниже.

Присоединяйтесь к Телеграм-группе @gdz_by_belarus

Присоединиться

Мы подготовили для вас ответ c подробным объяснением домашего задания по алгебре за 7-9 класс, для упражнения номер 24.24 расположенного на странице 117 к сборнику задач 2020 года издания для учащихся школ и гимназий.

Теперь на нашем сайте ГДЗ.ТОП вы всегда легко и бесплатно найдёте условие с правильным ответом на вопрос «Как решить ДЗ» и «Как сделать» задание по алгебре к упражнению №24.24 (с. 117), авторов: Арефьева (Ирина Глебовна), Пирютко (Ольга Николаевна), учебного пособия издательства Народная асвета.