Номер 24.17, страница 115 - гдз по алгебре 7-9 класс сборник задач Арефьева, Пирютко

Алгебра, 7-9 класс Сборник задач, авторы: Арефьева Ирина Глебовна, Пирютко Ольга Николаевна, издательство Народная асвета, Минск, 2020

Авторы: Арефьева И. Г., Пирютко О. Н.

Тип: Сборник задач

Издательство: Народная асвета

Год издания: 2020 - 2026

Цвет обложки: синий с графиками

Допущено Министерством образования Республики Беларусь

8 класс. Параграф 24. Системы и совокупности линейных неравенств с одной переменной. Решение двойных неравенств. Числовые промежутки - номер 24.17, страница 115.

№24.17 (с. 115)
Условие. №24.17 (с. 115)
скриншот условия
Алгебра, 7-9 класс Сборник задач, авторы: Арефьева Ирина Глебовна, Пирютко Ольга Николаевна, издательство Народная асвета, Минск, 2020, страница 115, номер 24.17, Условие Алгебра, 7-9 класс Сборник задач, авторы: Арефьева Ирина Глебовна, Пирютко Ольга Николаевна, издательство Народная асвета, Минск, 2020, страница 115, номер 24.17, Условие (продолжение 2)

24.17. Решите систему неравенств:

а) $2x + 1 < \frac{4x - 17}{2}$,
$x(x + 1) \ge (x - 2)(x + 2) - 6;$

б) $(x + 5)(x - 4) \ge (x + 5)(x - 5) + 13$,
$\frac{3x - 4}{5} > -7;$

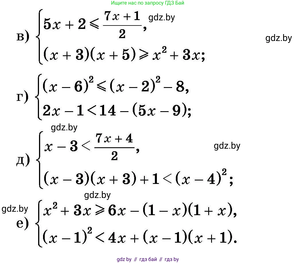
в) $5x + 2 \le \frac{7x + 1}{2}$,
$(x + 3)(x + 5) \ge x^2 + 3x;$

г) $(x - 6)^2 \le (x - 2)^2 - 8$,
$2x - 1 < 14 - (5x - 9);$

д) $x - 3 < \frac{7x + 4}{2}$,
$(x - 3)(x + 3) + 1 < (x - 4)^2;$

е) $x^2 + 3x \ge 6x - (1 - x)(1 + x)$,
$(x - 1)^2 < 4x + (x - 1)(x + 1).$

Решение. №24.17 (с. 115)
Алгебра, 7-9 класс Сборник задач, авторы: Арефьева Ирина Глебовна, Пирютко Ольга Николаевна, издательство Народная асвета, Минск, 2020, страница 115, номер 24.17, Решение Алгебра, 7-9 класс Сборник задач, авторы: Арефьева Ирина Глебовна, Пирютко Ольга Николаевна, издательство Народная асвета, Минск, 2020, страница 115, номер 24.17, Решение (продолжение 2)
Решение 2. №24.17 (с. 115)

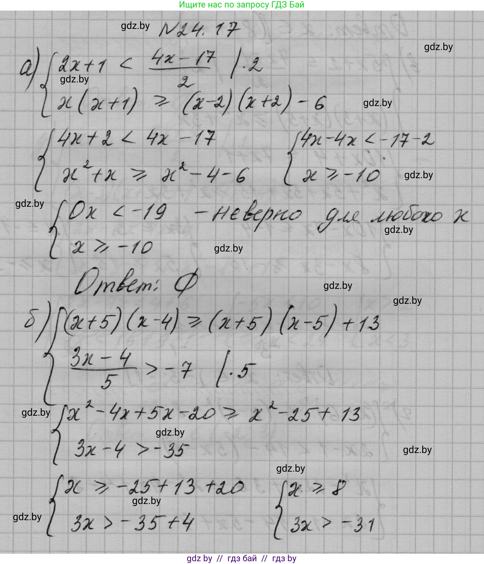
а)

Решим систему неравенств: $ \begin{cases} 2x + 1 < \frac{4x - 17}{2} \\ x(x + 1) \ge (x - 2)(x + 2) - 6 \end{cases} $

Решим первое неравенство:
$2x + 1 < \frac{4x - 17}{2}$
Умножим обе части на 2:
$2(2x + 1) < 4x - 17$
$4x + 2 < 4x - 17$
$4x - 4x < -17 - 2$
$0 < -19$
Полученное неравенство неверно, следовательно, оно не имеет решений.

Поскольку одно из неравенств системы не имеет решений, то и вся система не имеет решений.

Ответ: нет решений.

б)

Решим систему неравенств: $ \begin{cases} (x + 5)(x - 4) \ge (x + 5)(x - 5) + 13 \\ \frac{3x - 4}{5} > -7 \end{cases} $

Решим первое неравенство:
$(x + 5)(x - 4) \ge (x + 5)(x - 5) + 13$
$x^2 - 4x + 5x - 20 \ge x^2 - 5x + 5x - 25 + 13$
$x^2 + x - 20 \ge x^2 - 12$
$x - 20 \ge -12$
$x \ge 8$

Решим второе неравенство:
$\frac{3x - 4}{5} > -7$
$3x - 4 > -35$
$3x > -31$
$x > -\frac{31}{3}$

Пересечением решений $x \ge 8$ и $x > -\frac{31}{3}$ является промежуток $x \ge 8$.

Ответ: $[8; +\infty)$.

в)

Решим систему неравенств: $ \begin{cases} 5x + 2 \le \frac{7x + 1}{2} \\ (x + 3)(x + 5) \ge x^2 + 3x \end{cases} $

Решим первое неравенство:
$5x + 2 \le \frac{7x + 1}{2}$
$10x + 4 \le 7x + 1$
$3x \le -3$
$x \le -1$

Решим второе неравенство:
$(x + 3)(x + 5) \ge x^2 + 3x$
$x^2 + 8x + 15 \ge x^2 + 3x$
$5x \ge -15$
$x \ge -3$

Пересечением решений $x \le -1$ и $x \ge -3$ является промежуток $-3 \le x \le -1$.

Ответ: $[-3; -1]$.

г)

Решим систему неравенств: $ \begin{cases} (x - 6)^2 \le (x - 2)^2 - 8 \\ 2x - 1 < 14 - (5x - 9) \end{cases} $

Решим первое неравенство:
$(x - 6)^2 \le (x - 2)^2 - 8$
$x^2 - 12x + 36 \le x^2 - 4x + 4 - 8$
$x^2 - 12x + 36 \le x^2 - 4x - 4$
$-12x + 4x \le -4 - 36$
$-8x \le -40$
$x \ge 5$

Решим второе неравенство:
$2x - 1 < 14 - (5x - 9)$
$2x - 1 < 14 - 5x + 9$
$2x - 1 < 23 - 5x$
$7x < 24$
$x < \frac{24}{7}$

Нужно найти пересечение решений $x \ge 5$ и $x < \frac{24}{7}$. Так как $\frac{24}{7} = 3\frac{3}{7}$, а $5 > 3\frac{3}{7}$, то пересечения множеств решений нет.

Ответ: нет решений.

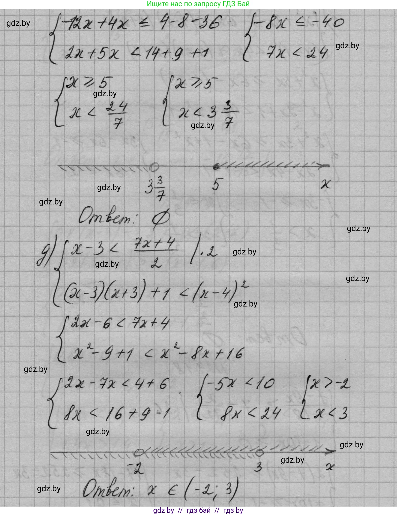
д)

Решим систему неравенств: $ \begin{cases} x - 3 < \frac{7x + 4}{2} \\ (x - 3)(x + 3) + 1 < (x - 4)^2 \end{cases} $

Решим первое неравенство:
$x - 3 < \frac{7x + 4}{2}$
$2(x - 3) < 7x + 4$
$2x - 6 < 7x + 4$
$-5x < 10$
$x > -2$

Решим второе неравенство:
$(x - 3)(x + 3) + 1 < (x - 4)^2$
$x^2 - 9 + 1 < x^2 - 8x + 16$
$x^2 - 8 < x^2 - 8x + 16$
$8x < 24$
$x < 3$

Пересечением решений $x > -2$ и $x < 3$ является промежуток $-2 < x < 3$.

Ответ: $(-2; 3)$.

е)

Решим систему неравенств: $ \begin{cases} x^2 + 3x \ge 6x - (1 - x)(1 + x) \\ (x - 1)^2 < 4x + (x - 1)(x + 1) \end{cases} $

Решим первое неравенство:
$x^2 + 3x \ge 6x - (1 - x^2)$
$x^2 + 3x \ge 6x - 1 + x^2$
$3x - 6x \ge -1$
$-3x \ge -1$
$x \le \frac{1}{3}$

Решим второе неравенство:
$(x - 1)^2 < 4x + (x - 1)(x + 1)$
$x^2 - 2x + 1 < 4x + x^2 - 1$
$-2x - 4x < -1 - 1$
$-6x < -2$
$x > \frac{-2}{-6}$
$x > \frac{1}{3}$

Нужно найти пересечение решений $x \le \frac{1}{3}$ и $x > \frac{1}{3}$. Множества решений не пересекаются.

Ответ: нет решений.

Помогло решение? Оставьте отзыв в комментариях ниже.

Присоединяйтесь к Телеграм-группе @gdz_by_belarus

Присоединиться

Мы подготовили для вас ответ c подробным объяснением домашего задания по алгебре за 7-9 класс, для упражнения номер 24.17 расположенного на странице 115 к сборнику задач 2020 года издания для учащихся школ и гимназий.

Теперь на нашем сайте ГДЗ.ТОП вы всегда легко и бесплатно найдёте условие с правильным ответом на вопрос «Как решить ДЗ» и «Как сделать» задание по алгебре к упражнению №24.17 (с. 115), авторов: Арефьева (Ирина Глебовна), Пирютко (Ольга Николаевна), учебного пособия издательства Народная асвета.