Номер 24.14, страница 115 - гдз по алгебре 7-9 класс сборник задач Арефьева, Пирютко

Алгебра, 7-9 класс Сборник задач, авторы: Арефьева Ирина Глебовна, Пирютко Ольга Николаевна, издательство Народная асвета, Минск, 2020

Авторы: Арефьева И. Г., Пирютко О. Н.

Тип: Сборник задач

Издательство: Народная асвета

Год издания: 2020 - 2026

Цвет обложки: синий с графиками

Допущено Министерством образования Республики Беларусь

Популярные ГДЗ в 7 классе

8 класс. Параграф 24. Системы и совокупности линейных неравенств с одной переменной. Решение двойных неравенств. Числовые промежутки - номер 24.14, страница 115.

№24.14 (с. 115)
Условие. №24.14 (с. 115)
скриншот условия
Алгебра, 7-9 класс Сборник задач, авторы: Арефьева Ирина Глебовна, Пирютко Ольга Николаевна, издательство Народная асвета, Минск, 2020, страница 115, номер 24.14, Условие

24.14. Решите систему неравенств:

а) $ \left\{ \begin{array}{l} \frac{4x - 1}{3} \le 9, \\ 3x - 1 > x + 2; \end{array} \right. $

б) $ \left\{ \begin{array}{l} 2x - 3 < 4x - 2,5, \\ \frac{x}{5} \ge \frac{x}{3} - 2; \end{array} \right. $

в) $ \left\{ \begin{array}{l} \frac{x + 3}{3} \ge \frac{6x - 7}{4}, \\ \frac{x + 12}{2} \le 13x + 4; \end{array} \right. $

г) $ \left\{ \begin{array}{l} \frac{2x - 7}{2} > \frac{3 - x}{3} + 1, \\ \frac{3x - 5}{5} + 3 > \frac{4x - 4}{3} - \frac{x - 2}{2}; \end{array} \right. $

д) $ \left\{ \begin{array}{l} \frac{x + 3}{3} \le \frac{2x - 1}{2}, \\ \frac{x - 2}{4} > \frac{x + 4}{3}; \end{array} \right. $

е) $ \left\{ \begin{array}{l} \frac{2x + 3}{3} > \frac{3x - 1}{5}, \\ \frac{3x - 1}{5} \ge \frac{2x - 3}{2}; \end{array} \right. $

ж) $ \left\{ \begin{array}{l} \frac{x + 1}{2} - 2 \le \frac{x}{3}, \\ x + 1 + \frac{x + 1}{3} > -x - \frac{1}{3}; \end{array} \right. $

з) $ \left\{ \begin{array}{l} \frac{6 - x}{4} - \frac{x - 1}{3} > \frac{x - 4}{4}, \\ \frac{4x - 4}{5} - \frac{2x - 3}{3} < \frac{15x + 7}{15}. \end{array} \right. $

Решение. №24.14 (с. 115)
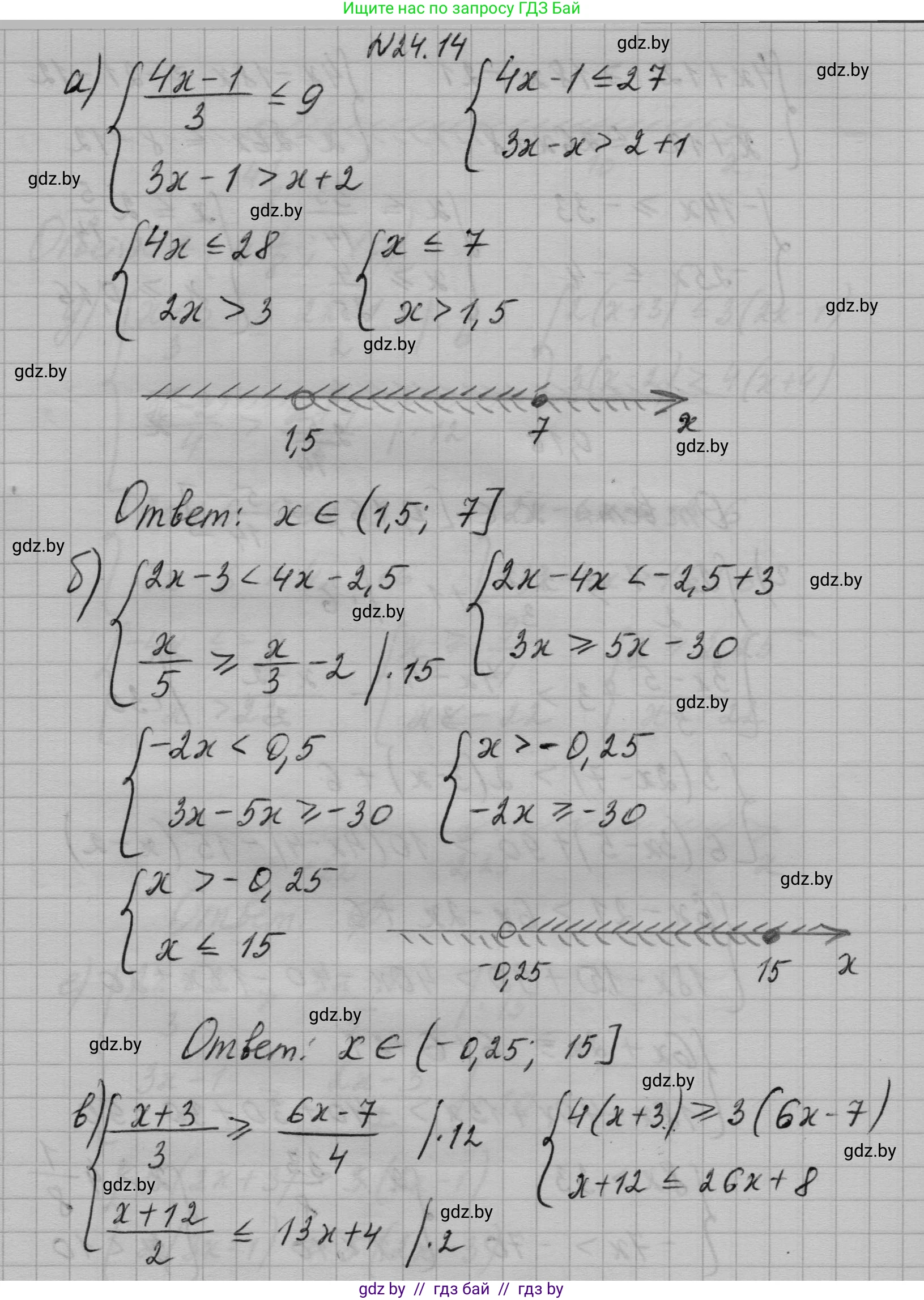
Алгебра, 7-9 класс Сборник задач, авторы: Арефьева Ирина Глебовна, Пирютко Ольга Николаевна, издательство Народная асвета, Минск, 2020, страница 115, номер 24.14, Решение Алгебра, 7-9 класс Сборник задач, авторы: Арефьева Ирина Глебовна, Пирютко Ольга Николаевна, издательство Народная асвета, Минск, 2020, страница 115, номер 24.14, Решение (продолжение 2)
Решение 2. №24.14 (с. 115)

а)

Решим систему неравенств:

$\begin{cases} \frac{4x - 1}{3} \le 9, \\ 3x - 1 > x + 2; \end{cases}$

1. Решаем первое неравенство:

$\frac{4x - 1}{3} \le 9$

$4x - 1 \le 9 \cdot 3$

$4x - 1 \le 27$

$4x \le 28$

$x \le 7$

2. Решаем второе неравенство:

$3x - 1 > x + 2$

$3x - x > 2 + 1$

$2x > 3$

$x > \frac{3}{2}$ или $x > 1,5$

3. Находим пересечение решений: $x \le 7$ и $x > 1,5$.

Получаем интервал $1,5 < x \le 7$.

Ответ: $(1,5; 7]$.

б)

Решим систему неравенств:

$\begin{cases} 2x - 3 < 4x - 2,5, \\ \frac{x}{5} \ge \frac{x}{3} - 2; \end{cases}$

1. Решаем первое неравенство:

$2x - 3 < 4x - 2,5$

$-3 + 2,5 < 4x - 2x$

$-0,5 < 2x$

$x > -0,25$

2. Решаем второе неравенство:

$\frac{x}{5} \ge \frac{x}{3} - 2$

Умножим обе части на общий знаменатель 15:

$15 \cdot \frac{x}{5} \ge 15 \cdot \frac{x}{3} - 15 \cdot 2$

$3x \ge 5x - 30$

$30 \ge 5x - 3x$

$30 \ge 2x$

$x \le 15$

3. Находим пересечение решений: $x > -0,25$ и $x \le 15$.

Получаем интервал $-0,25 < x \le 15$.

Ответ: $(-0,25; 15]$.

в)

Решим систему неравенств:

$\begin{cases} \frac{x+3}{3} \ge \frac{6x-7}{4}, \\ \frac{x+12}{2} \le 13x+4; \end{cases}$

1. Решаем первое неравенство:

$\frac{x+3}{3} \ge \frac{6x-7}{4}$

$4(x+3) \ge 3(6x-7)$

$4x+12 \ge 18x-21$

$12+21 \ge 18x-4x$

$33 \ge 14x$

$x \le \frac{33}{14}$

2. Решаем второе неравенство:

$\frac{x+12}{2} \le 13x+4$

$x+12 \le 2(13x+4)$

$x+12 \le 26x+8$

$12-8 \le 26x-x$

$4 \le 25x$

$x \ge \frac{4}{25}$

3. Находим пересечение решений: $x \le \frac{33}{14}$ и $x \ge \frac{4}{25}$.

Получаем интервал $\frac{4}{25} \le x \le \frac{33}{14}$.

Ответ: $[\frac{4}{25}; \frac{33}{14}]$.

г)

Решим систему неравенств:

$\begin{cases} \frac{2x-7}{2} > \frac{3-x}{3}+1, \\ \frac{3x-5}{5}+3 > \frac{4x-4}{3}-\frac{x-2}{2}; \end{cases}$

1. Решаем первое неравенство:

$\frac{2x-7}{2} > \frac{3-x}{3}+1$

Умножим на 6:

$3(2x-7) > 2(3-x)+6$

$6x-21 > 6-2x+6$

$6x+2x > 12+21$

$8x > 33$

$x > \frac{33}{8}$

2. Решаем второе неравенство:

$\frac{3x-5}{5}+3 > \frac{4x-4}{3}-\frac{x-2}{2}$

Умножим на 30:

$6(3x-5)+90 > 10(4x-4)-15(x-2)$

$18x-30+90 > 40x-40-15x+30$

$18x+60 > 25x-10$

$70 > 7x$

$x < 10$

3. Находим пересечение решений: $x > \frac{33}{8}$ и $x < 10$.

Получаем интервал $\frac{33}{8} < x < 10$.

Ответ: $(\frac{33}{8}; 10)$.

д)

Решим систему неравенств:

$\begin{cases} \frac{x+3}{3} \le \frac{2x-1}{2}, \\ \frac{x-2}{4} > \frac{x+4}{3}; \end{cases}$

1. Решаем первое неравенство:

$\frac{x+3}{3} \le \frac{2x-1}{2}$

$2(x+3) \le 3(2x-1)$

$2x+6 \le 6x-3$

$9 \le 4x$

$x \ge \frac{9}{4}$

2. Решаем второе неравенство:

$\frac{x-2}{4} > \frac{x+4}{3}$

$3(x-2) > 4(x+4)$

$3x-6 > 4x+16$

$-22 > x$

$x < -22$

3. Находим пересечение решений: $x \ge \frac{9}{4}$ и $x < -22$.

Пересечения нет, так как не существует числа, которое одновременно больше $\frac{9}{4}$ (2.25) и меньше -22.

Ответ: решений нет.

е)

Решим систему неравенств:

$\begin{cases} \frac{2x+3}{3} > \frac{3x-1}{5}, \\ \frac{3x-1}{5} \ge \frac{2x-3}{2}; \end{cases}$

1. Решаем первое неравенство:

$\frac{2x+3}{3} > \frac{3x-1}{5}$

$5(2x+3) > 3(3x-1)$

$10x+15 > 9x-3$

$x > -18$

2. Решаем второе неравенство:

$\frac{3x-1}{5} \ge \frac{2x-3}{2}$

$2(3x-1) \ge 5(2x-3)$

$6x-2 \ge 10x-15$

$13 \ge 4x$

$x \le \frac{13}{4}$

3. Находим пересечение решений: $x > -18$ и $x \le \frac{13}{4}$.

Получаем интервал $-18 < x \le \frac{13}{4}$.

Ответ: $(-18; \frac{13}{4}]$.

ж)

Решим систему неравенств:

$\begin{cases} \frac{x+1}{2}-2 \le \frac{x}{3}, \\ x+1+\frac{x+1}{3} > -x-\frac{1}{3}; \end{cases}$

1. Решаем первое неравенство:

$\frac{x+1}{2}-2 \le \frac{x}{3}$

Умножим на 6:

$3(x+1)-12 \le 2x$

$3x+3-12 \le 2x$

$3x-9 \le 2x$

$x \le 9$

2. Решаем второе неравенство:

$x+1+\frac{x+1}{3} > -x-\frac{1}{3}$

Умножим на 3:

$3(x+1)+(x+1) > -3x-1$

$3x+3+x+1 > -3x-1$

$4x+4 > -3x-1$

$7x > -5$

$x > -\frac{5}{7}$

3. Находим пересечение решений: $x \le 9$ и $x > -\frac{5}{7}$.

Получаем интервал $-\frac{5}{7} < x \le 9$.

Ответ: $(-\frac{5}{7}; 9]$.

з)

Решим систему неравенств:

$\begin{cases} \frac{6-x}{4}-\frac{x-1}{3} > \frac{x-4}{4}, \\ \frac{4x-4}{5}-\frac{2x-3}{3} < \frac{15x+7}{15}; \end{cases}$

1. Решаем первое неравенство:

$\frac{6-x}{4}-\frac{x-1}{3} > \frac{x-4}{4}$

Умножим на 12:

$3(6-x)-4(x-1) > 3(x-4)$

$18-3x-4x+4 > 3x-12$

$22-7x > 3x-12$

$34 > 10x$

$x < 3,4$

2. Решаем второе неравенство:

$\frac{4x-4}{5}-\frac{2x-3}{3} < \frac{15x+7}{15}$

Умножим на 15:

$3(4x-4)-5(2x-3) < 15x+7$

$12x-12-10x+15 < 15x+7$

$2x+3 < 15x+7$

$-4 < 13x$

$x > -\frac{4}{13}$

3. Находим пересечение решений: $x < 3,4$ и $x > -\frac{4}{13}$.

Получаем интервал $-\frac{4}{13} < x < 3,4$.

Ответ: $(-\frac{4}{13}; 3,4)$.

Помогло решение? Оставьте отзыв в комментариях ниже.

Присоединяйтесь к Телеграм-группе @gdz_by_belarus

Присоединиться

Мы подготовили для вас ответ c подробным объяснением домашего задания по алгебре за 7-9 класс, для упражнения номер 24.14 расположенного на странице 115 к сборнику задач 2020 года издания для учащихся школ и гимназий.

Теперь на нашем сайте ГДЗ.ТОП вы всегда легко и бесплатно найдёте условие с правильным ответом на вопрос «Как решить ДЗ» и «Как сделать» задание по алгебре к упражнению №24.14 (с. 115), авторов: Арефьева (Ирина Глебовна), Пирютко (Ольга Николаевна), учебного пособия издательства Народная асвета.