Номер 24.11, страница 114 - гдз по алгебре 7-9 класс сборник задач Арефьева, Пирютко

Алгебра, 7-9 класс Сборник задач, авторы: Арефьева Ирина Глебовна, Пирютко Ольга Николаевна, издательство Народная асвета, Минск, 2020

Авторы: Арефьева И. Г., Пирютко О. Н.

Тип: Сборник задач

Издательство: Народная асвета

Год издания: 2020 - 2026

Цвет обложки: синий с графиками

Допущено Министерством образования Республики Беларусь

Популярные ГДЗ в 7 классе

8 класс. Параграф 24. Системы и совокупности линейных неравенств с одной переменной. Решение двойных неравенств. Числовые промежутки - номер 24.11, страница 114.

№24.11 (с. 114)
Условие. №24.11 (с. 114)
скриншот условия
Алгебра, 7-9 класс Сборник задач, авторы: Арефьева Ирина Глебовна, Пирютко Ольга Николаевна, издательство Народная асвета, Минск, 2020, страница 114, номер 24.11, Условие

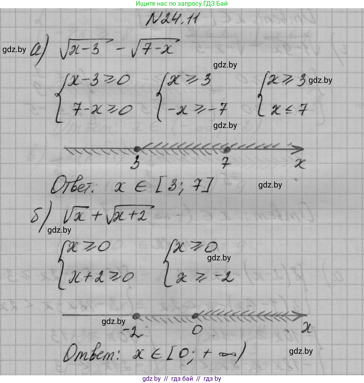
24.11. Найдите, при каких значениях переменной имеет смысл выражение:

а) $\sqrt{x-3}-\sqrt{7-x}$;

б) $\sqrt{x+\sqrt{x+2}};

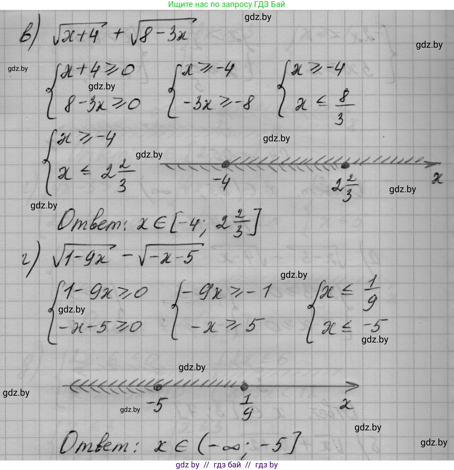
в) $\sqrt{x+4}+\sqrt{8-3x}$;

г) $\sqrt{1-9x}-\sqrt{-x-5}.$

Решение. №24.11 (с. 114)
Алгебра, 7-9 класс Сборник задач, авторы: Арефьева Ирина Глебовна, Пирютко Ольга Николаевна, издательство Народная асвета, Минск, 2020, страница 114, номер 24.11, Решение Алгебра, 7-9 класс Сборник задач, авторы: Арефьева Ирина Глебовна, Пирютко Ольга Николаевна, издательство Народная асвета, Минск, 2020, страница 114, номер 24.11, Решение (продолжение 2)
Решение 2. №24.11 (с. 114)

а) Чтобы выражение $\sqrt{x-3} - \sqrt{7-x}$ имело смысл, необходимо, чтобы оба подкоренных выражения были неотрицательными. Это требование приводит к системе неравенств:

$$ \begin{cases} x-3 \ge 0 \\ 7-x \ge 0 \end{cases} $$

Решим эту систему:

$$ \begin{cases} x \ge 3 \\ 7 \ge x \end{cases} $$

Объединяя оба условия, получаем $3 \le x \le 7$.

Ответ: $x \in [3; 7]$.

б) Чтобы выражение $\sqrt{x + \sqrt{x+2}}$ имело смысл, оба подкоренных выражения (внутреннее и внешнее) должны быть неотрицательными. Это приводит к системе неравенств:

$$ \begin{cases} x+2 \ge 0 \\ x + \sqrt{x+2} \ge 0 \end{cases} $$

Из первого неравенства получаем $x \ge -2$.

Решим второе неравенство: $x + \sqrt{x+2} \ge 0 \implies \sqrt{x+2} \ge -x$.

Рассмотрим два случая:
1. Если правая часть неравенства неположительна, то есть $-x \le 0 \implies x \ge 0$. В этом случае неравенство выполняется, так как квадратный корень всегда неотрицателен. Все значения $x \ge 0$ являются решениями.
2. Если правая часть неравенства положительна, то есть $-x > 0 \implies x < 0$. В этом случае обе части неравенства неотрицательны, и мы можем возвести их в квадрат, сохранив знак неравенства: $$ (\sqrt{x+2})^2 \ge (-x)^2 $$ $$ x+2 \ge x^2 $$ $$ x^2 - x - 2 \le 0 $$ Корнями уравнения $x^2 - x - 2 = 0$ являются $x_1 = -1$ и $x_2 = 2$. Поскольку парабола $y = x^2 - x - 2$ направлена ветвями вверх, неравенство $x^2 - x - 2 \le 0$ выполняется на отрезке $[-1; 2]$.
Теперь найдем пересечение этого решения с условиями данного случая ($x < 0$ и $x \ge -2$): $x \in [-1; 2] \cap [-2; 0) = [-1; 0)$.

Объединяя решения из обоих случаев, получаем: $[-1; 0) \cup [0; +\infty) = [-1; +\infty)$. Это множество значений удовлетворяет и первому условию системы ($x \ge -2$).

Ответ: $x \in [-1; +\infty)$.

в) Чтобы выражение $\sqrt{x+4} + \sqrt{8-3x}$ имело смысл, подкоренные выражения должны быть неотрицательными. Составим систему неравенств:

$$ \begin{cases} x+4 \ge 0 \\ 8-3x \ge 0 \end{cases} $$

Решим эту систему:

$$ \begin{cases} x \ge -4 \\ 8 \ge 3x \end{cases} \implies \begin{cases} x \ge -4 \\ x \le \frac{8}{3} \end{cases} $$

Таким образом, $-4 \le x \le \frac{8}{3}$.

Ответ: $x \in [-4; \frac{8}{3}]$.

г) Чтобы выражение $\sqrt{1 - 9x - \sqrt{-x - 5}}$ имело смысл, необходимо выполнение системы неравенств:

$$ \begin{cases} -x - 5 \ge 0 \\ 1 - 9x - \sqrt{-x - 5} \ge 0 \end{cases} $$

Из первого неравенства получаем: $-x \ge 5 \implies x \le -5$.

Решим второе неравенство: $1 - 9x \ge \sqrt{-x - 5}$.

При условии $x \le -5$ левая часть $1 - 9x$ всегда положительна (например, при $x = -5$, $1 - 9(-5) = 46 > 0$). Правая часть неотрицательна по определению. Следовательно, можно возвести обе части в квадрат:

$$ (1 - 9x)^2 \ge (\sqrt{-x - 5})^2 $$ $$ 1 - 18x + 81x^2 \ge -x - 5 $$ $$ 81x^2 - 17x + 6 \ge 0 $$

Найдем дискриминант квадратного трехчлена $81x^2 - 17x + 6$: $$ D = (-17)^2 - 4 \cdot 81 \cdot 6 = 289 - 1944 = -1655 $$ Поскольку дискриминант отрицательный ($D < 0$), а старший коэффициент положительный ($a = 81 > 0$), трехчлен $81x^2 - 17x + 6$ положителен при любых значениях $x$. Это означает, что второе неравенство выполняется для всех $x$, для которых оно определено.

Следовательно, единственным ограничением для переменной $x$ является первое неравенство системы: $x \le -5$.

Ответ: $x \in (-\infty; -5]$.

Помогло решение? Оставьте отзыв в комментариях ниже.

Присоединяйтесь к Телеграм-группе @gdz_by_belarus

Присоединиться

Мы подготовили для вас ответ c подробным объяснением домашего задания по алгебре за 7-9 класс, для упражнения номер 24.11 расположенного на странице 114 к сборнику задач 2020 года издания для учащихся школ и гимназий.

Теперь на нашем сайте ГДЗ.ТОП вы всегда легко и бесплатно найдёте условие с правильным ответом на вопрос «Как решить ДЗ» и «Как сделать» задание по алгебре к упражнению №24.11 (с. 114), авторов: Арефьева (Ирина Глебовна), Пирютко (Ольга Николаевна), учебного пособия издательства Народная асвета.