Номер 24.10, страница 114 - гдз по алгебре 7-9 класс сборник задач Арефьева, Пирютко

Алгебра, 7-9 класс Сборник задач, авторы: Арефьева Ирина Глебовна, Пирютко Ольга Николаевна, издательство Народная асвета, Минск, 2020

Авторы: Арефьева И. Г., Пирютко О. Н.

Тип: Сборник задач

Издательство: Народная асвета

Год издания: 2020 - 2026

Цвет обложки: синий с графиками

Допущено Министерством образования Республики Беларусь

Популярные ГДЗ в 7 классе

8 класс. Параграф 24. Системы и совокупности линейных неравенств с одной переменной. Решение двойных неравенств. Числовые промежутки - номер 24.10, страница 114.

№24.10 (с. 114)
Условие. №24.10 (с. 114)
скриншот условия
Алгебра, 7-9 класс Сборник задач, авторы: Арефьева Ирина Глебовна, Пирютко Ольга Николаевна, издательство Народная асвета, Минск, 2020, страница 114, номер 24.10, Условие

24.10. Решите систему неравенств:

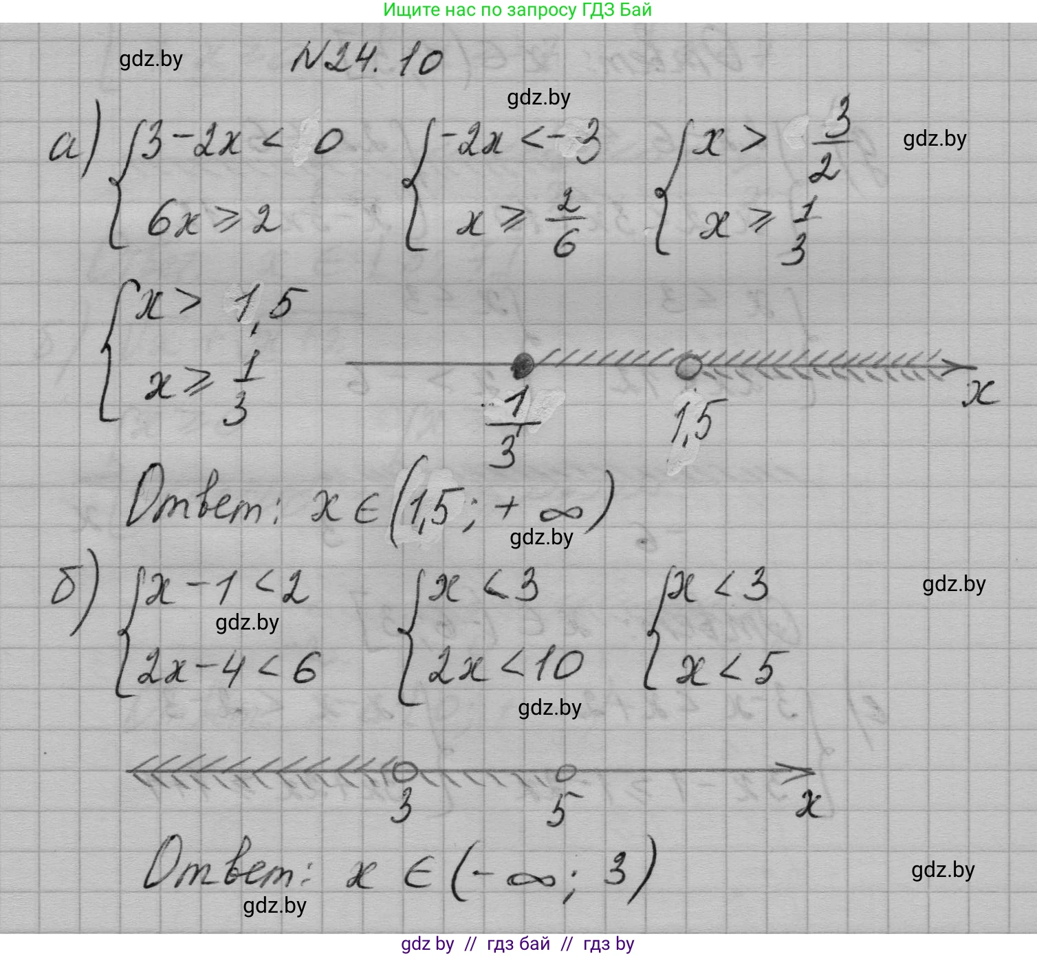
а) $\begin{cases} 3 - 2x < 0, \\ 6x \geq 2; \end{cases}$

б) $\begin{cases} x - 1 < 2, \\ 2x - 4 < 6; \end{cases}$

в) $\begin{cases} 3x + 4 \geq 1, \\ 2x + 3 \geq 7; \end{cases}$

г) $\begin{cases} 4x - 3 > x, \\ 20 - 4x \geq 0; \end{cases}$

д) $\begin{cases} 2x - 6 \leq 0, \\ x - 2 < 3x + 10; \end{cases}$

е) $\begin{cases} 3 - x < x + 2, \\ 3x - 1 \geq 1 - 2x. \end{cases}$

Решение. №24.10 (с. 114)
Алгебра, 7-9 класс Сборник задач, авторы: Арефьева Ирина Глебовна, Пирютко Ольга Николаевна, издательство Народная асвета, Минск, 2020, страница 114, номер 24.10, Решение Алгебра, 7-9 класс Сборник задач, авторы: Арефьева Ирина Глебовна, Пирютко Ольга Николаевна, издательство Народная асвета, Минск, 2020, страница 114, номер 24.10, Решение (продолжение 2)
Решение 2. №24.10 (с. 114)

а)

Решим каждое неравенство системы по отдельности:

1) $3 - 2x < 0$

$-2x < -3$

При делении на отрицательное число знак неравенства меняется на противоположный:

$x > \frac{-3}{-2}$

$x > 1.5$

2) $6x \geq 2$

$x \geq \frac{2}{6}$

$x \geq \frac{1}{3}$

Найдем пересечение решений $x > 1.5$ и $x \geq \frac{1}{3}$. Поскольку $1.5 > \frac{1}{3}$, пересечением этих двух множеств будет промежуток, удовлетворяющий более сильному неравенству.

Общее решение: $x > 1.5$.

Ответ: $(1.5; +\infty)$

б)

Решим каждое неравенство системы по отдельности:

1) $x - 1 < 2$

$x < 2 + 1$

$x < 3$

2) $2x - 4 < 6$

$2x < 6 + 4$

$2x < 10$

$x < 5$

Найдем пересечение решений $x < 3$ и $x < 5$. Общим решением будет промежуток, удовлетворяющий обоим неравенствам, то есть $x < 3$.

Ответ: $(-\infty; 3)$

в)

Решим каждое неравенство системы по отдельности:

1) $3x + 4 \geq 1$

$3x \geq 1 - 4$

$3x \geq -3$

$x \geq -1$

2) $2x + 3 > 7$

$2x > 7 - 3$

$2x > 4$

$x > 2$

Найдем пересечение решений $x \geq -1$ и $x > 2$. Общим решением будет промежуток, удовлетворяющий более сильному неравенству $x > 2$.

Ответ: $(2; +\infty)$

г)

Решим каждое неравенство системы по отдельности:

1) $4x - 3 > x$

$4x - x > 3$

$3x > 3$

$x > 1$

2) $20 - 4x \geq 0$

$-4x \geq -20$

При делении на отрицательное число знак неравенства меняется на противоположный:

$x \leq \frac{-20}{-4}$

$x \leq 5$

Найдем пересечение решений $x > 1$ и $x \leq 5$. Это числа, которые больше 1 и одновременно меньше или равны 5.

Общее решение: $1 < x \leq 5$.

Ответ: $(1; 5]$

д)

Решим каждое неравенство системы по отдельности:

1) $2x - 6 \leq 0$

$2x \leq 6$

$x \leq 3$

2) $x - 2 < 3x + 10$

$x - 3x < 10 + 2$

$-2x < 12$

При делении на отрицательное число знак неравенства меняется на противоположный:

$x > \frac{12}{-2}$

$x > -6$

Найдем пересечение решений $x \leq 3$ и $x > -6$. Это числа, которые больше -6 и одновременно меньше или равны 3.

Общее решение: $-6 < x \leq 3$.

Ответ: $(-6; 3]$

е)

Решим каждое неравенство системы по отдельности:

1) $3 - x < x + 2$

$-x - x < 2 - 3$

$-2x < -1$

При делении на отрицательное число знак неравенства меняется на противоположный:

$x > \frac{-1}{-2}$

$x > 0.5$

2) $3x - 1 \geq 1 - 2x$

$3x + 2x \geq 1 + 1$

$5x \geq 2$

$x \geq \frac{2}{5}$

$x \geq 0.4$

Найдем пересечение решений $x > 0.5$ и $x \geq 0.4$. Поскольку $0.5 > 0.4$, пересечением этих двух множеств будет промежуток, удовлетворяющий более сильному неравенству $x > 0.5$.

Ответ: $(0.5; +\infty)$

Помогло решение? Оставьте отзыв в комментариях ниже.

Присоединяйтесь к Телеграм-группе @gdz_by_belarus

Присоединиться

Мы подготовили для вас ответ c подробным объяснением домашего задания по алгебре за 7-9 класс, для упражнения номер 24.10 расположенного на странице 114 к сборнику задач 2020 года издания для учащихся школ и гимназий.

Теперь на нашем сайте ГДЗ.ТОП вы всегда легко и бесплатно найдёте условие с правильным ответом на вопрос «Как решить ДЗ» и «Как сделать» задание по алгебре к упражнению №24.10 (с. 114), авторов: Арефьева (Ирина Глебовна), Пирютко (Ольга Николаевна), учебного пособия издательства Народная асвета.