Номер 25.7, страница 120 - гдз по алгебре 7-9 класс сборник задач Арефьева, Пирютко

Алгебра, 7-9 класс Сборник задач, авторы: Арефьева Ирина Глебовна, Пирютко Ольга Николаевна, издательство Народная асвета, Минск, 2020

Авторы: Арефьева И. Г., Пирютко О. Н.

Тип: Сборник задач

Издательство: Народная асвета

Год издания: 2020 - 2026

Цвет обложки: синий с графиками

Допущено Министерством образования Республики Беларусь

Популярные ГДЗ в 7 классе

8 класс. Параграф 25. Квадратные уравнения. Решение неполных квадратных уравнений. Формулы корней квадратного уравнения. Решение текстовых задач с помощью квадратных уравнений - номер 25.7, страница 120.

№25.7 (с. 120)
Условие. №25.7 (с. 120)
скриншот условия
Алгебра, 7-9 класс Сборник задач, авторы: Арефьева Ирина Глебовна, Пирютко Ольга Николаевна, издательство Народная асвета, Минск, 2020, страница 120, номер 25.7, Условие

25.7. Решите уравнение:

а) $x^2 - 9 = 0$;

б) $4x^2 - 1 = 0$;

в) $x^2 + 7 = 0$;

г) $9x^2 - 25 = 0$;

д) $x^2 = 49$;

е) $x^2 - 5 = 0$;

ж) $2x^2 = 18$;

з) $4x^2 = x^2$;

и) $-x^2 + 12x = 0$.

Решение. №25.7 (с. 120)
Алгебра, 7-9 класс Сборник задач, авторы: Арефьева Ирина Глебовна, Пирютко Ольга Николаевна, издательство Народная асвета, Минск, 2020, страница 120, номер 25.7, Решение Алгебра, 7-9 класс Сборник задач, авторы: Арефьева Ирина Глебовна, Пирютко Ольга Николаевна, издательство Народная асвета, Минск, 2020, страница 120, номер 25.7, Решение (продолжение 2)
Решение 2. №25.7 (с. 120)

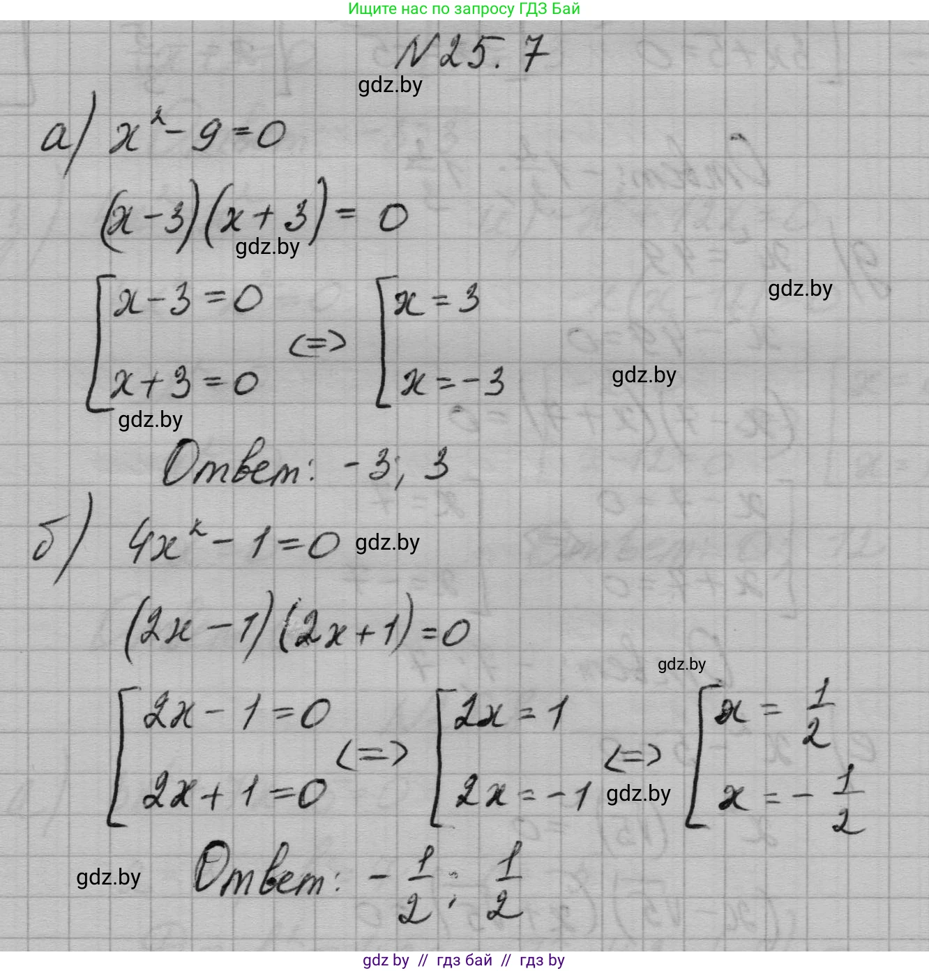
а) Дано уравнение $x^2 - 9 = 0$.

Это неполное квадратное уравнение. Перенесем свободный член (число -9) в правую часть уравнения, изменив его знак:

$x^2 = 9$

Теперь извлечем квадратный корень из обеих частей уравнения. Важно помнить, что у положительного числа есть два квадратных корня: положительный и отрицательный.

$x = \pm\sqrt{9}$

Следовательно, уравнение имеет два корня:

$x_1 = 3$

$x_2 = -3$

Другой способ решения — использовать формулу разности квадратов $a^2 - b^2 = (a-b)(a+b)$.

$x^2 - 3^2 = 0$

$(x-3)(x+3) = 0$

Произведение равно нулю, когда хотя бы один из множителей равен нулю:

$x-3=0$ или $x+3=0$

$x_1=3$ или $x_2=-3$

Ответ: $-3; 3$

б) Дано уравнение $4x^2 - 1 = 0$.

Это неполное квадратное уравнение. Перенесем -1 в правую часть:

$4x^2 = 1$

Разделим обе части уравнения на коэффициент при $x^2$, то есть на 4:

$x^2 = \frac{1}{4}$

Извлечем квадратный корень из обеих частей:

$x = \pm\sqrt{\frac{1}{4}}$

Получаем два корня:

$x_1 = \frac{1}{2} = 0.5$

$x_2 = -\frac{1}{2} = -0.5$

Ответ: $-0.5; 0.5$

в) Дано уравнение $x^2 + 7 = 0$.

Перенесем 7 в правую часть уравнения:

$x^2 = -7$

Квадрат любого действительного числа ($x^2$) всегда неотрицателен, то есть $x^2 \ge 0$. Так как правая часть уравнения равна -7 (отрицательное число), то равенство невозможно ни при каком действительном значении $x$.

Следовательно, у уравнения нет действительных корней.

Ответ: корней нет

г) Дано уравнение $9x^2 - 25 = 0$.

Перенесем -25 в правую часть уравнения:

$9x^2 = 25$

Разделим обе части на 9:

$x^2 = \frac{25}{9}$

Извлечем квадратный корень из обеих частей:

$x = \pm\sqrt{\frac{25}{9}}$

Получаем два корня:

$x_1 = \frac{5}{3}$

$x_2 = -\frac{5}{3}$

Ответ: $-\frac{5}{3}; \frac{5}{3}$

д) Дано уравнение $x^2 = 49$.

Уравнение уже находится в форме, удобной для извлечения корня.

Извлечем квадратный корень из обеих частей:

$x = \pm\sqrt{49}$

Получаем два корня:

$x_1 = 7$

$x_2 = -7$

Ответ: $-7; 7$

е) Дано уравнение $x^2 - 5 = 0$.

Перенесем -5 в правую часть:

$x^2 = 5$

Извлечем квадратный корень из обеих частей:

$x = \pm\sqrt{5}$

Так как число 5 не является полным квадратом, корень из него — иррациональное число. Ответ так и записывается со знаком корня.

$x_1 = \sqrt{5}$

$x_2 = -\sqrt{5}$

Ответ: $-\sqrt{5}; \sqrt{5}$

ж) Дано уравнение $2x^2 = 18$.

Разделим обе части уравнения на 2:

$x^2 = \frac{18}{2}$

$x^2 = 9$

Извлечем квадратный корень из обеих частей:

$x = \pm\sqrt{9}$

Получаем два корня:

$x_1 = 3$

$x_2 = -3$

Ответ: $-3; 3$

з) Дано уравнение $4x^2 = x^2$.

Перенесем $x^2$ из правой части в левую:

$4x^2 - x^2 = 0$

Приведем подобные слагаемые:

$3x^2 = 0$

Разделим обе части на 3:

$x^2 = 0$

Единственное число, квадрат которого равен нулю, — это ноль.

$x = 0$

Ответ: $0$

и) Дано уравнение $-x^2 + 12x = 0$.

Это неполное квадратное уравнение, у которого свободный член равен нулю. Для его решения вынесем общий множитель $x$ за скобки:

$x(-x + 12) = 0$

Произведение равно нулю, если хотя бы один из множителей равен нулю:

$x = 0$ или $-x + 12 = 0$

Первый корень уже найден: $x_1 = 0$.

Решим второе уравнение:

$-x = -12$

$x = 12$

Второй корень: $x_2 = 12$.

Ответ: $0; 12$

Помогло решение? Оставьте отзыв в комментариях ниже.

Присоединяйтесь к Телеграм-группе @gdz_by_belarus

Присоединиться

Мы подготовили для вас ответ c подробным объяснением домашего задания по алгебре за 7-9 класс, для упражнения номер 25.7 расположенного на странице 120 к сборнику задач 2020 года издания для учащихся школ и гимназий.

Теперь на нашем сайте ГДЗ.ТОП вы всегда легко и бесплатно найдёте условие с правильным ответом на вопрос «Как решить ДЗ» и «Как сделать» задание по алгебре к упражнению №25.7 (с. 120), авторов: Арефьева (Ирина Глебовна), Пирютко (Ольга Николаевна), учебного пособия издательства Народная асвета.