Номер 25.13, страница 121 - гдз по алгебре 7-9 класс сборник задач Арефьева, Пирютко

Алгебра, 7-9 класс Сборник задач, авторы: Арефьева Ирина Глебовна, Пирютко Ольга Николаевна, издательство Народная асвета, Минск, 2020

Авторы: Арефьева И. Г., Пирютко О. Н.

Тип: Сборник задач

Издательство: Народная асвета

Год издания: 2020 - 2026

Цвет обложки: синий с графиками

Допущено Министерством образования Республики Беларусь

Популярные ГДЗ в 7 классе

8 класс. Параграф 25. Квадратные уравнения. Решение неполных квадратных уравнений. Формулы корней квадратного уравнения. Решение текстовых задач с помощью квадратных уравнений - номер 25.13, страница 121.

№25.13 (с. 121)
Условие. №25.13 (с. 121)
скриншот условия
Алгебра, 7-9 класс Сборник задач, авторы: Арефьева Ирина Глебовна, Пирютко Ольга Николаевна, издательство Народная асвета, Минск, 2020, страница 121, номер 25.13, Условие

25.13. Решите уравнение:

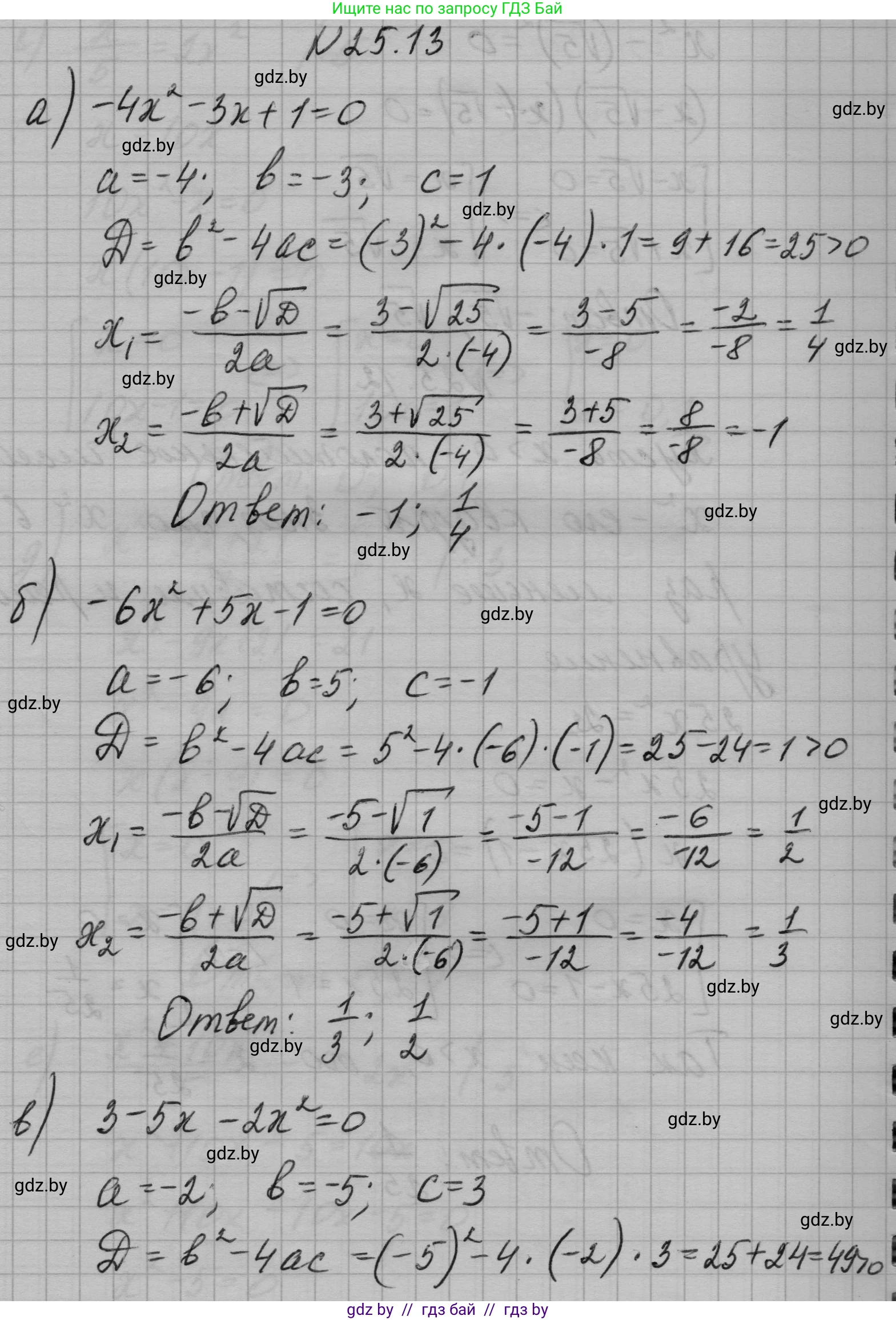
а) $-4x^2 - 3x + 1 = 0;$

б) $-6x^2 + 5x - 1 = 0;$

в) $3 - 5x - 2x^2 = 0;$

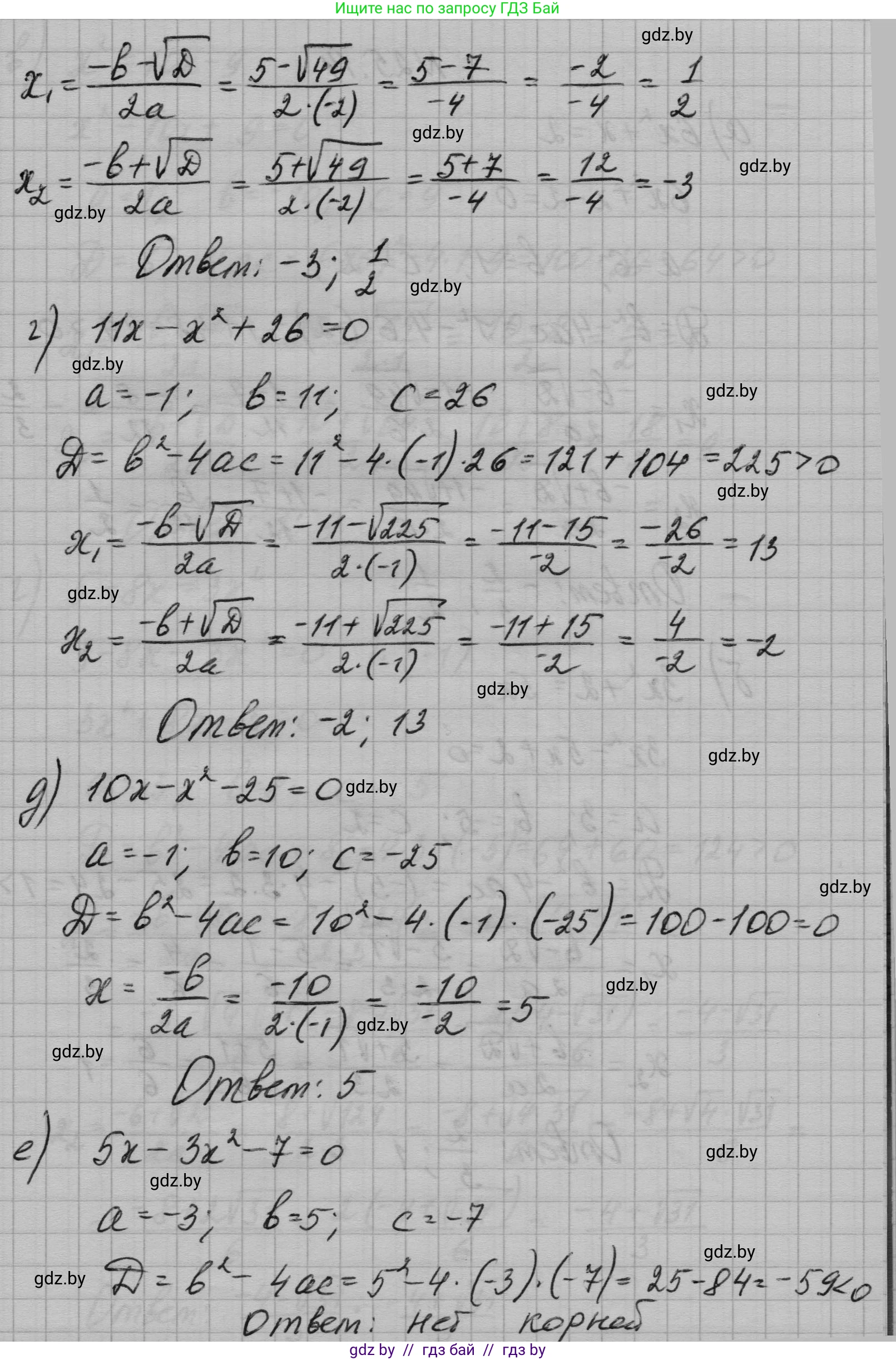
г) $11x - x^2 + 26 = 0;$

д) $10x - x^2 - 25 = 0;$

е) $5x - 3x^2 - 7 = 0.$

Решение. №25.13 (с. 121)
Алгебра, 7-9 класс Сборник задач, авторы: Арефьева Ирина Глебовна, Пирютко Ольга Николаевна, издательство Народная асвета, Минск, 2020, страница 121, номер 25.13, Решение Алгебра, 7-9 класс Сборник задач, авторы: Арефьева Ирина Глебовна, Пирютко Ольга Николаевна, издательство Народная асвета, Минск, 2020, страница 121, номер 25.13, Решение (продолжение 2)
Решение 2. №25.13 (с. 121)

а)

Решим уравнение $-4x^2 - 3x + 1 = 0$. Для удобства вычислений умножим все члены уравнения на $-1$:

$4x^2 + 3x - 1 = 0$

Это квадратное уравнение вида $ax^2 + bx + c = 0$ с коэффициентами $a=4$, $b=3$, $c=-1$.

Вычислим дискриминант по формуле $D = b^2 - 4ac$:

$D = 3^2 - 4 \cdot 4 \cdot (-1) = 9 + 16 = 25$

Так как $D > 0$, уравнение имеет два действительных корня. Найдем их по формуле $x_{1,2} = \frac{-b \pm \sqrt{D}}{2a}$:

$x_1 = \frac{-3 + \sqrt{25}}{2 \cdot 4} = \frac{-3 + 5}{8} = \frac{2}{8} = \frac{1}{4}$

$x_2 = \frac{-3 - \sqrt{25}}{2 \cdot 4} = \frac{-3 - 5}{8} = \frac{-8}{8} = -1$

Ответ: $-1$; $\frac{1}{4}$.

б)

Решим уравнение $-6x^2 + 5x - 1 = 0$. Умножим его на $-1$, чтобы получить положительный старший коэффициент:

$6x^2 - 5x + 1 = 0$

Коэффициенты данного уравнения: $a=6$, $b=-5$, $c=1$.

Вычислим дискриминант:

$D = (-5)^2 - 4 \cdot 6 \cdot 1 = 25 - 24 = 1$

Так как $D > 0$, уравнение имеет два действительных корня. Найдем их:

$x_1 = \frac{-(-5) + \sqrt{1}}{2 \cdot 6} = \frac{5 + 1}{12} = \frac{6}{12} = \frac{1}{2}$

$x_2 = \frac{-(-5) - \sqrt{1}}{2 \cdot 6} = \frac{5 - 1}{12} = \frac{4}{12} = \frac{1}{3}$

Ответ: $\frac{1}{3}$; $\frac{1}{2}$.

в)

Решим уравнение $3 - 5x - 2x^2 = 0$. Перепишем его в стандартном виде $ax^2 + bx + c = 0$ и умножим на $-1$:

$-2x^2 - 5x + 3 = 0 \quad \implies \quad 2x^2 + 5x - 3 = 0$

Коэффициенты: $a=2$, $b=5$, $c=-3$.

Вычислим дискриминант:

$D = 5^2 - 4 \cdot 2 \cdot (-3) = 25 + 24 = 49$

Так как $D > 0$, уравнение имеет два действительных корня. $\sqrt{D} = 7$.

Найдем корни:

$x_1 = \frac{-5 + 7}{2 \cdot 2} = \frac{2}{4} = \frac{1}{2}$

$x_2 = \frac{-5 - 7}{2 \cdot 2} = \frac{-12}{4} = -3$

Ответ: $-3$; $\frac{1}{2}$.

г)

Решим уравнение $11x - x^2 + 26 = 0$. Приведем к стандартному виду и сменим знаки:

$-x^2 + 11x + 26 = 0 \quad \implies \quad x^2 - 11x - 26 = 0$

Коэффициенты: $a=1$, $b=-11$, $c=-26$.

Вычислим дискриминант:

$D = (-11)^2 - 4 \cdot 1 \cdot (-26) = 121 + 104 = 225$

Так как $D > 0$, уравнение имеет два действительных корня. $\sqrt{D} = 15$.

Найдем корни:

$x_1 = \frac{-(-11) + 15}{2 \cdot 1} = \frac{11 + 15}{2} = \frac{26}{2} = 13$

$x_2 = \frac{-(-11) - 15}{2 \cdot 1} = \frac{11 - 15}{2} = \frac{-4}{2} = -2$

Ответ: $-2$; $13$.

д)

Решим уравнение $10x - x^2 - 25 = 0$. Приведем к стандартному виду и сменим знаки:

$-x^2 + 10x - 25 = 0 \quad \implies \quad x^2 - 10x + 25 = 0$

Левая часть уравнения является полным квадратом разности: $(x-5)^2$.

$(x-5)^2 = 0$

$x-5=0$

$x=5$

Также можно решить через дискриминант ($a=1$, $b=-10$, $c=25$):

$D = (-10)^2 - 4 \cdot 1 \cdot 25 = 100 - 100 = 0$

Так как $D = 0$, уравнение имеет один действительный корень: $x = \frac{-b}{2a} = \frac{-(-10)}{2 \cdot 1} = 5$.

Ответ: $5$.

е)

Решим уравнение $5x - 3x^2 - 7 = 0$. Приведем к стандартному виду и сменим знаки:

$-3x^2 + 5x - 7 = 0 \quad \implies \quad 3x^2 - 5x + 7 = 0$

Коэффициенты: $a=3$, $b=-5$, $c=7$.

Вычислим дискриминант:

$D = (-5)^2 - 4 \cdot 3 \cdot 7 = 25 - 84 = -59$

Так как $D < 0$, уравнение не имеет действительных корней.

Ответ: действительных корней нет.

Помогло решение? Оставьте отзыв в комментариях ниже.

Присоединяйтесь к Телеграм-группе @gdz_by_belarus

Присоединиться

Мы подготовили для вас ответ c подробным объяснением домашего задания по алгебре за 7-9 класс, для упражнения номер 25.13 расположенного на странице 121 к сборнику задач 2020 года издания для учащихся школ и гимназий.

Теперь на нашем сайте ГДЗ.ТОП вы всегда легко и бесплатно найдёте условие с правильным ответом на вопрос «Как решить ДЗ» и «Как сделать» задание по алгебре к упражнению №25.13 (с. 121), авторов: Арефьева (Ирина Глебовна), Пирютко (Ольга Николаевна), учебного пособия издательства Народная асвета.