Номер 25.16, страница 121 - гдз по алгебре 7-9 класс сборник задач Арефьева, Пирютко

Алгебра, 7-9 класс Сборник задач, авторы: Арефьева Ирина Глебовна, Пирютко Ольга Николаевна, издательство Народная асвета, Минск, 2020

Авторы: Арефьева И. Г., Пирютко О. Н.

Тип: Сборник задач

Издательство: Народная асвета

Год издания: 2020 - 2026

Цвет обложки: синий с графиками

Допущено Министерством образования Республики Беларусь

8 класс. Параграф 25. Квадратные уравнения. Решение неполных квадратных уравнений. Формулы корней квадратного уравнения. Решение текстовых задач с помощью квадратных уравнений - номер 25.16, страница 121.

№25.16 (с. 121)
Условие. №25.16 (с. 121)
скриншот условия
Алгебра, 7-9 класс Сборник задач, авторы: Арефьева Ирина Глебовна, Пирютко Ольга Николаевна, издательство Народная асвета, Минск, 2020, страница 121, номер 25.16, Условие

25.16. Найдите корни уравнения:

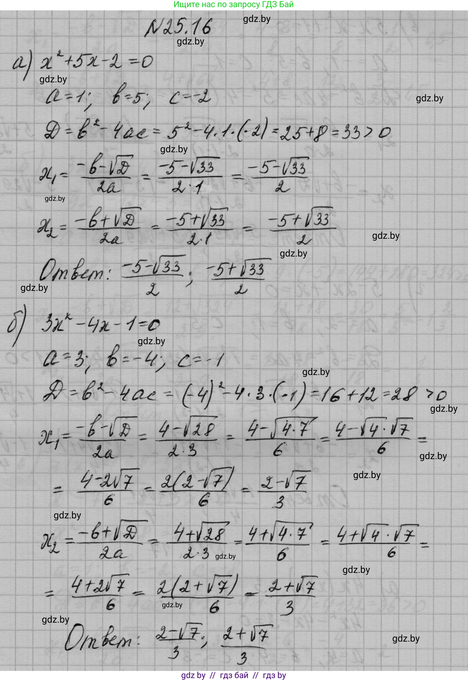
а) $x^2 + 5x - 2 = 0;$

б) $3x^2 - 4x - 1 = 0;$

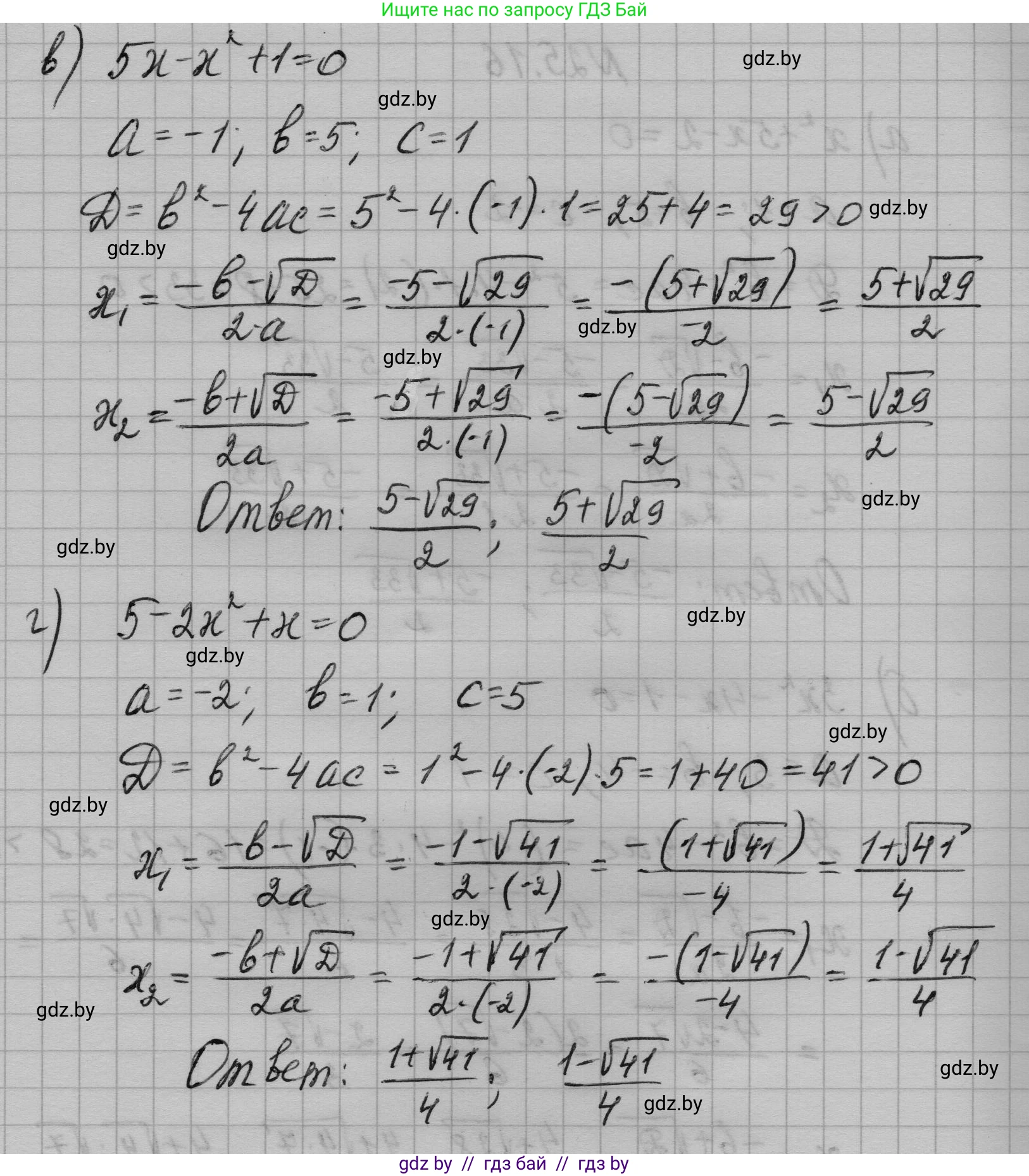
в) $5x - x^2 + 1 = 0;$

г) $5 - 2x^2 + x = 0.$

Решение. №25.16 (с. 121)
Алгебра, 7-9 класс Сборник задач, авторы: Арефьева Ирина Глебовна, Пирютко Ольга Николаевна, издательство Народная асвета, Минск, 2020, страница 121, номер 25.16, Решение Алгебра, 7-9 класс Сборник задач, авторы: Арефьева Ирина Глебовна, Пирютко Ольга Николаевна, издательство Народная асвета, Минск, 2020, страница 121, номер 25.16, Решение (продолжение 2)
Решение 2. №25.16 (с. 121)

Для нахождения корней квадратных уравнений вида $ax^2 + bx + c = 0$ будем использовать формулу корней через дискриминант: $x = \frac{-b \pm \sqrt{D}}{2a}$, где дискриминант $D = b^2 - 4ac$.

а) $x^2 + 5x - 2 = 0$

Это квадратное уравнение с коэффициентами: $a = 1$, $b = 5$, $c = -2$.

Вычислим дискриминант:

$D = b^2 - 4ac = 5^2 - 4 \cdot 1 \cdot (-2) = 25 + 8 = 33$.

Поскольку $D > 0$, уравнение имеет два действительных корня.

Найдем корни:

$x_{1,2} = \frac{-b \pm \sqrt{D}}{2a} = \frac{-5 \pm \sqrt{33}}{2 \cdot 1} = \frac{-5 \pm \sqrt{33}}{2}$.

Ответ: $x_1 = \frac{-5 - \sqrt{33}}{2}$, $x_2 = \frac{-5 + \sqrt{33}}{2}$.

б) $3x^2 - 4x - 1 = 0$

Это квадратное уравнение с коэффициентами: $a = 3$, $b = -4$, $c = -1$.

Вычислим дискриминант:

$D = b^2 - 4ac = (-4)^2 - 4 \cdot 3 \cdot (-1) = 16 + 12 = 28$.

Поскольку $D > 0$, уравнение имеет два действительных корня. Упростим корень из дискриминанта: $\sqrt{28} = \sqrt{4 \cdot 7} = 2\sqrt{7}$.

Найдем корни:

$x_{1,2} = \frac{-b \pm \sqrt{D}}{2a} = \frac{-(-4) \pm \sqrt{28}}{2 \cdot 3} = \frac{4 \pm 2\sqrt{7}}{6} = \frac{2(2 \pm \sqrt{7})}{6} = \frac{2 \pm \sqrt{7}}{3}$.

Ответ: $x_1 = \frac{2 - \sqrt{7}}{3}$, $x_2 = \frac{2 + \sqrt{7}}{3}$.

в) $5x - x^2 + 1 = 0$

Сначала приведем уравнение к стандартному виду $ax^2 + bx + c = 0$, расположив члены по убыванию степеней $x$:

$-x^2 + 5x + 1 = 0$.

Для удобства умножим обе части уравнения на $-1$:

$x^2 - 5x - 1 = 0$.

Коэффициенты: $a = 1$, $b = -5$, $c = -1$.

Вычислим дискриминант:

$D = b^2 - 4ac = (-5)^2 - 4 \cdot 1 \cdot (-1) = 25 + 4 = 29$.

Поскольку $D > 0$, уравнение имеет два действительных корня.

Найдем корни:

$x_{1,2} = \frac{-b \pm \sqrt{D}}{2a} = \frac{-(-5) \pm \sqrt{29}}{2 \cdot 1} = \frac{5 \pm \sqrt{29}}{2}$.

Ответ: $x_1 = \frac{5 - \sqrt{29}}{2}$, $x_2 = \frac{5 + \sqrt{29}}{2}$.

г) $5 - 2x^2 + x = 0$

Приведем уравнение к стандартному виду:

$-2x^2 + x + 5 = 0$.

Умножим обе части уравнения на $-1$:

$2x^2 - x - 5 = 0$.

Коэффициенты: $a = 2$, $b = -1$, $c = -5$.

Вычислим дискриминант:

$D = b^2 - 4ac = (-1)^2 - 4 \cdot 2 \cdot (-5) = 1 + 40 = 41$.

Поскольку $D > 0$, уравнение имеет два действительных корня.

Найдем корни:

$x_{1,2} = \frac{-b \pm \sqrt{D}}{2a} = \frac{-(-1) \pm \sqrt{41}}{2 \cdot 2} = \frac{1 \pm \sqrt{41}}{4}$.

Ответ: $x_1 = \frac{1 - \sqrt{41}}{4}$, $x_2 = \frac{1 + \sqrt{41}}{4}$.

Помогло решение? Оставьте отзыв в комментариях ниже.

Присоединяйтесь к Телеграм-группе @gdz_by_belarus

Присоединиться

Мы подготовили для вас ответ c подробным объяснением домашего задания по алгебре за 7-9 класс, для упражнения номер 25.16 расположенного на странице 121 к сборнику задач 2020 года издания для учащихся школ и гимназий.

Теперь на нашем сайте ГДЗ.ТОП вы всегда легко и бесплатно найдёте условие с правильным ответом на вопрос «Как решить ДЗ» и «Как сделать» задание по алгебре к упражнению №25.16 (с. 121), авторов: Арефьева (Ирина Глебовна), Пирютко (Ольга Николаевна), учебного пособия издательства Народная асвета.