Номер 25.23, страница 122 - гдз по алгебре 7-9 класс сборник задач Арефьева, Пирютко

Алгебра, 7-9 класс Сборник задач, авторы: Арефьева Ирина Глебовна, Пирютко Ольга Николаевна, издательство Народная асвета, Минск, 2020

Авторы: Арефьева И. Г., Пирютко О. Н.

Тип: Сборник задач

Издательство: Народная асвета

Год издания: 2020 - 2026

Цвет обложки: синий с графиками

Допущено Министерством образования Республики Беларусь

Популярные ГДЗ в 7 классе

8 класс. Параграф 25. Квадратные уравнения. Решение неполных квадратных уравнений. Формулы корней квадратного уравнения. Решение текстовых задач с помощью квадратных уравнений - номер 25.23, страница 122.

№25.23 (с. 122)
Условие. №25.23 (с. 122)
скриншот условия
Алгебра, 7-9 класс Сборник задач, авторы: Арефьева Ирина Глебовна, Пирютко Ольга Николаевна, издательство Народная асвета, Минск, 2020, страница 122, номер 25.23, Условие

25.23. Выполните необходимые тождественные преобразования и решите уравнение:

а) $(2x - 5)(x + 2) = 18;$

б) $(2x + 1)(x + 1) = 28;$

в) $(2 - x)(x + 2) - 7x = x^2;$

г) $(2x + 1)^2 = 3x + 4;$

д) $(2x + 5)^2 = 2(3x + 9);$

е) $(x + 3)^2 - (2x - 1)^2 = 16;$

ж) $(3x - 1)(x - 2) + (x + 1)(x + 2) = 12;$

з) $(x + 4)(2x - 3) - (5x - 6)(x - 3) = 10.$

Решение. №25.23 (с. 122)
Алгебра, 7-9 класс Сборник задач, авторы: Арефьева Ирина Глебовна, Пирютко Ольга Николаевна, издательство Народная асвета, Минск, 2020, страница 122, номер 25.23, Решение Алгебра, 7-9 класс Сборник задач, авторы: Арефьева Ирина Глебовна, Пирютко Ольга Николаевна, издательство Народная асвета, Минск, 2020, страница 122, номер 25.23, Решение (продолжение 2)
Решение 2. №25.23 (с. 122)

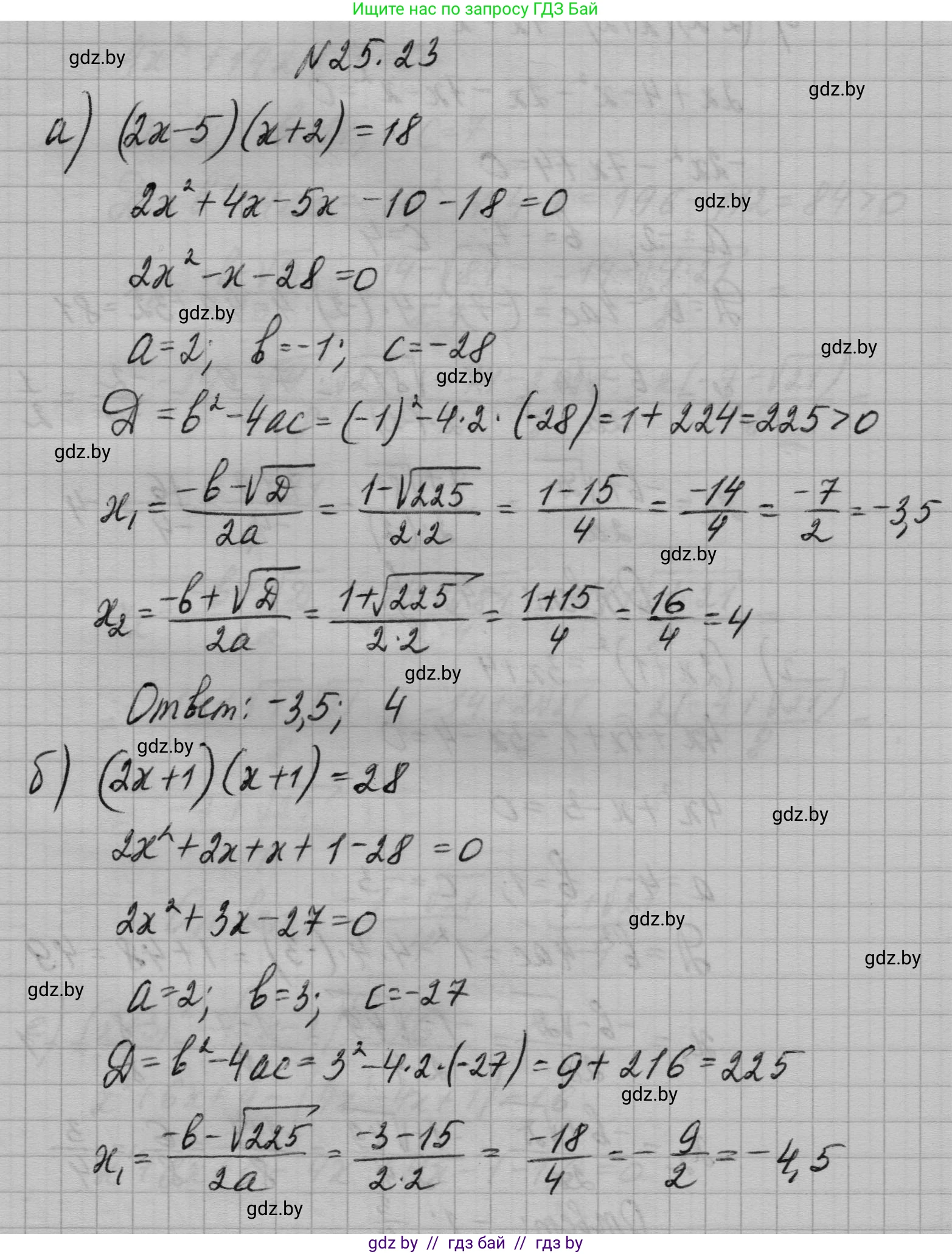
а) $(2x - 5)(x + 2) = 18$
Раскроем скобки в левой части уравнения:
$2x^2 + 4x - 5x - 10 = 18$
$2x^2 - x - 10 = 18$
Приведем уравнение к стандартному квадратному виду $ax^2 + bx + c = 0$:
$2x^2 - x - 28 = 0$
Найдем дискриминант: $D = b^2 - 4ac = (-1)^2 - 4 \cdot 2 \cdot (-28) = 1 + 224 = 225$.
Найдем корни уравнения:
$x_1 = \frac{-b + \sqrt{D}}{2a} = \frac{1 + \sqrt{225}}{2 \cdot 2} = \frac{1 + 15}{4} = \frac{16}{4} = 4$
$x_2 = \frac{-b - \sqrt{D}}{2a} = \frac{1 - \sqrt{225}}{2 \cdot 2} = \frac{1 - 15}{4} = \frac{-14}{4} = -3.5$
Ответ: $4; -3.5$.

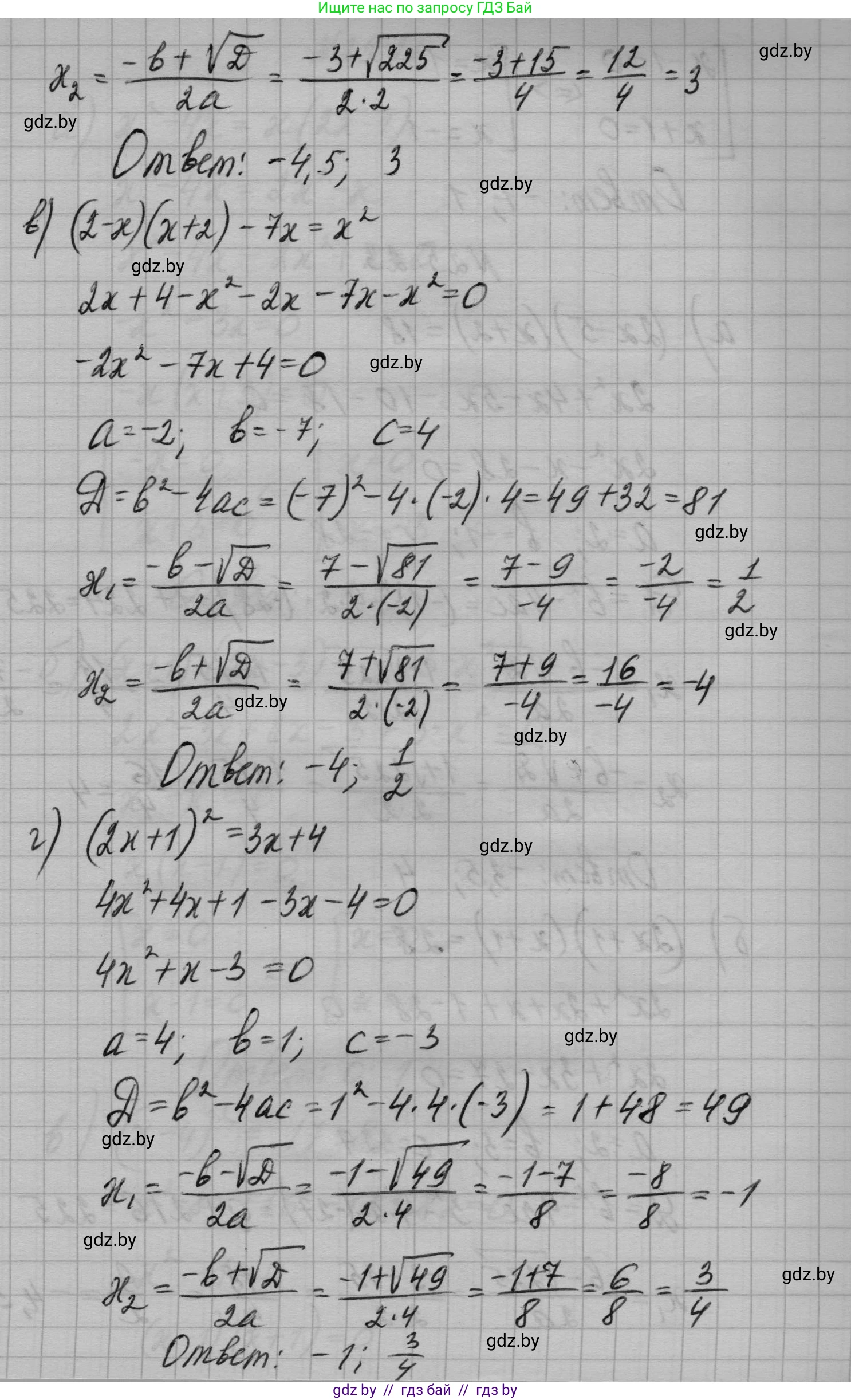
б) $(2x + 1)(x + 1) = 28$
Раскроем скобки: $2x^2 + 2x + x + 1 = 28$
$2x^2 + 3x + 1 = 28$
Приведем к стандартному виду: $2x^2 + 3x - 27 = 0$
Найдем дискриминант: $D = 3^2 - 4 \cdot 2 \cdot (-27) = 9 + 216 = 225$
Найдем корни уравнения:
$x_1 = \frac{-3 + \sqrt{225}}{4} = \frac{-3 + 15}{4} = \frac{12}{4} = 3$
$x_2 = \frac{-3 - \sqrt{225}}{4} = \frac{-3 - 15}{4} = -\frac{18}{4} = -4.5$
Ответ: $3; -4.5$.

в) $(2 - x)(x + 2) - 7x = x^2$
Воспользуемся формулой разности квадратов $(a-b)(a+b)=a^2-b^2$ для первого слагаемого:
$2^2 - x^2 - 7x = x^2$
$4 - x^2 - 7x = x^2$
Перенесем все члены в одну сторону: $4 - 7x - 2x^2 = 0$
Умножим уравнение на -1 для удобства: $2x^2 + 7x - 4 = 0$
Найдем дискриминант: $D = 7^2 - 4 \cdot 2 \cdot (-4) = 49 + 32 = 81$
Найдем корни уравнения:
$x_1 = \frac{-7 + \sqrt{81}}{4} = \frac{-7 + 9}{4} = \frac{2}{4} = 0.5$
$x_2 = \frac{-7 - \sqrt{81}}{4} = \frac{-7 - 9}{4} = -\frac{16}{4} = -4$
Ответ: $0.5; -4$.

г) $(2x + 1)^2 = 3x + 4$
Раскроем скобки по формуле квадрата суммы $(a+b)^2=a^2+2ab+b^2$:
$4x^2 + 4x + 1 = 3x + 4$
Приведем к стандартному виду: $4x^2 + 4x - 3x + 1 - 4 = 0$
$4x^2 + x - 3 = 0$
Найдем дискриминант: $D = 1^2 - 4 \cdot 4 \cdot (-3) = 1 + 48 = 49$
Найдем корни уравнения:
$x_1 = \frac{-1 + \sqrt{49}}{8} = \frac{-1 + 7}{8} = \frac{6}{8} = 0.75$
$x_2 = \frac{-1 - \sqrt{49}}{8} = \frac{-1 - 7}{8} = -1$
Ответ: $0.75; -1$.

д) $(2x + 5)^2 = 2(3x + 9)$
Раскроем скобки в обеих частях уравнения:
$4x^2 + 20x + 25 = 6x + 18$
Приведем к стандартному виду: $4x^2 + 20x - 6x + 25 - 18 = 0$
$4x^2 + 14x + 7 = 0$
Найдем дискриминант: $D = 14^2 - 4 \cdot 4 \cdot 7 = 196 - 112 = 84$
Найдем корни уравнения:
$x = \frac{-14 \pm \sqrt{84}}{2 \cdot 4} = \frac{-14 \pm \sqrt{4 \cdot 21}}{8} = \frac{-14 \pm 2\sqrt{21}}{8} = \frac{2(-7 \pm \sqrt{21})}{8} = \frac{-7 \pm \sqrt{21}}{4}$
Ответ: $\frac{-7 + \sqrt{21}}{4}; \frac{-7 - \sqrt{21}}{4}$.

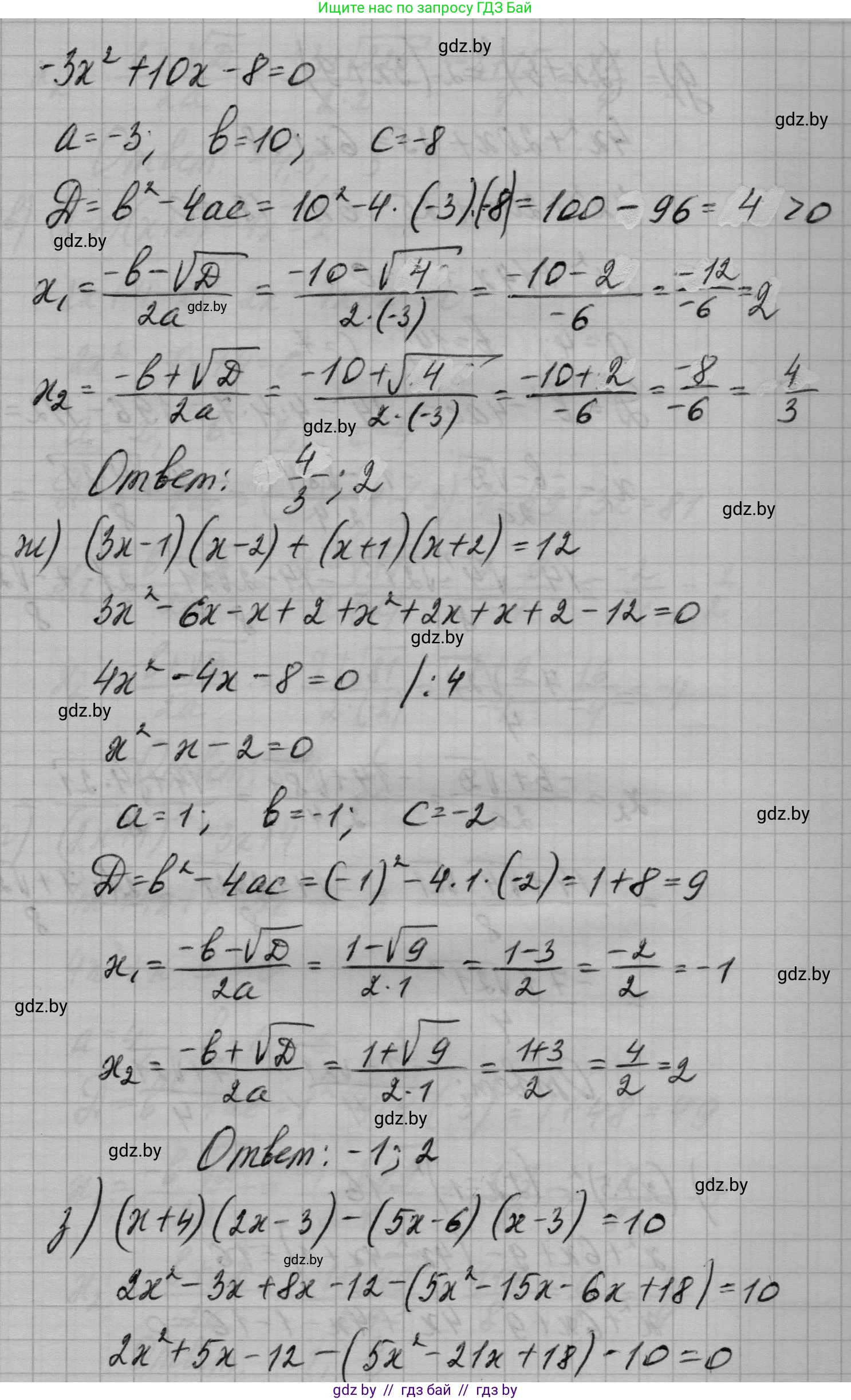
е) $(x + 3)^2 - (2x - 1)^2 = 16$
Применим формулу разности квадратов $a^2 - b^2 = (a-b)(a+b)$:
$((x + 3) - (2x - 1))((x + 3) + (2x - 1)) = 16$
Упростим выражения в скобках:
$(x + 3 - 2x + 1)(x + 3 + 2x - 1) = 16$
$(-x + 4)(3x + 2) = 16$
Раскроем скобки: $-3x^2 - 2x + 12x + 8 = 16$
$-3x^2 + 10x + 8 = 16$
Приведем к стандартному виду: $-3x^2 + 10x - 8 = 0$
Умножим на -1: $3x^2 - 10x + 8 = 0$
Найдем дискриминант: $D = (-10)^2 - 4 \cdot 3 \cdot 8 = 100 - 96 = 4$
Найдем корни уравнения:
$x_1 = \frac{10 + \sqrt{4}}{6} = \frac{10 + 2}{6} = \frac{12}{6} = 2$
$x_2 = \frac{10 - \sqrt{4}}{6} = \frac{10 - 2}{6} = \frac{8}{6} = \frac{4}{3}$
Ответ: $2; \frac{4}{3}$.

ж) $(3x - 1)(x - 2) + (x + 1)(x + 2) = 12$
Раскроем скобки:
$(3x^2 - 6x - x + 2) + (x^2 + 2x + x + 2) = 12$
$(3x^2 - 7x + 2) + (x^2 + 3x + 2) = 12$
Приведем подобные слагаемые: $4x^2 - 4x + 4 = 12$
Приведем к стандартному виду: $4x^2 - 4x - 8 = 0$
Разделим уравнение на 4: $x^2 - x - 2 = 0$
Найдем дискриминант: $D = (-1)^2 - 4 \cdot 1 \cdot (-2) = 1 + 8 = 9$
Найдем корни уравнения:
$x_1 = \frac{1 + \sqrt{9}}{2} = \frac{1 + 3}{2} = 2$
$x_2 = \frac{1 - \sqrt{9}}{2} = \frac{1 - 3}{2} = -1$
Ответ: $2; -1$.

з) $(x + 4)(2x - 3) - (5x - 6)(x - 3) = 10$
Раскроем скобки:
$(2x^2 - 3x + 8x - 12) - (5x^2 - 15x - 6x + 18) = 10$
$(2x^2 + 5x - 12) - (5x^2 - 21x + 18) = 10$
$2x^2 + 5x - 12 - 5x^2 + 21x - 18 = 10$
Приведем подобные слагаемые: $-3x^2 + 26x - 30 = 10$
Приведем к стандартному виду: $-3x^2 + 26x - 40 = 0$
Умножим на -1: $3x^2 - 26x + 40 = 0$
Найдем дискриминант: $D = (-26)^2 - 4 \cdot 3 \cdot 40 = 676 - 480 = 196$
Найдем корни уравнения:
$x_1 = \frac{26 + \sqrt{196}}{6} = \frac{26 + 14}{6} = \frac{40}{6} = \frac{20}{3}$
$x_2 = \frac{26 - \sqrt{196}}{6} = \frac{26 - 14}{6} = \frac{12}{6} = 2$
Ответ: $2; \frac{20}{3}$.

Помогло решение? Оставьте отзыв в комментариях ниже.

Присоединяйтесь к Телеграм-группе @gdz_by_belarus

Присоединиться

Мы подготовили для вас ответ c подробным объяснением домашего задания по алгебре за 7-9 класс, для упражнения номер 25.23 расположенного на странице 122 к сборнику задач 2020 года издания для учащихся школ и гимназий.

Теперь на нашем сайте ГДЗ.ТОП вы всегда легко и бесплатно найдёте условие с правильным ответом на вопрос «Как решить ДЗ» и «Как сделать» задание по алгебре к упражнению №25.23 (с. 122), авторов: Арефьева (Ирина Глебовна), Пирютко (Ольга Николаевна), учебного пособия издательства Народная асвета.