Номер 25.27, страница 123 - гдз по алгебре 7-9 класс сборник задач Арефьева, Пирютко

Алгебра, 7-9 класс Сборник задач, авторы: Арефьева Ирина Глебовна, Пирютко Ольга Николаевна, издательство Народная асвета, Минск, 2020

Авторы: Арефьева И. Г., Пирютко О. Н.

Тип: Сборник задач

Издательство: Народная асвета

Год издания: 2020 - 2026

Цвет обложки: синий с графиками

Допущено Министерством образования Республики Беларусь

Популярные ГДЗ в 7 классе

8 класс. Параграф 25. Квадратные уравнения. Решение неполных квадратных уравнений. Формулы корней квадратного уравнения. Решение текстовых задач с помощью квадратных уравнений - номер 25.27, страница 123.

№25.27 (с. 123)
Условие. №25.27 (с. 123)
скриншот условия
Алгебра, 7-9 класс Сборник задач, авторы: Арефьева Ирина Глебовна, Пирютко Ольга Николаевна, издательство Народная асвета, Минск, 2020, страница 123, номер 25.27, Условие

25.27. Решите уравнение:

а) $\frac{x^2 + 2x}{3} = \frac{2x^2 - 3x}{4};$

б) $\frac{x^2 - 5}{2} - \frac{x - 8}{5} = 3;$

В) $\frac{x^2 + 1}{5} = \frac{x}{2};$

Г) $\frac{x^2}{3} = \frac{3x + 3}{4};$

Д) $\frac{x^2 + 2}{7} = \frac{x^2 - 23}{2};$

е) $\frac{x^2}{3} - \frac{3x - 5}{4} = \frac{2x}{3};$

Ж) $\frac{x^2 + 2}{6} - \frac{3x - 1}{8} = 1;$

З) $2x^2 - \frac{x + 1}{2} = \frac{x - 3}{3}.$

Решение. №25.27 (с. 123)
Алгебра, 7-9 класс Сборник задач, авторы: Арефьева Ирина Глебовна, Пирютко Ольга Николаевна, издательство Народная асвета, Минск, 2020, страница 123, номер 25.27, Решение Алгебра, 7-9 класс Сборник задач, авторы: Арефьева Ирина Глебовна, Пирютко Ольга Николаевна, издательство Народная асвета, Минск, 2020, страница 123, номер 25.27, Решение (продолжение 2)
Решение 2. №25.27 (с. 123)

а) Исходное уравнение: $ \frac{x^2+2x}{3} = \frac{2x^2-3x}{4} $.
Это пропорция. Используем свойство пропорции (перекрестное умножение), чтобы избавиться от дробей:
$ 4(x^2 + 2x) = 3(2x^2 - 3x) $
Раскроем скобки в обеих частях уравнения:
$ 4x^2 + 8x = 6x^2 - 9x $
Перенесем все члены в одну сторону, чтобы получить стандартное квадратное уравнение:
$ 6x^2 - 4x^2 - 9x - 8x = 0 $
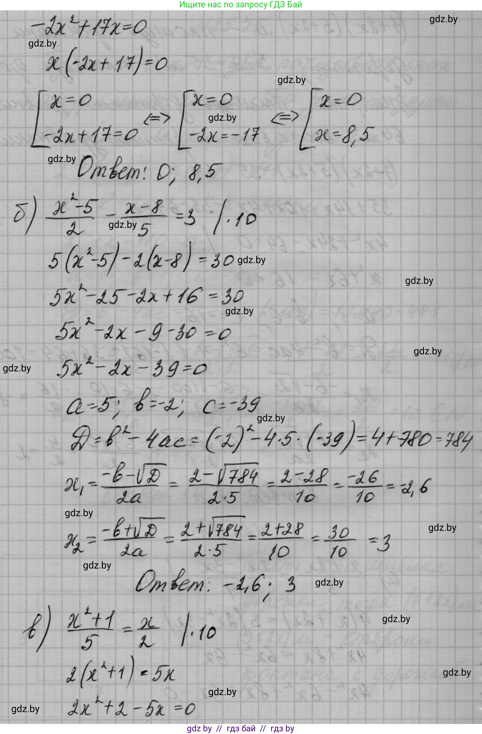
$ 2x^2 - 17x = 0 $
Это неполное квадратное уравнение. Вынесем общий множитель $x$ за скобки:
$ x(2x - 17) = 0 $
Произведение равно нулю, если один из множителей равен нулю:
$ x_1 = 0 $ или $ 2x - 17 = 0 $
Из второго уравнения находим $x_2$:
$ 2x = 17 $
$ x_2 = \frac{17}{2} = 8.5 $
Ответ: $0; 8.5$

б) Исходное уравнение: $ \frac{x^2-5}{2} - \frac{x-8}{5} = 3 $.
Приведем дроби к общему знаменателю. Наименьший общий знаменатель для 2 и 5 это 10. Умножим обе части уравнения на 10:
$ 10 \cdot \frac{x^2-5}{2} - 10 \cdot \frac{x-8}{5} = 10 \cdot 3 $
$ 5(x^2-5) - 2(x-8) = 30 $
Раскроем скобки:
$ 5x^2 - 25 - 2x + 16 = 30 $
Приведем подобные слагаемые в левой части:
$ 5x^2 - 2x - 9 = 30 $
Перенесем 30 в левую часть:
$ 5x^2 - 2x - 9 - 30 = 0 $
$ 5x^2 - 2x - 39 = 0 $
Решим полученное квадратное уравнение с помощью дискриминанта $ D = b^2 - 4ac $:
$ D = (-2)^2 - 4 \cdot 5 \cdot (-39) = 4 + 780 = 784 $
$ \sqrt{D} = \sqrt{784} = 28 $
Найдем корни по формуле $ x = \frac{-b \pm \sqrt{D}}{2a} $:
$ x_1 = \frac{2 + 28}{2 \cdot 5} = \frac{30}{10} = 3 $
$ x_2 = \frac{2 - 28}{2 \cdot 5} = \frac{-26}{10} = -2.6 $
Ответ: $3; -2.6$

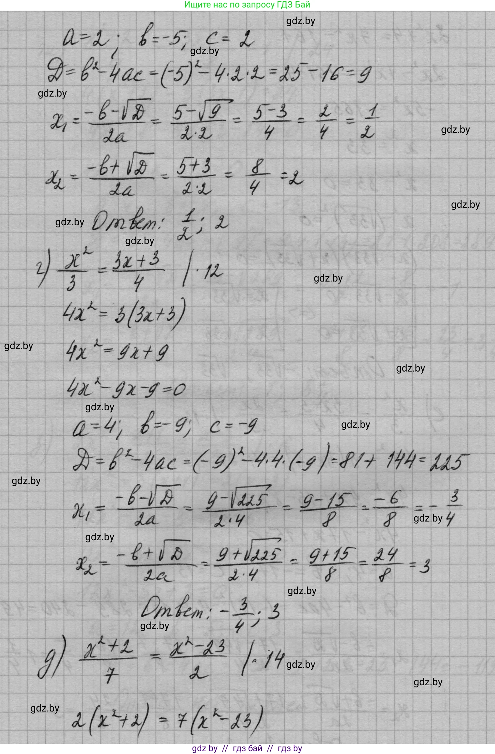
в) Исходное уравнение: $ \frac{x^2+1}{5} = \frac{x}{2} $.
Применим правило перекрестного умножения:
$ 2(x^2 + 1) = 5x $
Раскроем скобки и перенесем все члены в левую часть:
$ 2x^2 + 2 = 5x $
$ 2x^2 - 5x + 2 = 0 $
Решим квадратное уравнение. Вычислим дискриминант:
$ D = (-5)^2 - 4 \cdot 2 \cdot 2 = 25 - 16 = 9 $
$ \sqrt{D} = \sqrt{9} = 3 $
Найдем корни:
$ x_1 = \frac{5 + 3}{2 \cdot 2} = \frac{8}{4} = 2 $
$ x_2 = \frac{5 - 3}{2 \cdot 2} = \frac{2}{4} = 0.5 $
Ответ: $2; 0.5$

г) Исходное уравнение: $ \frac{x^2}{3} = \frac{3x+3}{4} $.
Применим правило перекрестного умножения:
$ 4x^2 = 3(3x+3) $
Раскроем скобки и приведем уравнение к стандартному виду:
$ 4x^2 = 9x + 9 $
$ 4x^2 - 9x - 9 = 0 $
Решим квадратное уравнение через дискриминант:
$ D = (-9)^2 - 4 \cdot 4 \cdot (-9) = 81 + 144 = 225 $
$ \sqrt{D} = \sqrt{225} = 15 $
Найдем корни:
$ x_1 = \frac{9 + 15}{2 \cdot 4} = \frac{24}{8} = 3 $
$ x_2 = \frac{9 - 15}{2 \cdot 4} = \frac{-6}{8} = -\frac{3}{4} = -0.75 $
Ответ: $3; -0.75$

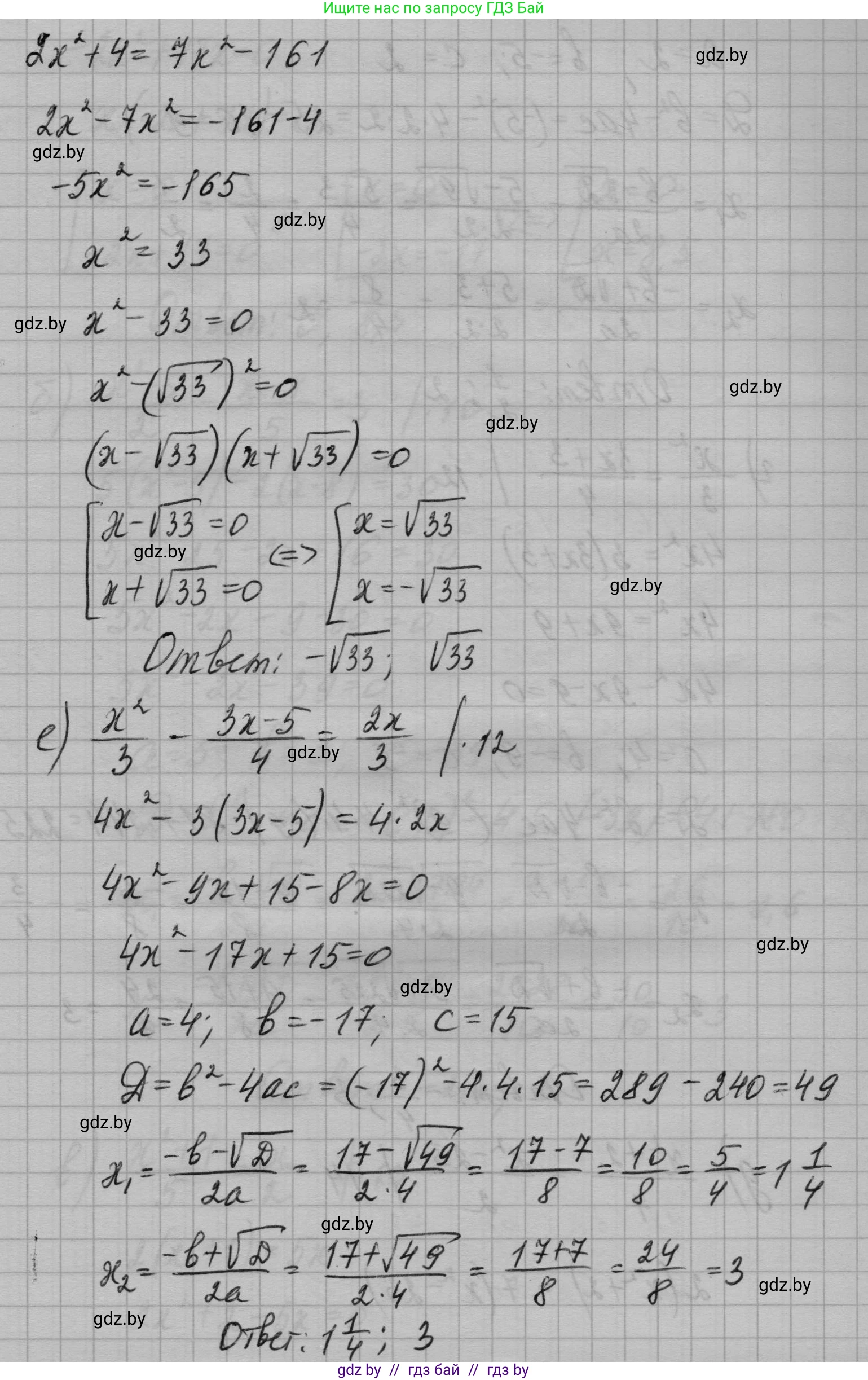
д) Исходное уравнение: $ \frac{x^2+2}{7} = \frac{x^2-23}{2} $.
Применим правило перекрестного умножения:
$ 2(x^2 + 2) = 7(x^2 - 23) $
Раскроем скобки:
$ 2x^2 + 4 = 7x^2 - 161 $
Сгруппируем члены с $x^2$ в одной стороне, а константы — в другой:
$ 4 + 161 = 7x^2 - 2x^2 $
$ 165 = 5x^2 $
Разделим обе части на 5:
$ x^2 = \frac{165}{5} = 33 $
Извлечем квадратный корень из обеих частей:
$ x = \pm\sqrt{33} $
Ответ: $\pm\sqrt{33}$

е) Исходное уравнение: $ \frac{x^2}{3} - \frac{3x-5}{4} = \frac{2x}{3} $.
Умножим обе части уравнения на наименьший общий знаменатель, который равен 12:
$ 12 \cdot \frac{x^2}{3} - 12 \cdot \frac{3x-5}{4} = 12 \cdot \frac{2x}{3} $
$ 4x^2 - 3(3x-5) = 4(2x) $
Раскроем скобки:
$ 4x^2 - 9x + 15 = 8x $
Перенесем все в левую часть:
$ 4x^2 - 9x - 8x + 15 = 0 $
$ 4x^2 - 17x + 15 = 0 $
Решим квадратное уравнение. Дискриминант:
$ D = (-17)^2 - 4 \cdot 4 \cdot 15 = 289 - 240 = 49 $
$ \sqrt{D} = \sqrt{49} = 7 $
Найдем корни:
$ x_1 = \frac{17 + 7}{2 \cdot 4} = \frac{24}{8} = 3 $
$ x_2 = \frac{17 - 7}{2 \cdot 4} = \frac{10}{8} = \frac{5}{4} = 1.25 $
Ответ: $3; 1.25$

ж) Исходное уравнение: $ \frac{x^2+2}{6} - \frac{3x-1}{8} = 1 $.
Наименьший общий знаменатель для 6 и 8 это 24. Умножим все уравнение на 24:
$ 24 \cdot \frac{x^2+2}{6} - 24 \cdot \frac{3x-1}{8} = 24 \cdot 1 $
$ 4(x^2+2) - 3(3x-1) = 24 $
Раскроем скобки:
$ 4x^2 + 8 - 9x + 3 = 24 $
Приведем подобные слагаемые:
$ 4x^2 - 9x + 11 = 24 $
Перенесем 24 в левую часть:
$ 4x^2 - 9x + 11 - 24 = 0 $
$ 4x^2 - 9x - 13 = 0 $
Решим квадратное уравнение. Дискриминант:
$ D = (-9)^2 - 4 \cdot 4 \cdot (-13) = 81 + 208 = 289 $
$ \sqrt{D} = \sqrt{289} = 17 $
Найдем корни:
$ x_1 = \frac{9 + 17}{2 \cdot 4} = \frac{26}{8} = \frac{13}{4} = 3.25 $
$ x_2 = \frac{9 - 17}{2 \cdot 4} = \frac{-8}{8} = -1 $
Ответ: $3.25; -1$

з) Исходное уравнение: $ 2x^2 - \frac{x+1}{2} = \frac{x-3}{3} $.
Умножим обе части уравнения на наименьший общий знаменатель, который равен 6:
$ 6 \cdot 2x^2 - 6 \cdot \frac{x+1}{2} = 6 \cdot \frac{x-3}{3} $
$ 12x^2 - 3(x+1) = 2(x-3) $
Раскроем скобки:
$ 12x^2 - 3x - 3 = 2x - 6 $
Перенесем все члены в левую часть:
$ 12x^2 - 3x - 2x - 3 + 6 = 0 $
$ 12x^2 - 5x + 3 = 0 $
Решим квадратное уравнение. Вычислим дискриминант:
$ D = (-5)^2 - 4 \cdot 12 \cdot 3 = 25 - 144 = -119 $
Поскольку дискриминант $ D < 0 $, уравнение не имеет действительных корней.
Ответ: нет действительных корней

Помогло решение? Оставьте отзыв в комментариях ниже.

Присоединяйтесь к Телеграм-группе @gdz_by_belarus

Присоединиться

Мы подготовили для вас ответ c подробным объяснением домашего задания по алгебре за 7-9 класс, для упражнения номер 25.27 расположенного на странице 123 к сборнику задач 2020 года издания для учащихся школ и гимназий.

Теперь на нашем сайте ГДЗ.ТОП вы всегда легко и бесплатно найдёте условие с правильным ответом на вопрос «Как решить ДЗ» и «Как сделать» задание по алгебре к упражнению №25.27 (с. 123), авторов: Арефьева (Ирина Глебовна), Пирютко (Ольга Николаевна), учебного пособия издательства Народная асвета.